Chinese Journal of Applied Chemistry ›› 2025, Vol. 42 ›› Issue (11): 1510-1523.DOI: 10.19894/j.issn.1000-0518.250115
• Full Papers • Previous Articles Next Articles
Xiu-Xiu WU1, Zhi-Min LIU1, Dong YANG1, Shun MAO1, Yan-Xin WANG1, De-Hua GUO2(
), Fei XU1(
)
Received:2025-03-15
Accepted:2025-06-16
Published:2025-11-01
Online:2025-12-05
Contact:
De-Hua GUO,Fei XU
About author:xufei8135@126.comSupported by:CLC Number:
Xiu-Xiu WU, Zhi-Min LIU, Dong YANG, Shun MAO, Yan-Xin WANG, De-Hua GUO, Fei XU. Rapid and Quantitative Detection of Cypermethrin in Spinach Based on Surface-Enhanced Raman Spectroscopy Combined with Deep Learning Model[J]. Chinese Journal of Applied Chemistry, 2025, 42(11): 1510-1523.
Add to citation manager EndNote|Ris|BibTeX
URL: http://yyhx.ciac.jl.cn/EN/10.19894/j.issn.1000-0518.250115
Fig.3 (A) Collected SERS spectrum of R6G solution; (B) Raman spectra of cypermethrin standard; (C) The average spectra samples with six concentration gradients; (D) Enhanced spectral data after S-G; (E) Enhanced spectral data after MC
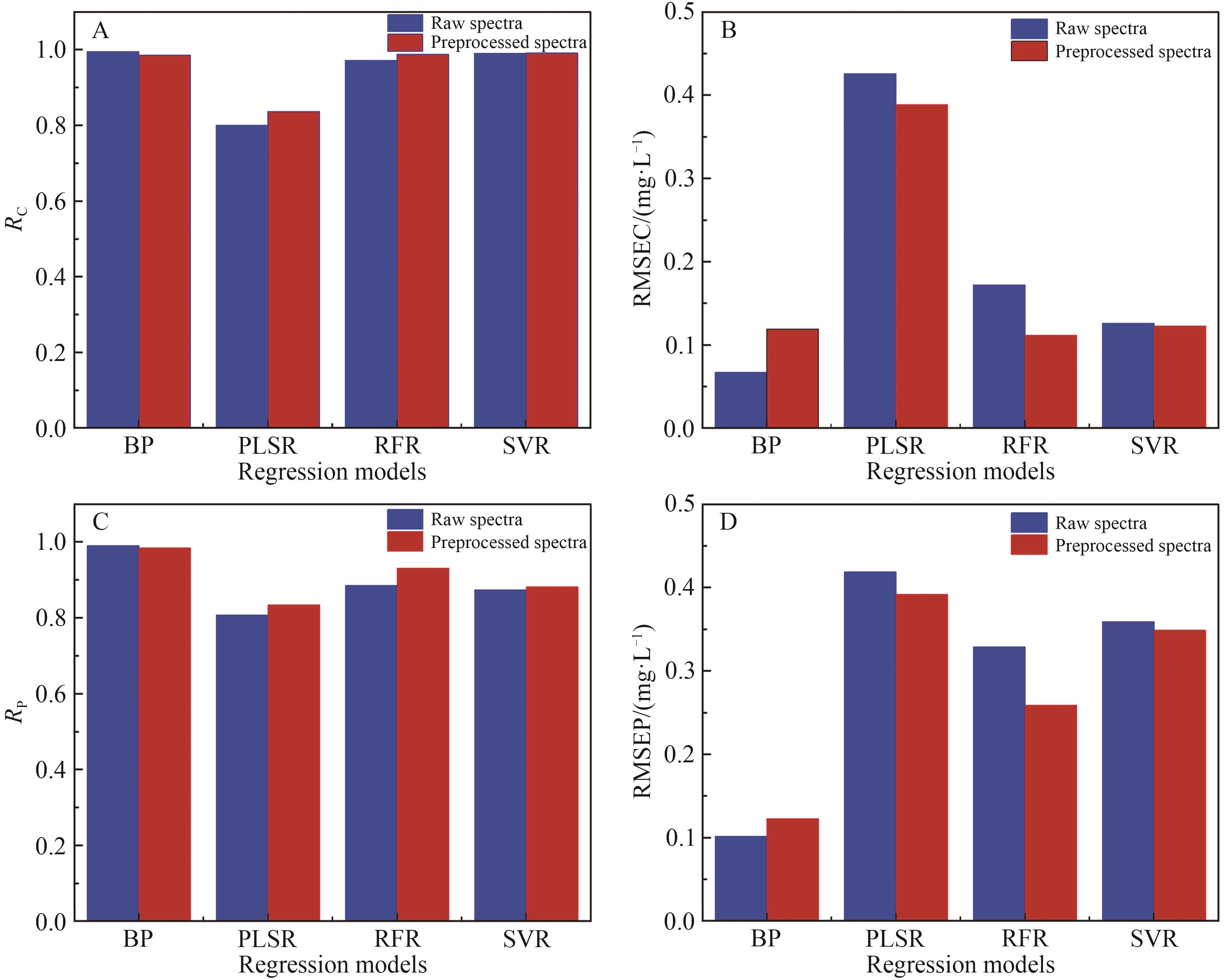
| Methods | Model | Calibration set | Prediction set | ||
|---|---|---|---|---|---|
| RC | RMSEC/(mg·L-1) | RP | RMSEP/(mg·L-1) | ||
| None | BP | 0.995 9 | 0.067 | 0.990 2 | 0.102 |
| PLSR | 0.800 7 | 0.426 | 0.807 4 | 0.419 | |
| RFR | 0.972 2 | 0.172 | 0.886 2 | 0.329 | |
| SVR | 0.991 1 | 0.126 | 0.874 6 | 0.359 | |
| S-G | BP | 0.995 9 | 0.067 | 0.985 7 | 0.123 |
| PLSR | 0.822 9 | 0.404 | 0.823 5 | 0.403 | |
| RFR | 0.983 8 | 0.115 | 0.929 5 | 0.244 | |
| SVR | 0.991 1 | 0.126 | 0.874 6 | 0.359 | |
| MC | BP | 0.995 9 | 0.067 | 0.985 7 | 0.123 |
| PLSR | 0.850 5 | 0.374 | 0.811 5 | 0.426 | |
| RFR | 0.983 6 | 0.132 | 0.937 2 | 0.249 | |
| SVR | 0.991 1 | 0.126 | 0.874 6 | 0.359 | |
| S-G+MC | BP | 0.985 9 | 0.119 | 0.984 9 | 0.123 |
| PLSR | 0.836 9 | 0.389 | 0.834 2 | 0.392 | |
| RFR | 0.988 3 | 0.112 | 0.931 3 | 0.259 | |
| SVR | 0.991 4 | 0.123 | 0.882 4 | 0.349 | |
Table 1 Prediction of cypermethrin in spinach by four models under different pretreatment methods
| Methods | Model | Calibration set | Prediction set | ||
|---|---|---|---|---|---|
| RC | RMSEC/(mg·L-1) | RP | RMSEP/(mg·L-1) | ||
| None | BP | 0.995 9 | 0.067 | 0.990 2 | 0.102 |
| PLSR | 0.800 7 | 0.426 | 0.807 4 | 0.419 | |
| RFR | 0.972 2 | 0.172 | 0.886 2 | 0.329 | |
| SVR | 0.991 1 | 0.126 | 0.874 6 | 0.359 | |
| S-G | BP | 0.995 9 | 0.067 | 0.985 7 | 0.123 |
| PLSR | 0.822 9 | 0.404 | 0.823 5 | 0.403 | |
| RFR | 0.983 8 | 0.115 | 0.929 5 | 0.244 | |
| SVR | 0.991 1 | 0.126 | 0.874 6 | 0.359 | |
| MC | BP | 0.995 9 | 0.067 | 0.985 7 | 0.123 |
| PLSR | 0.850 5 | 0.374 | 0.811 5 | 0.426 | |
| RFR | 0.983 6 | 0.132 | 0.937 2 | 0.249 | |
| SVR | 0.991 1 | 0.126 | 0.874 6 | 0.359 | |
| S-G+MC | BP | 0.985 9 | 0.119 | 0.984 9 | 0.123 |
| PLSR | 0.836 9 | 0.389 | 0.834 2 | 0.392 | |
| RFR | 0.988 3 | 0.112 | 0.931 3 | 0.259 | |
| SVR | 0.991 4 | 0.123 | 0.882 4 | 0.349 | |
Fig.4 BP neural network model results of (A) original enhanced data and (B) S-G+MC processed data; (C) Test set error distribution; (D) Prediction error percentage of BP model
Fig.5 PLSR model results of (A) original enhanced data and (B) S-G+MC processed data; RFR model results of (C) original enhanced data and (D) S-G+MC processed data; SVR model results of (E) original enhanced data and (F) S-G+MC processed data
| Actual concentration/(mg·L-1) | Detected concentration/(mg·L-1) | Recovery ratio/% | RSD/% | |||
|---|---|---|---|---|---|---|
| Proposed method | HPLC-MS | Proposed method | HPLC-MS | Proposed method | HPLC-MS | |
| 0.08 | 0.076±0.005 | 0.080±0.001 | 95.0 | 100.0 | 6.6 | 1.3 |
| 0.6 | 0.580±0.030 | 0.589±0.017 | 96.7 | 98.2 | 5.2 | 2.9 |
| 0.8 | 0.853±0.055 | 0.829±0.022 | 106.6 | 103.6 | 6.4 | 2.7 |
| 1.5 | 1.638±0.024 | 1.466±0.036 | 109.2 | 97.7 | 1.5 | 2.5 |
| 2.5 | 2.262±0.170 | 2.507±0.021 | 90.5 | 100.3 | 7.5 | 0.8 |
Table 2 Detection of cypermethrin in spinach by the proposed method
| Actual concentration/(mg·L-1) | Detected concentration/(mg·L-1) | Recovery ratio/% | RSD/% | |||
|---|---|---|---|---|---|---|
| Proposed method | HPLC-MS | Proposed method | HPLC-MS | Proposed method | HPLC-MS | |
| 0.08 | 0.076±0.005 | 0.080±0.001 | 95.0 | 100.0 | 6.6 | 1.3 |
| 0.6 | 0.580±0.030 | 0.589±0.017 | 96.7 | 98.2 | 5.2 | 2.9 |
| 0.8 | 0.853±0.055 | 0.829±0.022 | 106.6 | 103.6 | 6.4 | 2.7 |
| 1.5 | 1.638±0.024 | 1.466±0.036 | 109.2 | 97.7 | 1.5 | 2.5 |
| 2.5 | 2.262±0.170 | 2.507±0.021 | 90.5 | 100.3 | 7.5 | 0.8 |
| Methods | Pesticides | LOD/(μg·L-1) | Ref. |
|---|---|---|---|
| Banded immunoassay | Fenpropathrin | 62 | [ |
| Colorimetric sensor | Fenvalerate | 4053 | [ |
| Enzyme linked immunosorbent assay | Cypermethrin | 300 | [ |
| Lateral flow immunoassay | Cypermethrin | 50 | [ |
| Fluorescence sensor | Fenpropathrin | 0.24 | [ |
| Electrochemical sensor | Fenpropathrin | 4.63×10-3 | [ |
| SERS combined with BP | Cypermethrin | 20 | This work |
Table 3 Comparison of LOD with other detection methods for pyrethroid pesticides
| Methods | Pesticides | LOD/(μg·L-1) | Ref. |
|---|---|---|---|
| Banded immunoassay | Fenpropathrin | 62 | [ |
| Colorimetric sensor | Fenvalerate | 4053 | [ |
| Enzyme linked immunosorbent assay | Cypermethrin | 300 | [ |
| Lateral flow immunoassay | Cypermethrin | 50 | [ |
| Fluorescence sensor | Fenpropathrin | 0.24 | [ |
| Electrochemical sensor | Fenpropathrin | 4.63×10-3 | [ |
| SERS combined with BP | Cypermethrin | 20 | This work |
| [1] | GOURGOUTA M, RUMBOS C I, ATHANASSIOU C G. Residual toxicity of a commercial cypermethrin formulation on grains against four major storage beetles[J]. J Stored Prod Res, 2019, 83: 103-109. |
| [2] | SUN X, ZHAO Y, LIU L, et al. Visual whole-process monitoring of pesticide residues: an environmental perspective using surface-enhanced Raman spectroscopy with dynamic borohydride-reduced silver nanoparticles[J]. J Hazard Mater, 2024, 465: 133338 . |
| [3] | YAO T, LIU A, LIU Y, et al. Ratiometric fluorescence sensor for organophosphorus pesticide detection based on opposite responses of two fluorescence reagents to MnO[J]. Biosens Bioelectron, 2019, 145: 111705. |
| [4] | WU X, HUANG L, YANG Q, et al. Effective extraction of pyrethroid pesticides from cabbages using Fe3O4@NU-1000 and adsorption mechanism: an experimental and theoretical study[J]. Microchem J, 2024, 204: 110979. |
| [5] | JIAO T, HASSAN M M, ZHU J, et al. Quantification of deltamethrin residues in wheat by Ag@ZnO NFs-based surface-enhanced Raman spectroscopy coupling chemometric models[J]. Food Chem, 2020, 337: 127652. |
| [6] | EL-SHEIKH E S A, LI D, HAMED I, et al. Residue analysis and risk exposure assessment of multiple pesticides in tomato and strawberry and their products from markets[J]. Foods, 2023, 12(10): 1936. |
| [7] | FERREIRA A Q, SONIA C N. Multiresidue method for determination of pesticides in coconut (Cocos nucifera Linn.) endosperm by using GC-MS/MS and UHPLC-MS/MS analysis[J]. J Food Composition Anal, 2021, 97(1): 103764. |
| [8] | LI H, SHENG W, HASSAN M M, et al. Quantification of antibiotics in food by octahedral gold-silver nanocages-based SERS sensor coupling multivariate calibration[J]. Spectrochimica Acta Part A: Mol Biomol Spectrosc, 2024, 320: 124595. |
| [9] | ADADE S Y S S, LIN H, HARUNA S A, et al. SERS-based sensor coupled with multivariate models for rapid detection of palm oil adulteration with Sudan II and IV dyes[J]. J Food Compos Anal, 2022, 114: 104834. |
| [10] | ALAWADHI H, ALNAQBI M A, RAMACHANDRAN K, et al. Trace-level sensing of food toxins by flexible and cost-effective SERS sensors fabricated by pulsed-laser-deposition of gold nanoparticles on polycarbonate matrix[J]. Surf Interfaces, 2023, 40: 103016. |
| [11] | BARVEEN Y H L, WANG T, CHANG Y, et al. Ultrasensitive and reusable SERS probe for the detection of synthetic dyes in food industry through hybrid flower-shaped ZnO@Ag nanostructures[J]. J Alloys Compd, 2021, 861(1): 157952. |
| [12] | CHUESIANG P, RYU V, SIRIPATRAWAN U, et al. Aptamer-based surface enhanced Raman spectroscopy (SERS) for the rapid detection of Salmonella Enteritidis contaminated in ground beef[J]. Food Sci Technol, 2021(150): 111937. |
| [13] | XU L, XIE Y, LIN J, et al. Advancements in SERS-based biological detection and its application and perspectives in pancreatic cancer[J]. View, 2023, 5(1): 20230070. |
| [14] | WANG S, PAN R, HE W, et al. In situ surface-enhanced Raman scattering detection of biomolecules in the deep ocean[J]. Appl Surf Sci, 2023, 620: 156854. |
| [15] | QIN C, ZHANG D, WU Z, et al. Construction of an efficient molecular enrichment and magnetic separation flow with Fe3O4@Ag@COF for ratiometric SERS detection of methamidophos[J]. Chem Eng J, 2024, 496: 154177. |
| [16] | LAI H, DAI H, LI G, et al. Rapid determination of pesticide residues in fruit and vegetable using Au@AgNPs decorated 2D Ni-MOF nanosheets as efficient surface-enhanced Raman scattering substrate[J]. Sens Actuators B, 2022, 369: 132360. |
| [17] | MA L, HAN E, YIN L, et al. Simultaneous detection of mixed pesticide residues based on portable Raman spectrometer and Au@Ag nanoparticles SERS substrate[J]. Food Control, 2023, 153: 109951. |
| [18] | LIU X, PANT U, LOGAN N, et al. Non-linear responses via agglomeration and aggregation of gold nanoparticles for surface-enhanced Raman spectroscopy (SERS) coupled with chemometric analysis for chlorpyrifos detection[J]. Food Chem, 2024, 455: 139944. |
| [19] | LEE S, ZHAO Q, LEE S, et al. Two-and three-dimensional Ag-Au nanoalloying: heterogeneous building blocks enhancing near-field focusing[J]. ACS Nano, 2024, 18(43): 29880-29890. |
| [20] | GU Y, LI Y, QIU H, et al. Recent progress on noble-free substrates for surface-enhanced Raman spectroscopy analysis[J]. Coord Chem Rev, 2023, 497: 215425 . |
| [21] | LI H, GENG W, HASSAN M, et al. Rapid detection of chloramphenicol in food using SERS flexible sensor coupled artificial intelligent tools[J]. Food Control, 2021, 128(1): 108186. |
| [22] | HAJIKHANI M, HEGDE A, SNYDER J, et al. Integrating transformer-based machine learning with SERS technology for the analysis of hazardous pesticides in spinach[J]. J Hazard Mater, 2024, 470: 134208. |
| [23] | ZHAO Z P, LI Q F, ZHANG Z X, et al. Combining a parallel 2D CNN with a self-attention Dilated Residual Network for CTC-based discrete speech emotion recognition[J]. Neural Networks, 2021, 141: 52-60. |
| [24] | DENG Y, XIAO H, XU J, et al. Prediction model of PSO-BP neural network on coliform amount in special food[J]. Saudi J Biol Sci, 2019, 26(6): 1154-1160. |
| [25] | XING W, LIU X, XU C, et al. Application of artificial neural network to predict benzo[a]pyrene based on multiple quality of smoked sausage[J]. Food Sci Technol, 2022, 163: 113571. |
| [26] | WU X, YAN H, CAO Y, et al. Prediction acrylamide contents in fried dough twist based on the application of artificial neural network[J]. Food Chem: X, 2024, 24: 102007. |
| [27] | HUANG X, YOU Y, ZENG X, et al. Back propagation artificial neural network (BP-ANN) for prediction of the quality of gamma-irradiated smoked bacon[J]. Food Chem, 2024, 437: 137806. |
| [28] | JIAO T, KUTSANEDZIE F, XU J, et al. SERS-signal optimised AgNPs-plated-ZnO nanoflower-like structure synthesised for sensing applications[J]. Phys Lett A, 2019, 383(12): 1312-1317. |
| [29] | ZHU J, JIANG X, RONG Y, et al. Label-free detection of trace level zearalenone in corn oil by surface-enhanced Raman spectroscopy (SERS) coupled with deep learning models[J]. Food Chem, 2023, 414: 135705. |
| [30] | HAO T, ZHAO L, WANG D, et al. The OED-BO-RFR model for predicting CBM pressure during the pre-drainage process[J]. Geomat Nat Haz Risk, 2024, 15(1): 2399924. |
| [31] | ZHAO G, PAN X, YAN H, et al. Predicting engineering properties of controlled low-strength material made from waste soil using optimized SVR models[J]. Case Stud Constr Mater, 2024, 20: e03325. |
| [32] | LI W, LU B T, CHEN F F, et al. Host-guest complex of cypermethrin with β-cyclodextrin: a spectroscopy and theoretical investigation[J]. J Mol Struct, 2011, 990(1/2/3): 244-252. |
| [33] | CHEN X, LIU L, KUANG H, et al. A strip-based immunoassay for rapid determination of fenpropathrin[J]. Anal Methods, 2013, 5(21): 6234-6239. |
| [34] | ZHU J, YIN X, ZHANG W, et al. Simultaneous and sensitive detection of three pesticides using a functional poly(sulfobetaine methacrylate)-coated paper-based colorimetric sensor[J]. Biosensors, 2023, 13(3): 309. |
| [35] | HUANG L, ZHANG F, LI F, et al. Development of Ic-ELISA and colloidal gold lateral flow immunoassay for the determination of cypermethrin in agricultural samples[J]. Biosensors, 2022, 12(11): 1058. |
| [36] | YAO J, XU X, LIU L, et al. Gold nanoparticle-based immunoassay for the detection of bifenthrin in vegetables[J]. Food Addit Contam: Part A, 2022, 39(3): 531-541. |
| [37] | LIU M, ZHANG L, JIANG S. A facile luminescence resonance energy transfer method for detecting cyano-containing pesticides in herbal medicines[J]. Microchem J, 2020, 152(1): 104451. |
| [38] | SUN Z, LU J, ZHANG X, et al. Electrospun nanofibres containing Zn-MOF for electrochemiluminescent determination of fenpropathrin residues in fruit juices[J]. Food Chem, 2023, 405: 134950. |
| [1] | Yun-Fan CAI, Ke-Hui XU, Yao ZHAO, Zhi-Ting LI, Ling-Yun XIA, Chen-Yu WANG, Zhi-Xiao LUO, Li-Na NIU. Substrate Design of Surface-Enhanced Raman Spectroscopy and Research Progress in the Detection of Body Fluids [J]. Chinese Journal of Applied Chemistry, 2025, 42(1): 1-13. |
| [2] | Jia-Huan PEI, Xiao-Hua QI, Ming-Qiang ZOU, Yong JIN, De-Ying WANG, Yun-Jing LUO. Advances in Surface-Enhanced Raman Spectroscopy for the Detection of Veterinary Drug Residues in Foods of Animal Origin [J]. Chinese Journal of Applied Chemistry, 2024, 41(4): 459-471. |
| [3] | Zhen-Bang LIU, Shuo ZHANG, Yu BAO, Ying-Ming MA, Wei-Qi LIANG, Wei WANG, Ying HE, Li NIU. Progress of Application Research on Cheminformatics in Deep Learning [J]. Chinese Journal of Applied Chemistry, 2023, 40(3): 360-373. |
| [4] | LIU Zhi-Hao, TAN Xiao-Qing, LIANG Yong-Peng, XIA Chao, MENG Jian-Xin, LI Feng-Yu. Optesthesia Inspired Chroma Analysis for Rapid Chromatic Concentration Determination [J]. Chinese Journal of Applied Chemistry, 2022, 39(1): 196-204. |
| [5] | ZHANG Meng, CHEN Dong-Zhen, REN Yan-Wei, NING Pan. Sensing Interface Based on Nanoislandlike Sliver Film@Gold Nanotip for Surface Enhanced Raman Scattering Analysis of Dopamine [J]. Chinese Journal of Applied Chemistry, 2021, 38(7): 866-873. |
| [6] | ZHU Yuezhou,ZHANG Yuejiao,LI Jianfeng,REN Bin,TIAN Zhongqun. Surface-Enhanced Raman Spectroscopy: Applications and Perspectives [J]. Chinese Journal of Applied Chemistry, 2018, 35(9): 984-992. |
| [7] | YAN Zhaodong,LI Yang,ZHANG Tao,LIU Zhicheng,LIU Yaqing. Gold Nanorod-loaded Electrospun Fibers:Preparation and Surface-enhanced Raman Spectroscopy Performance [J]. Chinese Journal of Applied Chemistry, 2017, 34(5): 519-526. |
| Viewed | ||||||
|
Full text |
|
|||||
|
Abstract |
|
|||||