Chinese Journal of Applied Chemistry ›› 2026, Vol. 43 ›› Issue (3): 360-372.DOI: 10.19894/j.issn.1000-0518.250226
• Full Papers • Previous Articles Next Articles
Shuang LIU1,2, Ti-Gang DUAN2(
), Li MA2, Ruo-Can LI2,3, Hou-Ran WU2, Hai-Bing ZHANG2, Zhen LI2
Received:2025-06-03
Accepted:2025-11-19
Published:2026-03-01
Online:2026-03-26
Contact:
Ti-Gang DUAN
About author:duantigang@sunrui.netSupported by:CLC Number:
Shuang LIU, Ti-Gang DUAN, Li MA, Ruo-Can LI, Hou-Ran WU, Hai-Bing ZHANG, Zhen LI. Effects of Alloy Elements (Sn, Sb, Si, Mn) on the Electrochemical Performance of Al-Ga-In-M Anode for the Seawater Oxygen-Dissolved Battery[J]. Chinese Journal of Applied Chemistry, 2026, 43(3): 360-372.
Add to citation manager EndNote|Ris|BibTeX
URL: http://yyhx.ciac.jl.cn/EN/10.19894/j.issn.1000-0518.250226
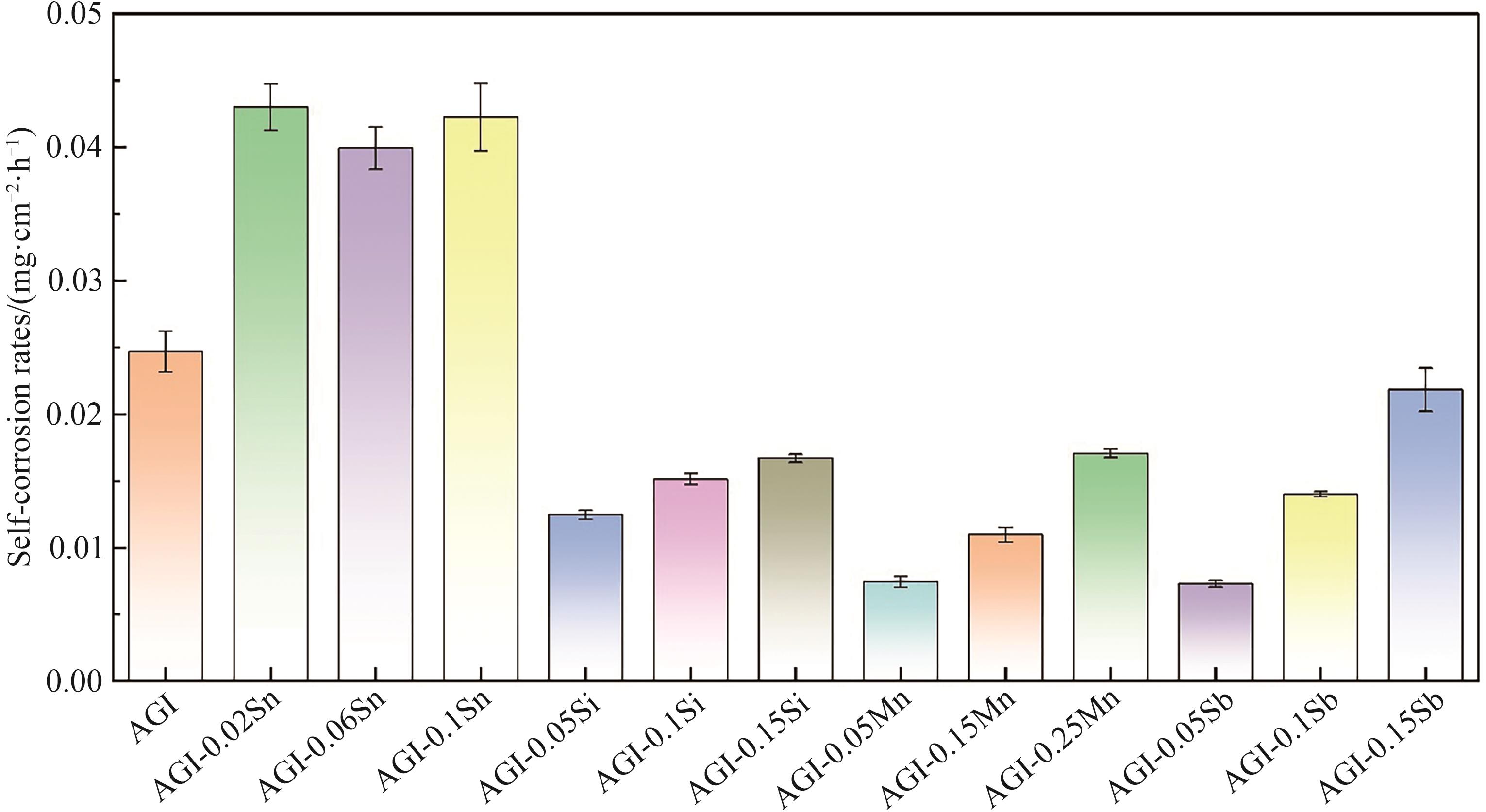
| Samples | w(elementals)/% | ||||||
|---|---|---|---|---|---|---|---|
| Al | Ga | In | Sn | Sb | Si | Mn | |
| AGI | Bal. | 0.1 | 0.05 | - | - | - | - |
| AGI-0.02Sn | Bal. | 0.1 | 0.05 | 0.02 | - | - | - |
| AGI-0.06Sn | Bal. | 0.1 | 0.05 | 0.06 | - | - | - |
| AGI-0.10Sn | Bal. | 0.1 | 0.05 | 0.10 | - | - | - |
| AGI-0.05Sb | Bal. | 0.1 | 0.05 | - | 0.05 | - | - |
| AGI-0.10Sb | Bal. | 0.1 | 0.05 | - | 0.10 | - | - |
| AGI-0.15Sb | Bal. | 0.1 | 0.05 | - | 0.15 | - | - |
| AGI-0.05Si | Bal. | 0.1 | 0.05 | - | - | 0.05 | - |
| AGI-0.10Si | Bal. | 0.1 | 0.05 | - | - | 0.10 | - |
| AGI-0.15Si | Bal. | 0.1 | 0.05 | - | - | 0.15 | - |
| AGI-0.05Mn | Bal. | 0.1 | 0.05 | - | - | - | 0.05 |
| AGI-0.15Mn | Bal. | 0.1 | 0.05 | - | - | - | 0.15 |
| AGI-0.25Mn | Bal. | 0.1 | 0.05 | - | - | - | 0.25 |
Table 1 Chemical composition of various Al-Ga-In-M aluminum alloys
| Samples | w(elementals)/% | ||||||
|---|---|---|---|---|---|---|---|
| Al | Ga | In | Sn | Sb | Si | Mn | |
| AGI | Bal. | 0.1 | 0.05 | - | - | - | - |
| AGI-0.02Sn | Bal. | 0.1 | 0.05 | 0.02 | - | - | - |
| AGI-0.06Sn | Bal. | 0.1 | 0.05 | 0.06 | - | - | - |
| AGI-0.10Sn | Bal. | 0.1 | 0.05 | 0.10 | - | - | - |
| AGI-0.05Sb | Bal. | 0.1 | 0.05 | - | 0.05 | - | - |
| AGI-0.10Sb | Bal. | 0.1 | 0.05 | - | 0.10 | - | - |
| AGI-0.15Sb | Bal. | 0.1 | 0.05 | - | 0.15 | - | - |
| AGI-0.05Si | Bal. | 0.1 | 0.05 | - | - | 0.05 | - |
| AGI-0.10Si | Bal. | 0.1 | 0.05 | - | - | 0.10 | - |
| AGI-0.15Si | Bal. | 0.1 | 0.05 | - | - | 0.15 | - |
| AGI-0.05Mn | Bal. | 0.1 | 0.05 | - | - | - | 0.05 |
| AGI-0.15Mn | Bal. | 0.1 | 0.05 | - | - | - | 0.15 |
| AGI-0.25Mn | Bal. | 0.1 | 0.05 | - | - | - | 0.25 |
Fig.9 Specific capacity and energy density of seawater dissolved oxygen batteries composed of different aluminum alloys at different current densities
| [1] | KIM Y, LEE W G. Primary seawater batteries: principles, materials and technology[M]. Singapore: Springer Nat Singapore, 2022: 37-90. |
| [2] | MENG A, SUN Y, CHENG W, et al. Discharge performance of Al-0.1Sn-0.1In-0.05Ga alloy for Al-air battery anodes[J]. J Energy Storage, 2024, 81: 110414. |
| [3] | ZHAO Q, ZHENG J X, DENG Y, et al. Regulating the growth of aluminum electrodeposits: towards anode-free Al batteries[J]. J Mater Chem A, 2020, 8(44): 23231-23238. |
| [4] | ZHANG Z, WANG Y, WEI X, et al. High energy efficiency and high discharge voltage of 2N-purity Al-based anodes for Al-air battery by simultaneous addition of Mn, Zn and Ga[J]. J Power Sources, 2023, 563: 232845. |
| [5] | TZENG Y C, CHEN R Y. The effect of the Zn content on the electrochemical performance of Al-Zn-Sn-Ga alloys[J]. Mater Chem Phys, 2023, 299: 127510. |
| [6] | WANG Y, LIU H, JIA Z, et al. The electrochemical performance of Al-Mg-Ga-Sn-xBi alloy used as the anodic material for Al-air battery in KOH electrolytes[J]. Crystals, 2022, 12(12): 1785. |
| [7] | ABBAS M, SADAWY M, HOSNY A. Microstructure and electrochemical properties of Al-5Zn-0.2Sn-0.2Bi-xSb as a novel electrode for batteries applications[J]. J Alloy Compd, 2022, 923: 166303. |
| [8] | WU Z, ZHANG H, GUO C, et al. Effects of indium, gallium, or bismuth additions on the discharge behavior of Al-Mg-Sn-based alloy for Al-air battery anodes in NaOH electrolytes[J]. J Solid State Electr, 2019, 23(8): 2483-2491. |
| [9] | SUN Z, LU H. Performance of Al-0.5In as anode for Al-air battery in inhibited alkaline solutions[J]. J Electrochem Soc, 2015, 162(8): A1617. |
| [10] | HE J G, WEN J B, LI X D, et al. Influence of Ga and Bi on electrochemical performance of Al-Zn-Sn sacrificial anodes[J]. Trans Nonferr Metal Soc, 2011, 21(7): 1580-1586. |
| [11] | ZHANG P, XUE J, LIU X, et al. Improving energy efficiency of commercial aluminum alloy as anodes for Al-air battery through introducing micro-nanoscale AlSb precipitates[J]. Electrochim Acta, 2022, 417: 140331. |
| [12] | 李登辉, 文九巴, 贺俊光, 等. 热处理对Al-Ga-Sn-Mn-Bi阳极合金组织及电化学性能影响[J]. 材料热处理学报, 2014, 35(6): 61-65. |
| LI D H, WEN J B, HE J G, et al. Effect of heat treatment on microstructure and electrochemical performance of Al-Ga-Sn-Mn-Bi anode alloy[J]. Transact Mater Heat Treatment, 2014, 35(6): 61-65. | |
| [13] | 张海兵, 马力, 李威力, 等. 深海牺牲阳极模拟环境电化学性能研究[J]. 材料开发与应用, 2015, 30(5): 63-67. |
| ZHANG H B, MA L, LI W L, et al. Electrochemical performance of deep-sea sacrificial anode in simulated environment[J]. Dev Appl Mater, 2015, 30(5): 63-67. | |
| [14] | ALEXANDER LISTYAWAN T, LEE H, LEE Y H, et al. Effect of deformation on electrochemical performance of aluminum-air battery[J]. J Electrochem Soc, 2020, 167(10): 100505. |
| [15] | FAN L, LU H. The effect of grain size on aluminum anodes for Al-air batteries in alkaline electrolytes[J]. J Power Sources, 2015, 284: 409-415. |
| [16] | LIANG R, SU Y, SUI X L, et al. Effect of Mg content on discharge behavior of Al-0.05Ga-0.05Sn-0.05Pb-xMg alloy anode for aluminum-air battery[J]. J Solid State Electr, 2019, 23: 53-62. |
| [17] | ZHOU S, TIAN C, ALZOABI S, et al. Performance of an Al-0.08Sn-0.08Ga-xMg alloy as an anode for Al-air batteries in alkaline electrolytes[J]. J Mater Sci, 2020, 55: 11477-11488. |
| [18] | REN J, MA J, ZHANG J, et al. Electrochemical performance of pure Al, Al-Sn, Al-Mg and Al-Mg-Sn anodes for Al-air batteries[J]. J Alloy Compd, 2019, 808: 151708. |
| [19] | WANG Q, MIAO H, XUE Y J, et al. Performances of an Al-0.15Bi-0.15Pb-0.035Ga alloy as an anode for Al-air batteries in neutral and alkaline electrolytes[J]. RSC Adv, 2017, 7(42): 25838-25847. |
| [20] | SENEL E, NISANCIOGLU K. Role of dealloying on the electrochemical behaviour of aluminium alloyed with trace amounts of gallium[J]. Corros Sci, 2014, 85: 436-444. |
| [21] | ZHUANG Z H, FENG Y, PENG C Q, et al. Effect of Ga on microstructure and electrochemical performance of Al-0.4Mg-0.05Sn-0.03Hg alloy as anode for Al-air batteries[J]. Trans Nonferr Metal Soc, 2021, 31(9): 2558-2569. |
| [22] | ZHANG H, ZHENG Y, YIN G, et al. The influence of Ga, Sn, or Bi addition on the electrochemical behavior and discharge performance of Al-Zn-In anodes for Al-air batteries[J]. J Mater Sci, 2021, 56(18): 11011-11026. |
| [23] | SUN Z, LU H. Performance of Al-0.5In as anode for Al-air battery in inhibited alkaline solutions[J]. J Electrochem Soc, 2015, 162(8): A1617. |
| [24] | PARK I J, CHOI S R, KIM J G. Aluminum anode for aluminum-air battery-part Ⅱ: influence of In addition on the electrochemical characteristics of Al-Zn alloy in alkaline solution[J]. J Power Sources, 2017, 357: 47-55. |
| [25] | HERRAIZ-CARDONA I, ORTEGA E, PÉREZ-HERRANZ V. Impedance study of hydrogen evolution on Ni/Zn and Ni-Co/Zn stainless steel based electrodeposits[J]. Electrochim Acta, 2011, 56(3): 1308-1315. |
| [26] | 张纯, 王日初, 冯艳, 等. 合金元素对铝阳极电化学性能的影响[J]. 中南大学学报(自然科学版), 2012,43(1):81-86. |
| ZHANG C, WANG R C, FENG Y, et al. Effects of alloying elements on electrochemical performance of aluminum anodes[J]. J Central South Univ (Sci Technol), 2012, 43(1): 81-86. | |
| [27] | HE J G, WEN J B, LI X D, et al. Influence of Ga and Bi on electrochemical performance of Al-Zn-Sn sacrificial anodes[J]. Trans Nonferr Metal Soc, 2011, 21(7): 1580-1586. |
| [28] | HUANG T, GAO Q, LIU D, et al. Preparation of Al-Ga-In-Sn-Bi quinary alloy and its hydrogen production via water splitting[J]. Int J Hydrogen Energy, 2015, 40(5): 2354-2362. |
| [29] | LIU X, LIN Y, LI Y, et al. Effect of Bi on the performance of Al-Ga-In sacrificial anodes[J]. Materials, 2024, 17(4):811. |
| [30] | EVANS D S, PRINCE A. Thermal analysis of Ga-In-Sn system[J]. Metal Sci, 1978, 12(9): 411-414. |
| [31] | LIU S, PAN Q, LI H, et al. Characterization of hot deformation behavior and constitutive modeling of Al-Mg-Si-Mn-Cr alloy[J]. J Mater Sci, 2019, 54(5): 4366-4383. |
| [32] | WU P, WU S, SUN D, et al. A review of Al alloy anodes for Al-air batteries in neutral and alkaline aqueous electrolytes[J]. Acta Metall Sin, 2021, 34(3): 309-320. |
| [33] | ZHANG P, LIU X, XUE J, et al. The role of microstructural evolution in improving energy conversion of Al-based anodes for metal-air batteries[J]. J Power Sources, 2020, 451: 227806. |
| [34] | 雷晓维, 薛博钰, 穆耶赛尔·提, 等. 激光熔凝对铝锂合金铜偏析行为与腐蚀性能的影响研究[J]. 航空科学技术, 2020, 31(1): 52-60. |
| LEI X W, XUE B Y, MUYESSER T, et al. Study on influence of laser remelting on copper segregation behavior and corrosion property of 2098 Al-Li alloy[J]. Aeronautical Sci Technol, 2020, 31(1): 52-60. | |
| [35] | 王子峰, 魏振伟, 邹爱华, 等. 偏析缺陷等级对WE43A镁合金力学性能及耐蚀性能的影响[J]. 热处理技术与装备, 2024, 45(4): 31-38. |
| WANG Z F, WEI Z W, ZOU A H, et al. Effect of segregation defect grade on mechanical properties and corrosion resistance of WE43A magnesium alloy[J]. Heat Treatment Technol Equip, 2024, 45(4): 31-38. | |
| [36] | DONG X R, WANG D W, JIA H L, et al. Mitigating segregation and synergistically improving corrosion resistance via Ca-Y microalloying in twin-roll cast Mg-Al-Mn dilute alloys[J]. Corros Sci, 2024, 236: 112230. |
| [1] | Dong-Yu ZHANG, Chun-Li WANG, Yong CHENG, Li-Min WANG. Research Progress of Antimony⁃Based Anode for Sodium/Potassium Ion Batteries: Failure Analysis and Solutions [J]. Chinese Journal of Applied Chemistry, 2024, 41(5): 616-636. |
| [2] | Hou-Ran WU, Chun-Ming HOU, Ti-Gang DUAN, Li MA, Hai-Bing ZHANG, Jin-Tao WANG. Electrochemical Properties of Al-Ga-In-Sn-Si Alloy Anodes and Seawater Dissolved Oxygen Batteries [J]. Chinese Journal of Applied Chemistry, 2024, 41(5): 703-711. |
| [3] | Sheng CHEN, Zu-Fei HU, Hong-Mei CAO, Zhen-Hua ZHAO, Yu-Dong ZHANG. Synthesis and Properties of Mg‑Doped Ni‑Rich Ternary Cathode Material LiNi0.90Co0.05Mn0.05O2 [J]. Chinese Journal of Applied Chemistry, 2024, 41(4): 568-576. |
| [4] | Xue-Jian SHI, Wan-Qiang LIU, Chun-Li WANG, Yong CHENG, Li-Min WANG. Research Progress of Sb-based Anode Materials for Potassium Ion Batteries [J]. Chinese Journal of Applied Chemistry, 2023, 40(2): 210-228. |
| [5] | Jun-Ling MENG, Chuan TIAN, Na XU, Li-Na ZHAO, Hai-Xia ZHONG, Zhan-Lin XU. Research Progress of in Situ Exsolution of Electrode Surface of Solid Oxide Fuel Cells [J]. Chinese Journal of Applied Chemistry, 2023, 40(10): 1335-1346. |
| [6] | Yu MENG, Qing ZHANG, Wen-Hao PENG, Xiao-Fei ZHU, De-Feng ZHOU. Preparation and Electrochemical Performance of Pr0.8Sr0.2Fe0.7Ni0.3O3-δ ⁃Pr1.2Sr0.8Ni0.6Fe0.4O4+δ Composite Cathode [J]. Chinese Journal of Applied Chemistry, 2022, 39(5): 797-808. |
| [7] | WANG Chunli,SUN Lianshan,ZHONG Ming,WANG Limin,CHENG Yong. Research Progress of Transition Metal and Compounds for Lithium-Sulfur Batteries [J]. Chinese Journal of Applied Chemistry, 2020, 37(4): 387-404. |
| [8] | HUI Kanglong, FU Jipeng, GAO Tian, TANG Mingxue. Research Progress of Metal Sulfides in Rechargeable Batteries [J]. Chinese Journal of Applied Chemistry, 2020, 37(12): 1384-1402. |
| [9] | Zhaomin WANG, Zheng YI, Ming ZHONG, Yong CHENG, Limin WANG. Research Progress of Antimony-Based Anode Materials for Lithium Ion Batteries [J]. Chinese Journal of Applied Chemistry, 2018, 35(7): 745-755. |
| [10] | CHEN Lihui,WU Qiuhan,PAN Pei,SONG Zixuan,WANG Feng,DING Yu. Spinel Lithium Manganese Oxide Octahedral Nanoparticles with Excellent Electrochemical Performance as Cathode Materials for Lithium-Ion Batteries [J]. Chinese Journal of Applied Chemistry, 2018, 35(11): 1384-1390. |
| [11] | WAN Lu, FU Zhengbing. Preparation and Characterization of Nitrogen-doped Carbon-coated Lithium Titanate Anode for Lithium-ion Batteries [J]. Chinese Journal of Applied Chemistry, 2018, 35(1): 116-122. |
| [12] | JIAO Liansheng, MENG Lingju, WU Tongshun, LI Fenghua, NIU Li. Synthesis and Properties of Lithium Vanadium Phosphates/Reduced Graphene Oxide Composite as Cathode Materials [J]. Chinese Journal of Applied Chemistry, 2017, 34(6): 712-722. |
| [13] | FENG Xuejiao, CUI Hongmin, XIAO Zhengqiang, YAN Nanfu, LI Min. Synthesis of Porous Silicon Oxide/Silicon/Carbon Composite Material from Micro-SiO for Lithium Storage [J]. Chinese Journal of Applied Chemistry, 2017, 34(1): 76-82. |
| [14] | ZHU Xiaoming, FENG Yonglan, ZHANG Fuxing, YU Jiangxi, JIANG Wujiu, OU Yaping, KUANG Daizhi. Synthesis, Crystal Structure and Properties of Dinuclear Copper(Ⅱ) Complex {[Cu(Phen)(Nap)2]2·(EtOH)2·(H2O)2} (Phen=1,10-Phenanthroline; Nap=1-Naphthoic Acid; EtOH=Ethyl Alcohol) [J]. Chinese Journal of Applied Chemistry, 2016, 33(8): 932-938. |
| [15] | XU Shengnan, NA Zhaolin, YIN Dongming, WU Yaoming, WANG Limin. Performance of A Copper-Cerium Redox Flow Battery [J]. Chinese Journal of Applied Chemistry, 2016, 33(12): 1462-1464. |
| Viewed | ||||||
|
Full text |
|
|||||
|
Abstract |
|
|||||