应用化学 ›› 2025, Vol. 42 ›› Issue (11): 1539-1549.DOI: 10.19894/j.issn.1000-0518.250285
赫玉芳1, 李豪1, 赵建慧2, 马洋2, 司英奇3, 南敏伦4(
), 赵昱玮1(
)
收稿日期:2025-07-15
接受日期:2025-09-16
出版日期:2025-11-01
发布日期:2025-12-05
通讯作者:
南敏伦,赵昱玮
基金资助:
Yu-Fang HE1, Hao LI1, Jian-Hui ZHAO2, Yang MA2, Ying-Qi SI3, Min-Lun NAN4(
), Yu-Wei ZHAO1(
)
Received:2025-07-15
Accepted:2025-09-16
Published:2025-11-01
Online:2025-12-05
Contact:
Min-Lun NAN,Yu-Wei ZHAO
About author:yuwei5208@163.comSupported by:摘要:
基于高效液相色谱串联四极杆静电场轨道阱质谱(UPLC-Q Exactive Plus-MS)对益肾乌发口服液进行化学成分分析鉴定。 使用Hypersil GOLD C18色谱柱(150 mm×2.1 mm, 3 μm),以乙腈(A)-0.1%甲酸溶液(B)进行梯度洗脱,质谱分析采用ESI离子源,在正、负离子模式下采集数据,利用Xcalibur 4.1软件结合数据库对所得数据进行分析。 共鉴定出55种化学成分,其中氨基酸类化合物3种,萜类化合物10种,甾酮类化合物3种,有机酸类化合物4种,香豆素类化合物4种,黄酮类化合物18种,蒽醌类化合物8种,其他类化合物5种。 UPLC-Q Exactive Plus-MS技术可快速鉴定出益肾乌发口服液中的化学成分,具有较高的准确性,为该方成分研究及药效物质基础研究提供可靠依据。
中图分类号:
赫玉芳, 李豪, 赵建慧, 马洋, 司英奇, 南敏伦, 赵昱玮. 基于UPLC-Q Exactive Plus-MS技术的益肾乌发口服液化学成分分析[J]. 应用化学, 2025, 42(11): 1539-1549.
Yu-Fang HE, Hao LI, Jian-Hui ZHAO, Yang MA, Ying-Qi SI, Min-Lun NAN, Yu-Wei ZHAO. Analysis of Chemical Constituents of Yishen Wufa Oral Liquid Based on Ultra Performance Liquid Chromatography Quadrupole-Orbitrap Q Exactive Plus Mass Spectrometer[J]. Chinese Journal of Applied Chemistry, 2025, 42(11): 1539-1549.
| No | tR /min | Composition | Molecular formula | Ion mode | Measured m/z | Exact mass | Fragments (MS/MS) | 106·Error | Typology | Attribution |
|---|---|---|---|---|---|---|---|---|---|---|
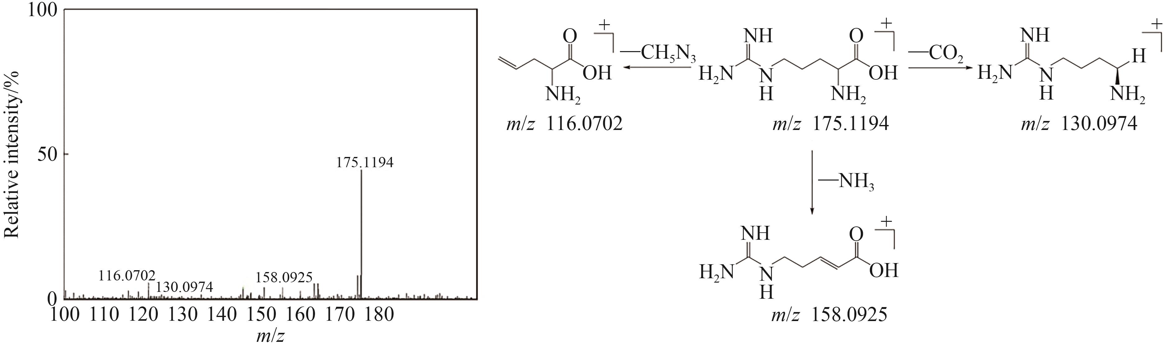
| 1 | 1.26 | Arginine[ | C6H14N4O2 | [M+H]+ | 175.119 4 | 175.118 9 | 158.092 5, 130.097 4, 116.070 2 | -2.9 | Amino acids and derivatives | e, f, g |
| 2 | 1.88 | Proline[ | C5H9NO2 | [M+H]+ | 116.071 1 | 116.070 6 | 158.092 5, 130.097 4, 116.070 2 | -4.3 | Amino acids and derivatives | e, f, g |
| 3 | 4.89 | Poricoic acid E[ | C30H44O6 | [M-H]- | 499.306 2 | 499.306 0 | 158.092 5, 130.097 4, 116.070 2 | -0.4 | Terpenoids | f |
| 4 | 8.26 | Poricoic acid F[ | C31H46O6 | [M-H]- | 513.306 4 | 513.307 9 | 158.092 5, 130.097 4, 116.070 2 | 2.9 | Terpenoids | f |
| 5 | 9.22 | Poricoic acid[ | C33H52O5 | [M-H]- | 527.374 6 | 527.373 8 | 509.362 6, 467.316 7, 355.264 2 | -1.5 | Terpenoids | f |
| 6 | 10.12 | Poricoic acid A[ | C31H46O5 | [M-H]- | 497.302 3 | 497.301 5 | 471.348 6, 265.148 4, 221.154 8, 174.955 8, 146.965 2 | -1.6 | Terpenoids | f |
| 7 | 13.56 | Inokosterone A[ | C27H44O7 | [M-H]- | 479.300 2 | 479.301 3 | 461.296 7, 443.290 5 | 2.3 | Steroid hormone | g |
| 8 | 16.22 | Poricoic acid H[ | C31H48O5 | [M-H]- | 499.343 8 | 499.342 4 | 485.327 5, 69.131 7, 174.955 7, 146.964 3 | -2.8 | Terpenoids | f |
| 9 | 29.15 | Tryptophan[ | C11H12N2O3 | [M+H]+ | 205.098 9 | 205.099 7 | 188.070 8, 146.060 1, 118.065 7, 91.054 2 | 3.9 | Amino acids and derivatives | e, f, g |
| 10 | 30.12 | Poricoic acid B[ | C30H44O5 | [M-H]- | 483.311 7 | 483.313 3 | 465.018 2, 409.027 5, 365.025 9 | 3.3 | Terpenoids | f |
| 11 | 32.26 | Poricoic acid G[ | C30H46O5 | [M-H]- | 485.326 8 | 485.326 7 | 441.351 2, 353.247 5 | -0.2 | Terpenoids | f |
| 12 | 34.33 | Chrysophanol-1-O-β-D-glucoside[ | C21H20O9 | [M-H]- | 415.104 6 | 415.102 9 | 277.050 2, 266.058 7, 253.050 8, 239.0701 | -4.1 | Anthraquinone | b |
| 13 | 44.15 | Ferulic acid[ | C10H10O4 | [M+H]+ | 195.052 2 | 195.051 5 | 134.036 6, 149.059 6, 177.054 5 | -3.6 | Organic acids | c, d |
| 14 | 44.28 | Psoralenoside[ | C17H18O9 | [M-H]- | 365.086 5 | 365.086 9 | 203.034 8, 159.044 6, 119.033 7 | 1.1 | Coumarins | a |
| 15 | 53.89 | Psoralen[ | C11H6O3 | [M+H]+ | 187.039 4 | 187.038 9 | 159.044 8, 143.049 6, 131.049 3, 115.054 9 | -2.7 | Coumarins | a |
| 16 | 57.57 | Angelicin[ | C11H6O3 | [M+H]+ | 187.039 8 | 187.038 9 | 131.038 6 | -4.8 | Coumarins | a |
| 17 | 58.11 | Polypodine B[ | C27H44O8 | [M-H]- | 495.295 4 | 495.294 9 | 441.263 7, 433.274 6 | -1.1 | Steroid hormone | g |
| 18 | 59.02 | 11-Dioxy-cortiso[ | C21H30O4 | [M-H]- | 345.206 4 | 345.205 5 | 277.219 2, 259.212 5 | -2.6 | Sterol | g |
| 19 | 59.36 | Ecdysterone[ | C27H44O7 | [M-H]- | 479.301 7 | 479.300 8 | 159.103 2, 319.970 4 | -1.9 | Steroid hormone | g |
| 20 | 60.21 | Dehydropachymic acid[ | C33H50O5 | [M-H]- | 525.359 2 | 525.358 6 | 446.312 1, 377.273 3, 311.169 0, 297.153 6 | -1.1 | Terpenoids | f |
| 21 | 61.34 | Narcissoside[ | C28H32O16 | [M-H]- | 624.167 1 | 624.165 9 | 315.050 8, 300.026 5, 271.024 9, 243.029 2 | -1.9 | Flavonoids | a |
| 22 | 61.64 | Kaempferol-3-O-rutinoside[ | C27H30O15 | [M+H]+ | 595.1665 | 595.518 2 | 287.055 4, 449.196 8 | Flavonoids | a | |
| 23 | 61.95 | 2,3,5,4'-Tetrahydroxy stilbene-2,3-Ο-β-D-pyranoside[ | C27H24O13 | [M-H]- | 555.113 6 | 555.111 5 | 393.062 1, 274.012 1 | -3.8 | Phenolic | b |
| 24 | 63.21 | Isoorientin[ | C21H20O11 | [M+H]+ | 448.100 5 | 448.101 2 | 329.065 2, 287.054 5, 153.018 1 | 1.6 | Flavonoids | a |
| 25 | 63.86 | Tetrahydroxystilbene-2-O-bisglucoside[ | C26H32O14 | [M-H]- | 567.173 5 | 567.171 9 | 243.062 7 | -2.8 | Phenolic | b |
| 26 | 63.92 | Dehydrotumulosic acid[ | C31H48O4 | [M-H]- | 483.348 5 | 483.348 0 | 402.682 5, 389.286 2 | 1.03 | Terpenoids | f |
| 27 | 65.02 | 4'-O-Methyl psoralen chalcone B[ | C21H22O4 | [M+H]+ | 339.159 0 | 339.158 6 | 149.133 0, 135.117 4, 121.101 7, 111.117 8 | -1.2 | Flavonoids | a |
| 28 | 66.07 | Emodin-8-O-β-D-glucoside[ | C21H20O10 | [M+H]+ | 433.097 6 | 433.098 4 | 293.041 4, 185.042 6 | -1.8 | Anthraquinone | b |
| 29 | 69.26 | Rheumol-O-acetyl-glucoside[ | C23H22O10 | [M-H]- | 457.114 8 | 457.116 6 | 277.051 4, 253.050 3 | 3.9 | Anthraquinone | b |
| 30 | 70.64 | 2,3,5,4'-tetrahydroxy stilbene-2-Ο-β-D-glucoside[ | C20H22O9 | [M-H]- | 405.118 9 | 405.119 1 | 243.067 3, 225.056 4, 215.070 8, 173.061 1, 145.065 6 | 0.5 | Phenolic | b |
| 31 | 72.15 | Hyperoside[ | C21H20O12 | [M+H]- | 463.088 2 | 463.088 2 | 301.050 2, 300.028 7, 271.026 2 | 0 | Flavonoids | a |
| 32 | 73.02 | Physcion 8-O-β-D-glucoside[ | C22H22O10 | [M-H]- | 445.113 7 | 445.114 5 | 283.062 1, 269.044 8, 240.042 5 | 1.8 | Anthraquinone | b |
| 33 | 73.35 | Apioside[ | C26H28O14 | [M+H]+ | 565.155 6 | 565.155 9 | 433.091 8, 269.045 8, 121.027 9 | 0.5 | Flavonoids | a |
| 34 | 73.87 | Quercitrin[ | C21H20O11 | [M+H]+ | 449.118 9 | 449.118 4 | 287.054 7, 151.112 1 | -1.1 | Flavonoids | a |
| 35 | 77.07 | Isorhamnetin-3-O-neohespeidoside[ | C28H32O16 | [M-H]- | 623.160 9 | 623.161 2 | 314.043 6, 299.020 4, 271.025 2, 243.029 7 | 0.5 | Flavonoids | c |
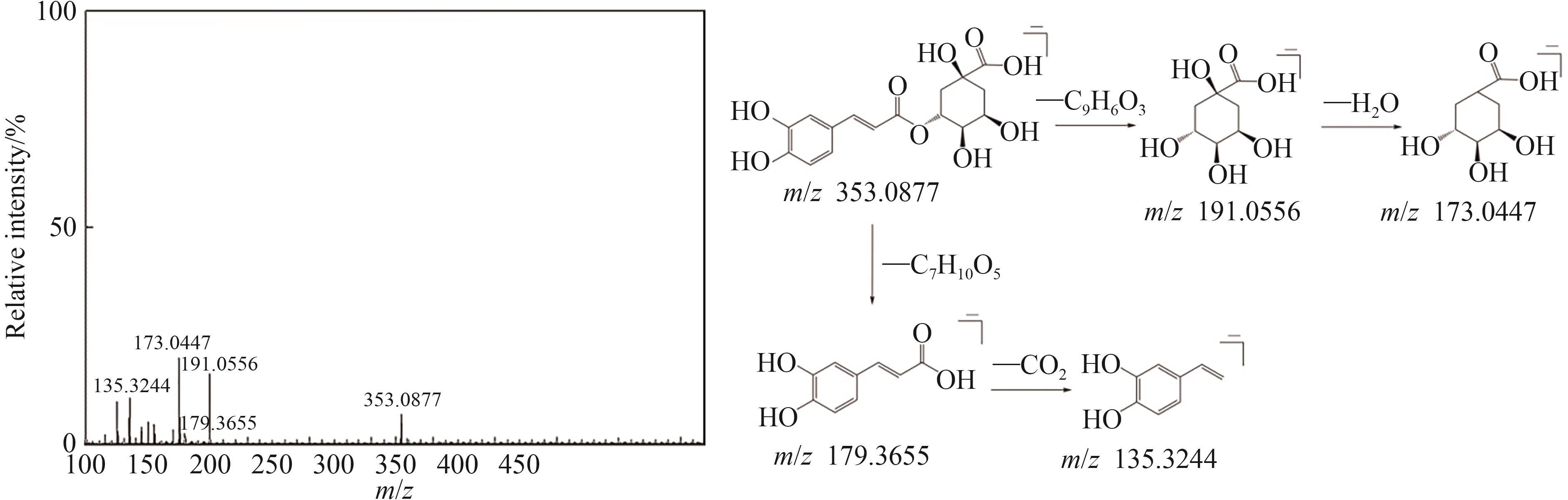
| 36 | 77.21 | Chlorogenic acid[ | C16H18O9 | [M-H]- | 353.087 7 | 353.086 7 | 191.055 6, 179.365 5, 173.044 7, 135.324 4 | -2.8 | Organic acids | d |
| 37 | 78.13 | Astragalin[ | C21H20O11 | [M+H]+ | 449.116 6 | 449.118 4 | 285.032 6, 255.026 3, 227.032 5, 211.037 7 | -4.0 | Flavonoids | a |
| 38 | 78.26 | Cynaroside[ | C21H20O11 | [M-H]- | 447.094 4 | 447.003 3 | 285.041 3, 151.004 8, 133.030 5 | -2.5 | Flavonoids | a |
| 39 | 79.34 | Rhamnocitrin[ | C16H12O6 | [M+H]+ | 301.067 8 | 301.067 1 | 283.062 2 | -2.3 | Flavonoids | c |
| 40 | 79.65 | Bavachin[ | C20H20O4 | [M+H]+ | 325.144 0 | 325.143 3 | 269.080 8,205.086 8, 149.023 6, 121.029 4 | -2.2 | Flavonoids | a |
| 41 | 80.13 | Bavachinin A[ | C21H22O4 | [M+H]+ | 339.159 4 | 339.158 8 | 271.096 6, 219.101 8, 151.039 3, 119.049 9 | -1.8 | Flavonoids | a |
| 42 | 81.69 | Isobavachalcone[ | C20H20O4 | [M+H]+ | 325.142 6 | 325.143 3 | 269.080 3, 205.085 9, 149.022 6, 131.027 9 | 2.2 | Flavonoids | a |
| 43 | 83.21 | Psoralenol[ | C20H18O5 | [M+H]+ | 339.122 8 | 339.123 0 | 279.065 5, 251.073 8, 137.023 9 | -0.6 | Coumarins | a |
| 44 | 85.08 | Vanillic acid[ | C8H8O4 | [M+H]+ | 169.034 3 | 169.035 0 | 108.020 5, 181.036 8 | 4.1 | Organic acids | d |
| 45 | 88.11 | Linoleic acid[ | C21H20O12 | [M+H]+ | 281.248 9 | 281.247 6 | 221.044 5, 219.028 4, 179.034 5 | -4.6 | Organic acids | e |
| 46 | 89.26 | Corylin[ | C20H16O4 | [M+H]+ | 321.113 6 | 321.112 1 | 293.082 1, 263.067 3 | -4.7 | Flavonoids | a |
| 47 | 91.63 | Stigmasterol[ | C29H48O | [M+H]+ | 413.375 6 | 413.374 9 | 395.365 6, 337.284 8, 245.224 4, 229.193 9, 217.193 7 | -1.7 | Sterol | g |
| 48 | 91.89 | Aloeemodin[ | C15H10O5 | [M-H]- | 269.044 2 | 269.045 5 | 240.038 6, 183.044 4 | 4.8 | Anthraquinone | a |
| 49 | 92.12 | Curcumin[ | C21H20O6 | [M+H]+ | 369.133 4 | 369.132 9 | 175.076 4, 177.055 6, 178.059 2, 219.067 5 | -1.4 | Flavonoids | c |
| 50 | 92.18 | Bavachinin A[ | C21H22O4 | [M+H]+ | 339.159 4 | 339.158 8 | 271.096 8, 219.101 9, 151.039 6 | -2.7 | Flavonoids | a |
| 51 | 95.89 | Emodin[ | C15H10O5 | [M-H]- | 269.0455 | 269.0456 | 241.0507, 225.0553, 210.0305, 197.0603 | 0.4 | Anthraquinone | b |
| 52 | 101.64 | Bavachalcone[ | C20H20O4 | [M+H]+ | 325.126 6 | 325.127 9 | 279.101 4, 269.154 1, 251.070 8, 223.075 7, 195.080 4, 175.111 3 | 4.0 | Flavonoids | a |
| 53 | 101.84 | Chrysophanol[ | C15H10O4 | [M-H]- | 253.050 3 | 53.050 6 | 225.055 8, 210.031 5, 195.044 7, 153.069 6 | 1.2 | Anthraquinone | b |
| 54 | 103.44 | Physcion[ | C16H12O5 | [M+H]+ | 285.059 9 | 285.061 2 | 242.057 8, 211.075 3, 158.057 6 | 4.6 | Anthraquinone | b |
| 55 | 104.62 | Oleanolic acid[ | C30H48O3 | [M+H]+ | 457.367 9 | 457.368 1 | 457.370 2, 439.356 4, 191.178 7, 163.147 5, 109.101 1 | 0.4 | Terpenoids | g |
表1 益肾乌发口服液化学成分分析
Table 1 Analysis of chemical constituents of Yishen Wufa Oral Liquid
| No | tR /min | Composition | Molecular formula | Ion mode | Measured m/z | Exact mass | Fragments (MS/MS) | 106·Error | Typology | Attribution |
|---|---|---|---|---|---|---|---|---|---|---|
| 1 | 1.26 | Arginine[ | C6H14N4O2 | [M+H]+ | 175.119 4 | 175.118 9 | 158.092 5, 130.097 4, 116.070 2 | -2.9 | Amino acids and derivatives | e, f, g |
| 2 | 1.88 | Proline[ | C5H9NO2 | [M+H]+ | 116.071 1 | 116.070 6 | 158.092 5, 130.097 4, 116.070 2 | -4.3 | Amino acids and derivatives | e, f, g |
| 3 | 4.89 | Poricoic acid E[ | C30H44O6 | [M-H]- | 499.306 2 | 499.306 0 | 158.092 5, 130.097 4, 116.070 2 | -0.4 | Terpenoids | f |
| 4 | 8.26 | Poricoic acid F[ | C31H46O6 | [M-H]- | 513.306 4 | 513.307 9 | 158.092 5, 130.097 4, 116.070 2 | 2.9 | Terpenoids | f |
| 5 | 9.22 | Poricoic acid[ | C33H52O5 | [M-H]- | 527.374 6 | 527.373 8 | 509.362 6, 467.316 7, 355.264 2 | -1.5 | Terpenoids | f |
| 6 | 10.12 | Poricoic acid A[ | C31H46O5 | [M-H]- | 497.302 3 | 497.301 5 | 471.348 6, 265.148 4, 221.154 8, 174.955 8, 146.965 2 | -1.6 | Terpenoids | f |
| 7 | 13.56 | Inokosterone A[ | C27H44O7 | [M-H]- | 479.300 2 | 479.301 3 | 461.296 7, 443.290 5 | 2.3 | Steroid hormone | g |
| 8 | 16.22 | Poricoic acid H[ | C31H48O5 | [M-H]- | 499.343 8 | 499.342 4 | 485.327 5, 69.131 7, 174.955 7, 146.964 3 | -2.8 | Terpenoids | f |
| 9 | 29.15 | Tryptophan[ | C11H12N2O3 | [M+H]+ | 205.098 9 | 205.099 7 | 188.070 8, 146.060 1, 118.065 7, 91.054 2 | 3.9 | Amino acids and derivatives | e, f, g |
| 10 | 30.12 | Poricoic acid B[ | C30H44O5 | [M-H]- | 483.311 7 | 483.313 3 | 465.018 2, 409.027 5, 365.025 9 | 3.3 | Terpenoids | f |
| 11 | 32.26 | Poricoic acid G[ | C30H46O5 | [M-H]- | 485.326 8 | 485.326 7 | 441.351 2, 353.247 5 | -0.2 | Terpenoids | f |
| 12 | 34.33 | Chrysophanol-1-O-β-D-glucoside[ | C21H20O9 | [M-H]- | 415.104 6 | 415.102 9 | 277.050 2, 266.058 7, 253.050 8, 239.0701 | -4.1 | Anthraquinone | b |
| 13 | 44.15 | Ferulic acid[ | C10H10O4 | [M+H]+ | 195.052 2 | 195.051 5 | 134.036 6, 149.059 6, 177.054 5 | -3.6 | Organic acids | c, d |
| 14 | 44.28 | Psoralenoside[ | C17H18O9 | [M-H]- | 365.086 5 | 365.086 9 | 203.034 8, 159.044 6, 119.033 7 | 1.1 | Coumarins | a |
| 15 | 53.89 | Psoralen[ | C11H6O3 | [M+H]+ | 187.039 4 | 187.038 9 | 159.044 8, 143.049 6, 131.049 3, 115.054 9 | -2.7 | Coumarins | a |
| 16 | 57.57 | Angelicin[ | C11H6O3 | [M+H]+ | 187.039 8 | 187.038 9 | 131.038 6 | -4.8 | Coumarins | a |
| 17 | 58.11 | Polypodine B[ | C27H44O8 | [M-H]- | 495.295 4 | 495.294 9 | 441.263 7, 433.274 6 | -1.1 | Steroid hormone | g |
| 18 | 59.02 | 11-Dioxy-cortiso[ | C21H30O4 | [M-H]- | 345.206 4 | 345.205 5 | 277.219 2, 259.212 5 | -2.6 | Sterol | g |
| 19 | 59.36 | Ecdysterone[ | C27H44O7 | [M-H]- | 479.301 7 | 479.300 8 | 159.103 2, 319.970 4 | -1.9 | Steroid hormone | g |
| 20 | 60.21 | Dehydropachymic acid[ | C33H50O5 | [M-H]- | 525.359 2 | 525.358 6 | 446.312 1, 377.273 3, 311.169 0, 297.153 6 | -1.1 | Terpenoids | f |
| 21 | 61.34 | Narcissoside[ | C28H32O16 | [M-H]- | 624.167 1 | 624.165 9 | 315.050 8, 300.026 5, 271.024 9, 243.029 2 | -1.9 | Flavonoids | a |
| 22 | 61.64 | Kaempferol-3-O-rutinoside[ | C27H30O15 | [M+H]+ | 595.1665 | 595.518 2 | 287.055 4, 449.196 8 | Flavonoids | a | |
| 23 | 61.95 | 2,3,5,4'-Tetrahydroxy stilbene-2,3-Ο-β-D-pyranoside[ | C27H24O13 | [M-H]- | 555.113 6 | 555.111 5 | 393.062 1, 274.012 1 | -3.8 | Phenolic | b |
| 24 | 63.21 | Isoorientin[ | C21H20O11 | [M+H]+ | 448.100 5 | 448.101 2 | 329.065 2, 287.054 5, 153.018 1 | 1.6 | Flavonoids | a |
| 25 | 63.86 | Tetrahydroxystilbene-2-O-bisglucoside[ | C26H32O14 | [M-H]- | 567.173 5 | 567.171 9 | 243.062 7 | -2.8 | Phenolic | b |
| 26 | 63.92 | Dehydrotumulosic acid[ | C31H48O4 | [M-H]- | 483.348 5 | 483.348 0 | 402.682 5, 389.286 2 | 1.03 | Terpenoids | f |
| 27 | 65.02 | 4'-O-Methyl psoralen chalcone B[ | C21H22O4 | [M+H]+ | 339.159 0 | 339.158 6 | 149.133 0, 135.117 4, 121.101 7, 111.117 8 | -1.2 | Flavonoids | a |
| 28 | 66.07 | Emodin-8-O-β-D-glucoside[ | C21H20O10 | [M+H]+ | 433.097 6 | 433.098 4 | 293.041 4, 185.042 6 | -1.8 | Anthraquinone | b |
| 29 | 69.26 | Rheumol-O-acetyl-glucoside[ | C23H22O10 | [M-H]- | 457.114 8 | 457.116 6 | 277.051 4, 253.050 3 | 3.9 | Anthraquinone | b |
| 30 | 70.64 | 2,3,5,4'-tetrahydroxy stilbene-2-Ο-β-D-glucoside[ | C20H22O9 | [M-H]- | 405.118 9 | 405.119 1 | 243.067 3, 225.056 4, 215.070 8, 173.061 1, 145.065 6 | 0.5 | Phenolic | b |
| 31 | 72.15 | Hyperoside[ | C21H20O12 | [M+H]- | 463.088 2 | 463.088 2 | 301.050 2, 300.028 7, 271.026 2 | 0 | Flavonoids | a |
| 32 | 73.02 | Physcion 8-O-β-D-glucoside[ | C22H22O10 | [M-H]- | 445.113 7 | 445.114 5 | 283.062 1, 269.044 8, 240.042 5 | 1.8 | Anthraquinone | b |
| 33 | 73.35 | Apioside[ | C26H28O14 | [M+H]+ | 565.155 6 | 565.155 9 | 433.091 8, 269.045 8, 121.027 9 | 0.5 | Flavonoids | a |
| 34 | 73.87 | Quercitrin[ | C21H20O11 | [M+H]+ | 449.118 9 | 449.118 4 | 287.054 7, 151.112 1 | -1.1 | Flavonoids | a |
| 35 | 77.07 | Isorhamnetin-3-O-neohespeidoside[ | C28H32O16 | [M-H]- | 623.160 9 | 623.161 2 | 314.043 6, 299.020 4, 271.025 2, 243.029 7 | 0.5 | Flavonoids | c |
| 36 | 77.21 | Chlorogenic acid[ | C16H18O9 | [M-H]- | 353.087 7 | 353.086 7 | 191.055 6, 179.365 5, 173.044 7, 135.324 4 | -2.8 | Organic acids | d |
| 37 | 78.13 | Astragalin[ | C21H20O11 | [M+H]+ | 449.116 6 | 449.118 4 | 285.032 6, 255.026 3, 227.032 5, 211.037 7 | -4.0 | Flavonoids | a |
| 38 | 78.26 | Cynaroside[ | C21H20O11 | [M-H]- | 447.094 4 | 447.003 3 | 285.041 3, 151.004 8, 133.030 5 | -2.5 | Flavonoids | a |
| 39 | 79.34 | Rhamnocitrin[ | C16H12O6 | [M+H]+ | 301.067 8 | 301.067 1 | 283.062 2 | -2.3 | Flavonoids | c |
| 40 | 79.65 | Bavachin[ | C20H20O4 | [M+H]+ | 325.144 0 | 325.143 3 | 269.080 8,205.086 8, 149.023 6, 121.029 4 | -2.2 | Flavonoids | a |
| 41 | 80.13 | Bavachinin A[ | C21H22O4 | [M+H]+ | 339.159 4 | 339.158 8 | 271.096 6, 219.101 8, 151.039 3, 119.049 9 | -1.8 | Flavonoids | a |
| 42 | 81.69 | Isobavachalcone[ | C20H20O4 | [M+H]+ | 325.142 6 | 325.143 3 | 269.080 3, 205.085 9, 149.022 6, 131.027 9 | 2.2 | Flavonoids | a |
| 43 | 83.21 | Psoralenol[ | C20H18O5 | [M+H]+ | 339.122 8 | 339.123 0 | 279.065 5, 251.073 8, 137.023 9 | -0.6 | Coumarins | a |
| 44 | 85.08 | Vanillic acid[ | C8H8O4 | [M+H]+ | 169.034 3 | 169.035 0 | 108.020 5, 181.036 8 | 4.1 | Organic acids | d |
| 45 | 88.11 | Linoleic acid[ | C21H20O12 | [M+H]+ | 281.248 9 | 281.247 6 | 221.044 5, 219.028 4, 179.034 5 | -4.6 | Organic acids | e |
| 46 | 89.26 | Corylin[ | C20H16O4 | [M+H]+ | 321.113 6 | 321.112 1 | 293.082 1, 263.067 3 | -4.7 | Flavonoids | a |
| 47 | 91.63 | Stigmasterol[ | C29H48O | [M+H]+ | 413.375 6 | 413.374 9 | 395.365 6, 337.284 8, 245.224 4, 229.193 9, 217.193 7 | -1.7 | Sterol | g |
| 48 | 91.89 | Aloeemodin[ | C15H10O5 | [M-H]- | 269.044 2 | 269.045 5 | 240.038 6, 183.044 4 | 4.8 | Anthraquinone | a |
| 49 | 92.12 | Curcumin[ | C21H20O6 | [M+H]+ | 369.133 4 | 369.132 9 | 175.076 4, 177.055 6, 178.059 2, 219.067 5 | -1.4 | Flavonoids | c |
| 50 | 92.18 | Bavachinin A[ | C21H22O4 | [M+H]+ | 339.159 4 | 339.158 8 | 271.096 8, 219.101 9, 151.039 6 | -2.7 | Flavonoids | a |
| 51 | 95.89 | Emodin[ | C15H10O5 | [M-H]- | 269.0455 | 269.0456 | 241.0507, 225.0553, 210.0305, 197.0603 | 0.4 | Anthraquinone | b |
| 52 | 101.64 | Bavachalcone[ | C20H20O4 | [M+H]+ | 325.126 6 | 325.127 9 | 279.101 4, 269.154 1, 251.070 8, 223.075 7, 195.080 4, 175.111 3 | 4.0 | Flavonoids | a |
| 53 | 101.84 | Chrysophanol[ | C15H10O4 | [M-H]- | 253.050 3 | 53.050 6 | 225.055 8, 210.031 5, 195.044 7, 153.069 6 | 1.2 | Anthraquinone | b |
| 54 | 103.44 | Physcion[ | C16H12O5 | [M+H]+ | 285.059 9 | 285.061 2 | 242.057 8, 211.075 3, 158.057 6 | 4.6 | Anthraquinone | b |
| 55 | 104.62 | Oleanolic acid[ | C30H48O3 | [M+H]+ | 457.367 9 | 457.368 1 | 457.370 2, 439.356 4, 191.178 7, 163.147 5, 109.101 1 | 0.4 | Terpenoids | g |
| [1] | 汪明金, 陈雯清, 袁伟博, 等. 何首乌化学成分、药理作用及肝毒性的研究进展[J]. 上海中医药杂志, 2024, 58(3): 86-91. |
| WANG M J, CHEN W Q, YUAN W B, et al. Research progress on chemical components, pharmacological effects and hepatotoxicity Polygonum multiflorum[J]. Shanghai J Tradit Chin Med, 2024, 58(3): 86-91. | |
| [2] | 徐东川, 杨宗统, 苏敏. 何首乌的现代药理作用及机制研究进展[J]. 西安文理学院学报(自然科学版), 2022, 25(2): 79-83. |
| XU D C, YANG Z T, SU M. Research progress on the modern pharmacological effects and mechanisms of Polygonum multiflorum[J]. J Xi'an Univ Arts Sci (Nat Sci Ed), 2022, 25(2): 79-83. | |
| [3] | 石玉, 李梦琦, 杨诗宇, 等. 当归挥发油的化学成分和药理作用研究进展[J]. 中国现代应用药学, 2024, 41(7): 1006-1014. |
| SHI Y, LI M Q, YANG S Y, et al. Research progress on chemical composition and pharmacological effects of Angelica sinensis essential oil[J]. Chin J Mod Appl Pharm, 2024, 41(7): 1006-1014. | |
| [4] | 范冰冰, 仲人中, 马壮, 等. 补骨脂的药理学研究进展[J]. 中华中医药学刊, 2024, 42(4): 84-87. |
| FAN B B, ZHONG R Z, MA Z, et al. Research progress in pharmacological studies of Psoralea corylifolia[J]. Chin Arch Tradit Chin Med, 2024, 42(4): 84-87. | |
| [5] | 张莹, 吕惠子. 补骨脂的化学成分和药理作用研究进展[J]. 临床医药文献电子杂志, 2020, 7(30): 195. |
| ZHANG Y, LYU H Z. Research progress on the chemical components and pharmacological effects of Psoralea corylifolia[J]. Electronic J Clin Pharm Lit, 2020, 7(30): 195. | |
| [6] | 张敏, 岳坤, 姜交华, 等. 枸杞子及其有效成分的药理作用研究进展[J]. 药物评价研究, 2023, 46(7): 1611-1619. |
| ZHANG M, YUE K, JIANG J H, et al. Research progress on the pharmacological effects of Lycii fructus and its active ingredients[J]. Drug Eval Res, 2023, 46(7): 1611-1619. | |
| [7] | 苏保洲. 枸杞子活性成分药理作用研究进展[J]. 江苏中医药, 2022, 54(3): 78-81. |
| SU B Z. Research progress on the pharmacological effects of active ingredients in Lycii fructus[J]. Jiangsu J Tradit Chin Med, 2022, 54(03): 78-81. | |
| [8] | 罗小莉, 莫小春, 张强, 等. 沙苑子的化学成分及药理作用研究进展[J]. 广西中医药大学学报, 2020, 23(1): 72-75. |
| LUO X L, MO X C, ZHANG Q, et al. Research progress on the chemical composition and pharmacological effects of Semen Astragali Complanati[J]. J Guangxi Univ Chin Med, 2020, 23(1): 72-75. | |
| [9] | 路平, 史汶龙, 杨思雨, 等. 茯苓化学成分及药理作用研究进展[J]. 中成药, 2024, 46(4): 1246-1254. |
| LU P, SHI W L, YANG S Y, et al. Research progress on chemical components and pharmacological effects of Poria cocos[J]. Chin Tradit Pat Med, 2024, 46(4): 1246-1254. | |
| [10] | 韩永光, 谭雅兰, 张超云, 等. 牛膝化学成分和药理作用研究进展及其质量标志物(Q-Marker)预测分析[J]. 天然产物研究与开发, 2024, 36(8): 1432-1444. |
| HAN Y G, TAN Y L, ZHANG C Y, et al. Research progress on chemical components and pharmacological effects of Radix Acyranthis Bidentatue and its quality marker (Q-Marker) prediction analysis[J]. Nat Prod Res Dev, 2024, 36(8): 1432-1444. | |
| [11] | 罗懿钒, 欧阳文, 唐代凤, 等. 牛膝中皂苷和甾酮类物质基础及药理活性研究进展[J]. 中国现代中药, 2020, 22(12): 2122-2136. |
| LUO Y F, OUYANG W, TANG D F, et al. Research progress on the basis and pharmacological activity of saponins and steroids inRadix Acyranthis Bidentatue[J]. Mod Chin Med, 2020, 22(12): 2122-2136. | |
| [12] | 张燕芬. 优化益肾乌发口服液的质量标准[J]. 中国药物评价, 2017, 34(2): 100-103. |
| ZHANG Y F. Optimization of quality standard of Yishen WuFa Oral Liquid[J]. Chin J Drug Evaluation, 2017, 34(2): 100-103. | |
| [13] | 刘林红, 郭桂明. 益肾乌发口服液的质量标准探讨[J]. 北京中医药, 2011, 30(8): 626-630. |
| LIU L H, GUO G M. Discussion on the quality standard of Yishen WuFa Oral Liquid[J]. Beijing J Tradit Chin Med, 2017, 30(8): 626-630. | |
| [14] | 陆强, 徐建国, 李万红. 益肾乌发口服液质量标准研究[J]. 中国药房, 2010, 21(31): 2942-2944. |
| LU Q, XU J G, LI W H. Research on quality standard of Yishen WuFa Oral Liquid[J]. China Pharm, 2010, 21(31): 2942-2944. | |
| [15] | 李英杰, 林肖同, 高立娣, 等. 毛细管电色谱-电喷雾-飞行时间/质谱联用分离分析混合氨基酸对映体[J]. 应用化学, 2019, 36(7): 823-831. |
| LI Y J, LIN X T, GAO L D, et al. Separation and analysis of mixed amino acid enantiomers bycapillary electrochromatography-electrospray-time of flight/mass spectrometry[J]. Chin J Appl Chem, 2019, 36(7): 823-831. | |
| [16] | 孙寒, 赵宏苏, 宣自华, 等. 基于UHPLC-Q-Orbitrap-MS技术鉴定排脓散中化学成分和入血成分[J]. 中国实验方剂学杂志, 2025(8): 1-24. |
| SUN H, ZHAO H S, XUAN Z H, et al. Analyses on chemical constituents and constituents absorbed into blood of Painong Powder by UHPLC-Q-Orbitrap-MS[J]. Chin J Exp Tradit Med Formulae, 2025(8): 1-24. | |
| [17] | 李浩然, 董萍萍, 李华健, 等. 基于UHPLC-Q-Exactive Orbitrap MS/MS快速分析开心散物质基准中的化学成分[J]. 中国中药杂志, 2022, 47(4): 938-950. |
| LI H R, DONG P P, LI H J, et al. UHPLC-Q-Exactive Orbitrap MS/MS-based rapid identification of chemical components in substance benchmark of Kaixin San[J]. Chin J Tradit Chin Med, 2022, 47(4): 938-950. | |
| [18] | 孙佳, 李伟, 余秋香, 等. 基于UPLC-Q-TOF-MS/MS和网络药理学探究六味安消颗粒治疗功能性便秘的药效物质基础及作用机制[J]. 甘肃中医药大学学报, 2024, 41(2): 8-22. |
| SUN J, LI W, YU Q X, et al. To explore the pharmacodynamic material basis and mechanism of Liuwei Anxiao Keli in the treatment of functional constipation based on UPLC-Q-TOF-MS/MS and network pharmacology[J]. J Gansu Univ Chin Med, 2024, 41(2): 8-22. | |
| [19] | 罗娟敏, 肖雪, 洪流, 等. HPLC/TOF-MS和HPLC/IT-MSn联合用于补骨脂药材的化学成分分析[J]. 中草药, 2014, 45(7): 924-928. |
| LUO J M, XIAO X, HONG L, et al. Analysis on chemical constitutes in Psoraleae Fructus by combination of HPLC/TOF-MS and HPLC/IT-MSn[J]. Chin Herbal Med, 2014, 45(7): 924-928. | |
| [20] | 甘佳攀, 张旗, 陆绍铭, 等. 基于UPLC定量指纹图谱与UPLC-QE-Plus-MS/MS技术的吴茱萸(石虎)标准汤剂量值传递研究[J]. 中草药, 2024, 55(5): 1541-1552. |
| GAN J P, ZHANG Q, LU S M, et al. Study on quantity value transfer of Euodiae Fructus (Euodia rutaecarpa var. officinalis) standard decoction based on UPLC quantitative fingerprint and UPLC-QE-Plus-MS/MS technology[J]. Chin Herbal Med, 2024, 55(5): 1541-1552. | |
| [21] | 闫占宽, 张敏, 刘钦伟, 等. 五神汤化学成分鉴定及京尼平苷酸、秦皮甲素、咖啡酸、木犀草苷、β-蜕皮甾酮和毛蕊花糖苷定量检测[J]. 药物评价研究, 2023, 46(5): 1047-1056. |
| YAN Z K, ZHANG M, LIU Q W, et al. Identification of chemical constituents and content determination of geniposidic acid, aesculin, caffeic acid, luteoloside, β-ecdysterone, and verbascoside in different batches of Wushen Decoction[J]. Drug Eval Res, 2023, 46(5): 1047-1056. | |
| [22] | 韩吉, 马璐璐, 刘禹, 等. 基于液质联用技术的三黄胃笑汤化学成分的定性和定量分析[J]. 生命的化学, 2025, 45(8): 1-19. |
| HAN J, MA L L, LIU Y, et al. Qualitative and quantitative analysis of chemical components in Sanhuang Weixiao decoction based on UPLC-MS/MS[J]. Chem Life, 2025, 45(8): 1-19. |
| [1] | 南敏伦, 赵建慧, 张瀚水, 马洋, 马国花, 马鑫鑫, 赵昱玮, 赫玉芳. 基于UPLC-Q Exactive Plus-MS技术的清热化毒丸化学成分分析[J]. 应用化学, 2025, 42(9): 1209-1220. |
| [2] | 胡轩, 吴同川, 艾鑫丹, 何兴悦, 徐弘康, 郑飞, 越皓, 戴雨霖. 液质联用结合网络药理学探究少腹逐瘀汤抗宫颈癌活性机理[J]. 应用化学, 2024, 41(5): 687-702. |
| [3] | 李欣, 李念, 胡健楠, 顾晶业, 段瑶, 郭亦男, 朴东, 刘子婷, 皮子凤, 越皓. 基于超高效液相色谱-四极杆-飞行时间串联质谱联用技术的荆莲核消方化学成分分析[J]. 应用化学, 2024, 41(5): 712-727. |
| [4] | 张瀚水, 龚本义, 南敏伦, 赫玉芳, 赵昱玮, 吴丛梅, 殷玉和. UPLC-Q Exactive Plus-MS分析高粱壳化学成分及黄嘌呤氧化酶体外抑制活性筛选[J]. 应用化学, 2023, 40(11): 1587-1594. |
| [5] | 张龄予, 侯苏芯, 张文尉, 姜姗, 刘俊潼, 越皓, 张楠. 蓝靛果的化学成分及其提取分离研究进展[J]. 应用化学, 2022, 39(11): 1629-1640. |
| [6] | 李乐, 谭璐瑩, 王彩霞, 李坤, 李平亚, 刘金平, 刘云鹤. 超高效液相色谱-四极杆飞行时间质谱法鉴定西洋参果梗化学成分[J]. 应用化学, 2021, 38(3): 256-270. |
| [7] | 闫伊萌, 岳可心, 刘玉生, 陈革, 田涵雯, 刘忠英, 刘志强, 宋凤瑞, 皮子凤. 基于超高效液相色谱-四极杆-飞行时间串联质谱联用技术的黄英咳喘糖浆化学成分分析[J]. 应用化学, 2021, 38(3): 276-288. |
| [8] | 张慧娥, 侯剑峰, 王经元, 朱爽, 杜连云, 叶萍, 魏琨, 陈长宝, 李光, 王恩鹏. 人参不同部位提取物体外抗氧化活性及成分差异[J]. 应用化学, 2021, 38(11): 1531-1540. |
| [9] | 卫强, 彭喜悦. 碧桃花、叶、茎、果实挥发油成分及抗油脂氧化、抑菌作用[J]. 应用化学, 2016, 33(8): 945-950. |
| [10] | 卫强, 刘洁. 大叶黄杨叶、茎、果挥发油成分及抗病毒作用[J]. 应用化学, 2016, 33(6): 719-726. |
| [11] | 闫志慧, 姜珂, 陈立书, 朱仝飞, 陈竹, 杨永建, 王大成. 藏药柳茶叶乙醇水提取物中化学成分的鉴定[J]. 应用化学, 2014, 31(02): 237-241. |
| [12] | 曾志, 谢润乾, 谭丽贤, 张涛. 川芎水蒸气蒸馏和超临界CO2提取物化学成分的GC-MS分析鉴别[J]. 应用化学, 2011, 28(08): 956-962. |
| [13] | 刘雄民, 李伟光, 李飘英, 周永红. 蒜头果挥发油提取及化学成分分析[J]. 应用化学, 2007, 24(8): 968-970. |
| [14] | 张永科, 赵景婵, 郭治安, 张彦凤, 韩冰. 医用hfc-134a中微量杂质的定性、定量分析[J]. 应用化学, 2007, 24(11): 1346-1348. |
| [15] | 肖瑜, 鲜启明, 伏彩中, 高士祥, 孙成. 环境修复植物黑藻的化学成分[J]. 应用化学, 2006, 23(9): 949-952. |
| 阅读次数 | ||||||
|
全文 |
|
|||||
|
摘要 |
|
|||||