Chinese Journal of Applied Chemistry ›› 2025, Vol. 42 ›› Issue (9): 1196-1208.DOI: 10.19894/j.issn.1000-0518.240289

• Full Papers • Previous Articles     Next Articles

Preparation and Photocatalytic Properties of Zn-CdS/g-C3N4 Composites

Hao-Ying ZHAI, Qin YANG, Yi WU, Hong-Yang JIANG, Wen-Jun ZHOU()   

  1. Key Laboratory of Fruit Waste Treatment and Resource Recycling of Sichuan Provincial College,Special Agricultural Resources in Tuojiang River Basin Sharing and Service Platform of Sichuan Province,College of Chemistry and Chemical Engineering,Neijiang Normal University,Neijiang 641100,China
  • Received:2024-09-04 Accepted:2025-07-16 Published:2025-09-01 Online:2025-09-28
  • Contact: Wen-Jun ZHOU
  • About author:zhwj84@126.com
  • Supported by:
    the National Natural Science Foundation of China(21801176);the Key Research Project of Neijiang Normal University(2021ZD05)

Abstract:

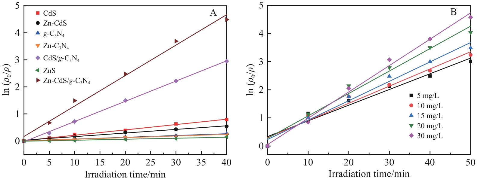
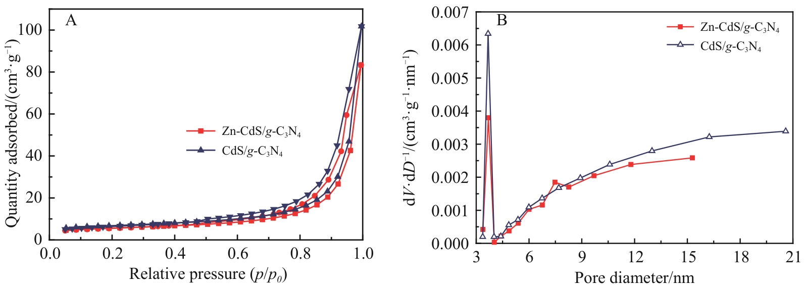
Under strong light irradiation, CdS quantum dots are prone to photocorrosion. The photocatalytic performance and photostability of CdS can be improved by metal doping and recombination. In this paper, Zn-doped CdS/g-C3N4 composite nanomaterials (Zn-CdS/g-C3N4) were synthesized by a hydrothermal method. The morphology, structure and composition of Zn-CdS/g-C3N4 were characterized by scanning electron microscope (SEM), transmission electron microscope (TEM), X-ray diffraction (XRD), X-ray photoelectron spectrometer (XPS) and Fourier transform infrared spectroscopy (FT-IR). The results show that Zn-CdS nanoparticles are attached on g-C3N4 to form Zn-CdS/g-C3N4 composite nanomaterials with the smaller band gap and lower recombination rate of electron-hole. The photocatalytic performance of Zn-CdS/g-C3N4 for rhodamine B (RhB) was studied. Under the optimum conditions, the photocatalytic degradation efficiency of as-prepared Zn-CdS/g-C3N4 is up to 99% after 40 min of light irradiation with 500 W Xe lamp. In addition, the synthesized Zn-CdS/g-C3N4 composites have high photostability and good reproducibility. This is attributed to the synergistic effect between Zn and Cd and the recombination with g-C3N4, which promotes the separation and transfer of photogenerated carriers.

Key words: CdS, g-C3N4, Hydrothermal method, Rhodamine B, Photocatalytic degradation

CLC Number: