Chinese Journal of Applied Chemistry ›› 2025, Vol. 42 ›› Issue (5): 684-692.DOI: 10.19894/j.issn.1000-0518.240363
• Full Papers • Previous Articles Next Articles
Tian-Yi ZHOU1, Xiao-Hu ZHANG2, Guang-Li HU2, San-Rong LIU3, Ji-Fu BI2,3(
)
Received:2024-11-11
Accepted:2025-04-01
Published:2025-05-01
Online:2025-06-05
Contact:
Ji-Fu BI
About author:bijifu@ciac.ac.cnSupported by:CLC Number:
Tian-Yi ZHOU, Xiao-Hu ZHANG, Guang-Li HU, San-Rong LIU, Ji-Fu BI. The Relationships Between Different Parameters of Visco-Elastic Testing for Nano-Composites of Butadiene-Isoprene Copolymers[J]. Chinese Journal of Applied Chemistry, 2025, 42(5): 684-692.
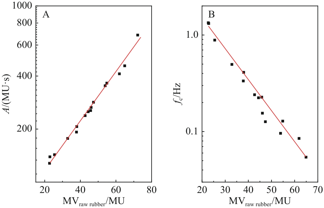
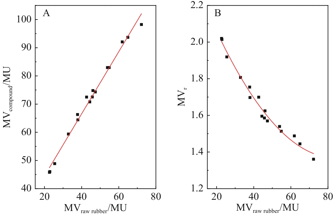
| No. | MVraw rubber/MU | k/MU | α | A/(MU?s) | MSR/(MU?s-1) | MVcompound/MU | Q |
|---|---|---|---|---|---|---|---|
| 1 | 37.79 | 12.57 | -0.607 7 | 192.51 | -0.984 6 | 66.31 | 2.84 |
| 2 | 46.05 | 16.30 | -0.585 9 | 265.54 | -0.940 8 | 74.82 | 2.78 |
| 3 | 72.19 | 29.40 | -0.467 3 | 683.71 | -0.752 9 | 98.25 | 2.78 |
| 4 | 47.35 | 16.63 | -0.569 2 | 284.34 | -0.942 3 | 74.33 | 2.82 |
| 5 | 32.86 | 11.32 | -0.600 0 | 177.14 | -0.938 2 | 59.39 | 2.89 |
| 6 | 53.89 | 19.76 | -0.554 6 | 352.49 | -0.894 4 | 82.97 | 2.76 |
| 7 | 25.47 | 6.54 | -0.486 7 | 143.1 | -0.947 1 | 48.88 | 2.88 |
| 8 | 22.67 | 5.75 | -0.481 2 | 128.04 | -0.941 6 | 45.80 | 2.97 |
| 9 | 44.37 | 15.10 | -0.577 8 | 251.2 | -0.926 1 | 70.80 | 2.87 |
| 10 | 45.75 | 16.17 | -0.597 8 | 254.74 | -0.946 5 | 72.55 | 2.77 |
| 11 | 42.66 | 14.93 | -0.592 6 | 238.68 | -0.926 5 | 72.50 | 2.78 |
| 12 | 22.86 | 5.80 | -0.456 8 | 139.3 | -0.900 5 | 46.05 | 3.01 |
| 13 | 37.95 | 12.31 | -0.575 3 | 206.72 | -0.943 4 | 64.42 | 2.88 |
| 14 | 61.87 | 23.58 | -0.561 6 | 412.19 | -0.889 8 | 92.08 | 2.77 |
| 15 | 64.87 | 24.32 | -0.536 8 | 457.34 | -0.854 1 | 93.71 | 2.75 |
| 16 | 54.82 | 18.54 | -0.521 7 | 364.77 | -0.897 0 | 82.98 | 2.79 |
Table 1 Parameters of relaxation behaviors for different butadiene-isoprene rubbers
| No. | MVraw rubber/MU | k/MU | α | A/(MU?s) | MSR/(MU?s-1) | MVcompound/MU | Q |
|---|---|---|---|---|---|---|---|
| 1 | 37.79 | 12.57 | -0.607 7 | 192.51 | -0.984 6 | 66.31 | 2.84 |
| 2 | 46.05 | 16.30 | -0.585 9 | 265.54 | -0.940 8 | 74.82 | 2.78 |
| 3 | 72.19 | 29.40 | -0.467 3 | 683.71 | -0.752 9 | 98.25 | 2.78 |
| 4 | 47.35 | 16.63 | -0.569 2 | 284.34 | -0.942 3 | 74.33 | 2.82 |
| 5 | 32.86 | 11.32 | -0.600 0 | 177.14 | -0.938 2 | 59.39 | 2.89 |
| 6 | 53.89 | 19.76 | -0.554 6 | 352.49 | -0.894 4 | 82.97 | 2.76 |
| 7 | 25.47 | 6.54 | -0.486 7 | 143.1 | -0.947 1 | 48.88 | 2.88 |
| 8 | 22.67 | 5.75 | -0.481 2 | 128.04 | -0.941 6 | 45.80 | 2.97 |
| 9 | 44.37 | 15.10 | -0.577 8 | 251.2 | -0.926 1 | 70.80 | 2.87 |
| 10 | 45.75 | 16.17 | -0.597 8 | 254.74 | -0.946 5 | 72.55 | 2.77 |
| 11 | 42.66 | 14.93 | -0.592 6 | 238.68 | -0.926 5 | 72.50 | 2.78 |
| 12 | 22.86 | 5.80 | -0.456 8 | 139.3 | -0.900 5 | 46.05 | 3.01 |
| 13 | 37.95 | 12.31 | -0.575 3 | 206.72 | -0.943 4 | 64.42 | 2.88 |
| 14 | 61.87 | 23.58 | -0.561 6 | 412.19 | -0.889 8 | 92.08 | 2.77 |
| 15 | 64.87 | 24.32 | -0.536 8 | 457.34 | -0.854 1 | 93.71 | 2.75 |
| 16 | 54.82 | 18.54 | -0.521 7 | 364.77 | -0.897 0 | 82.98 | 2.79 |
| R2 | MVraw rubber/MU | A/(MU?s) | fc/Hz | MVcompound/MU | ML/dNm | |
|---|---|---|---|---|---|---|
| MVraw rubber/MU | 1 | 0.983 1 | 0.987 2 | 0.988 3 | 0.986 5 | 0.976 1 |
| A/(MU?s) | 1 | 0.951 5 | 0.937 2 | 0.984 4 | 0.972 2 | |
| fc/Hz | 1 | 0.984 5 | 0.954 | 0.947 4 | ||
| MVcompound/MU | 1 | 0.990 8 | 0.981 7 | |||
| 1 | 0.981 7 | |||||
| ML/dNm | 1 |
Table 2 The relativity of viscosity parameters for raw rubber and compounds
| R2 | MVraw rubber/MU | A/(MU?s) | fc/Hz | MVcompound/MU | ML/dNm | |
|---|---|---|---|---|---|---|
| MVraw rubber/MU | 1 | 0.983 1 | 0.987 2 | 0.988 3 | 0.986 5 | 0.976 1 |
| A/(MU?s) | 1 | 0.951 5 | 0.937 2 | 0.984 4 | 0.972 2 | |
| fc/Hz | 1 | 0.984 5 | 0.954 | 0.947 4 | ||
| MVcompound/MU | 1 | 0.990 8 | 0.981 7 | |||
| 1 | 0.981 7 | |||||
| ML/dNm | 1 |
| R2 | MVraw rubber/MU | t10/min | t50/min | ts-1/min | ts-2/min | MCR/min-1 |
|---|---|---|---|---|---|---|
| MVraw rubber/MU | 1 | 0.748 2 | 0.520 6 | 0.867 8 | 0.691 1 | 0.014 4 |
| t10/min | 1 | 0.867 | 0.940 7 | 0.965 1 | 0.028 3 | |
| t50/min | 1 | 0.738 7 | 0.935 3 | 0.016 5 | ||
| ts-1/min | 1 | 0.899 8 | 0.024 9 | |||
| ts-2/min | 1 | 0.001 5 | ||||
| MCR/min-1 | 1 |
Table 3 The relativity of crosslinking parameters for compounds
| R2 | MVraw rubber/MU | t10/min | t50/min | ts-1/min | ts-2/min | MCR/min-1 |
|---|---|---|---|---|---|---|
| MVraw rubber/MU | 1 | 0.748 2 | 0.520 6 | 0.867 8 | 0.691 1 | 0.014 4 |
| t10/min | 1 | 0.867 | 0.940 7 | 0.965 1 | 0.028 3 | |
| t50/min | 1 | 0.738 7 | 0.935 3 | 0.016 5 | ||
| ts-1/min | 1 | 0.899 8 | 0.024 9 | |||
| ts-2/min | 1 | 0.001 5 | ||||
| MCR/min-1 | 1 |
| R2 | MVraw rubber/MU | ML/dNm | MH/dNm | (MH-ML)/dNm |
|---|---|---|---|---|
| MVraw rubber/MU | 1 | 0.976 1 | 0.639 7 | 0.857 7 |
| ML/dNm | 1 | 0.870 8 | 0.645 0 | |
| MH/dNm | 1 | 0.928 6 | ||
| (MH-ML)/dNm | 1 |
Table 4 The relativity of parameters for raw rubber and compounds with crosslinking degree
| R2 | MVraw rubber/MU | ML/dNm | MH/dNm | (MH-ML)/dNm |
|---|---|---|---|---|
| MVraw rubber/MU | 1 | 0.976 1 | 0.639 7 | 0.857 7 |
| ML/dNm | 1 | 0.870 8 | 0.645 0 | |
| MH/dNm | 1 | 0.928 6 | ||
| (MH-ML)/dNm | 1 |
| 1 | 杨瑞权, 宋义虎, 郑强. 白炭黑填充羧基丁苯橡胶的多层次微观结构研究[J]. 高分子学报, 2016, 46(10): 1425-1430. |
| YANG R Q, SONG Y H, ZHENG Q. Studies on multilayer microstructure of nanosilica filled carboxylated styrene-butadiene rubber[J]. Acta Poly Sin, 2016, 46(10): 1425-1430. | |
| 2 | WANG F F, YU W W, ZHANG S T, et al. Improved thermal insulation and mechanical strength of styrene-butadiene rubber through the combination of filled silica aerogels and modified glass fiber[J]. Materials, 2023, 16: 5947. |
| 3 | 宋义虎, 郑强. 橡胶纳米复合材料微观结构与补强机理[J]. 高分子材料科学与工程, 2021, 37(1): 252-260. |
| SONG Y H, ZHENG Q. Microstructure and reinforcement of rubber nano composites[J]. Polym Mater Sci Eng, 2021, 37(1): 252-260. | |
| 4 | SONG Y H, ZHENG Q. Concepts and conflicts in nanoparticles reinforcement to polymers beyond hydrodynamics[J]. Prog Mater Sci, 2016, 84: 1-58. |
| 5 | 郑重, 宋义虎, 郑强. 气相二氧化硅填充极性低聚物的界面与流变[J]. 高分子学报, 2017, 47(3): 429-453. |
| ZHENG Z, SONG Y H, ZHENG Q. Interfacial structure and rheology of fumed silica filled polar oligomer nanocomposites[J]. Acta Poly Sin, 2017, 47(3): 429-453. | |
| 6 | 张小虎, 陈新厂, 李金波, 等. 丁基橡胶/聚异丁烯交联体系的黏弹行为[J]. 高分子材料科学与工程, 2023, 39(5): 77-83. |
| ZHANG X H, CHEN X C, LI J B, et al. Viscoelastic behaviors of cross-linked butyl rubber/polyisobutene system[J]. Polym Mater Sci Eng, 2023, 39(5): 77-83. | |
| 7 | 张小虎, 陈新厂, 朱治文, 等. 丁基橡胶/聚异丁烯交联网络松弛行为与力学性能[J]. 高分子材料科学与工程, 2023, 39(5): 84-90. |
| ZHANG X H, CHEN X C, ZHU Z W, et al. Relationship between relaxation behaviors and mechanical properties of crosslinked butyl rubber/polyisobutene systems[J]. Polym Mater Sci Eng, 2023, 39(5): 84-90. | |
| 8 | 王丽丽. 溶聚丁苯橡胶结构与加工应用性能的关系[J]. 合成橡胶工业, 2019, 42(5): 391-397. |
| WANG L L, Relationship between structure and processing application properties of solution polymerized styrene-butadiene rubber[J]. Chin Syn Rubb Indust, 2019, 42(5): 391-397. | |
| 9 | 陈云峰, 李长皓. 不同门尼黏度NBR的制备及其对力学性能的影响[J]. 橡塑技术与装备, 2022, 48: 43-46. |
| CHEN Y F, LI C H. Preparation of NBR with different Mooney viscosity and its effect on mechanical properties[J]. Chin Rubb/Plast Technol Equip, 2022, 48: 43-46. | |
| 10 | 童心. 合成橡胶的分子结构及其与门尼黏度关系的研究[D]. 杭州: 浙江大学, 2017. |
| TONG X. The molecular structure of synthetic rubber and its relationship with Mooney viscosity[D]. Hangzhou: Zhejiang University, 2017. | |
| 11 | RUBINSTEIN M, COLBY R H. Polymer physics[M]. New York: Oxford University Press lnc, 2003: 230-236. |
| 12 | 宋义虎, 杜淼, 杨红梅, 等. 橡胶材料的结构与黏弹性[J]. 高分子学报, 2013, 43(9): 1115-1130. |
| SONG Y H, DU M, YANG H M, et al. Structure and viscoelasticity of rubber materials[J]. Acta Poly Sin, 2013, 43(9): 1115-1130. | |
| 13 | WRANA C. Introduction to polymer physics[R]. Lanxess AG, Leverkusen, 2009: 212-234. |
| [1] | Qing-Wen JIANG, Ying ZHANG, Hai-Tong LI, Xiao-Jun HAN. Research Progress of Composite Coagulants in Treatments of Low Temperature and Low Turbidity Water [J]. Chinese Journal of Applied Chemistry, 2025, 42(5): 656-667. |
| [2] | Yu-Xin GAO, Wei LIU, Rui LI, Yan-Xiong PAN, Deng-Fei WANG, Ming-Jun ZHANG, Shu-Yan HE, Xiang-Ling JI. Comparison of Chain Microstructure of Four Polyethylene Resins for Films and Pipes [J]. Chinese Journal of Applied Chemistry, 2025, 42(4): 490-498. |
| [3] | Wen-Qiang MAO, Jia-Peng LI, Dong-Dong WANG, Yan-Xiong PAN, Xiang-Ling JI, Wei JIANG. Preparation and Properties of Chlorinated Poly(Propylene Carbonate)/ Poly(Butylene Succinate) Blends Modified with Epoxy Chain Extender ADR-4468 [J]. Chinese Journal of Applied Chemistry, 2025, 42(2): 201-211. |
| [4] | Yu-Mei LUO, Yun ZHOU, Yi ZHOU, Ya-Fei SHAO. Preparation of Polyurea Aerogels and the Effect on Lightweight Composite Mortar [J]. Chinese Journal of Applied Chemistry, 2025, 42(2): 238-248. |
| [5] | Guo-Hong TANG, Zhen ZHAO, Jia-Hui ZHONG, Xiao-Ling XU, Ying-Lu SUN, De-Kun SHENG, Yu-Ming YANG. Research Progress on Preparation and Properties of Bio-Based Polyurethanes from Amino Acid and Its Derivatives [J]. Chinese Journal of Applied Chemistry, 2025, 42(1): 42-57. |
| [6] | Xin-Yue SONG, Ben-Min HU, Shuai MENG, Heng-Chong SHI, De-An SHI, Zhao-Yang WANG, Hua-Wei YANG, Shi-Fang LUAN. Effect of Entanglement Degree on Condensed State Structure and Impact Strength of Ultra-High Relative Molecular Mass Polyethylene [J]. Chinese Journal of Applied Chemistry, 2025, 42(1): 58-68. |
| [7] | Jing-Wei LI, Rui-Peng ZHENG, Ming YANG, Juan ZHAO, Shuai ZHENG, Ya-Ke LI, Yun-Xia QI, Yi-Quan XU, Bai-Jun LIU. Properties of Irradiated Polyethylene Hot-Melt Tape and Its Application in Cable Insulation Layer Rejuvenation [J]. Chinese Journal of Applied Chemistry, 2024, 41(11): 1648-1655. |
| [8] | Xiao-He WANG, Lin XU, Li FU. Research Progress of Surgical Sutures with Integrated Diagnostic and Therapeutic Functions [J]. Chinese Journal of Applied Chemistry, 2024, 41(10): 1399-1408. |
| [9] | Ling-Yao KONG, Ji-Yong ZHAO, Min-Jie QU, Hong-Hua WANG. Preparation and Characterization of Thermosetting Poly(aryl ether ketone) with High Carbonization Rate [J]. Chinese Journal of Applied Chemistry, 2024, 41(10): 1436-1444. |
| [10] | Wen-Bin LUO, Zi-Sheng CHAO, Jin-Cheng FAN. Exploration and Practice of Energy Storage Polymer Materials Teaching under the Concept of Integrating Science and Education [J]. Chinese Journal of Applied Chemistry, 2024, 41(10): 1519-1524. |
| [11] | Zong-Hao HONG, Shi-Long WU, Quan CHEN. Nonlinear Elongational Rheology of Unentangled Poly(styrene-co-p-tert butyl styrene) Copolymers [J]. Chinese Journal of Applied Chemistry, 2024, 41(8): 1098-1106. |
| [12] | Hong LI, De-Wen SUN. Kinetic Fabrication Strategy of Single Plumber′s Nightmare Network Mesostructure of Block Copolymers [J]. Chinese Journal of Applied Chemistry, 2024, 41(8): 1107-1115. |
| [13] | Hao-Jun SUN, Xiao-Hu YI, Jian-Hua CHENG, Zhao-Hui SU. Quantitative Analysis of Meta-Aramid Units in Para-Aramids [J]. Chinese Journal of Applied Chemistry, 2024, 41(8): 1126-1130. |
| [14] | Lian-Chao ZHU, Wen-Cang SHI. Influence of Strain Rate on Stress-Strain Behavior of Carbon Black Filled Styrene Butadiene Rubber Vulcanizate [J]. Chinese Journal of Applied Chemistry, 2024, 41(7): 959-965. |
| [15] | Chao WANG, Yong-Jun PENG, Bo ZHU, Yi HAN. Thermal Stability and Shielding Performance of Boron Carbide/Lead/Polyethylene Composite Materials [J]. Chinese Journal of Applied Chemistry, 2024, 41(6): 890-898. |
| Viewed | ||||||||||||||||||||||||||||||||||||||||||||||||||
|
Full text 84
|
|
|||||||||||||||||||||||||||||||||||||||||||||||||
|
Abstract 179
|
|
|||||||||||||||||||||||||||||||||||||||||||||||||