Chinese Journal of Applied Chemistry ›› 2025, Vol. 42 ›› Issue (7): 982-992.DOI: 10.19894/j.issn.1000-0518.250215

• Full Papers • Previous Articles     Next Articles

Design of the Efficient Active Spray Humidifier for Proton Exchange Membrane Fuel Cells

Yang LI1, Xing-Wang ZHAO1, Fang DING2(), Xian WANG3(), Jun-Jie GE3(), Chuan FANG1   

  1. 1.Beijing SinoHytec Co. ,Ltd. ,Beijing 100084,China
    2.School of Innovation and Entrepreneurship,Chengdu Normal University,Chengdu 611130,China
    3.State Key Laboratory of Precision and Intelligent Chemistry,School of Chemistry and Materials Science,University of Science and Technology of China,Hefei 230026,China
  • Received:2025-05-23 Accepted:2025-06-17 Published:2025-07-01 Online:2025-07-23
  • Contact: Fang DING,Xian WANG,Jun-Jie GE
  • About author:gejunjie@ustc.edu.cn
    wangxian@ustc.edu.cn
    2843690766@qq.com
  • Supported by:
    the National Key Research and Development Program of China(2023YFB4005901);the Beijing High-level Innovation and Entrepreneurship Talent Support Program for Science and Technology New Stars(20240484717);the Special Project for the Construction of High-level Talent Teams in Hebei Province(235A4401D);the Central Guidance for Local Science and Technology Development Funds Project(246Z4402G);the Special Project for Science and Technology R&D Platforms in Hebei Province(24465201D);the Project for the Introduction of High-level Talents at Chengdu Normal University(111-111191301)

Abstract:

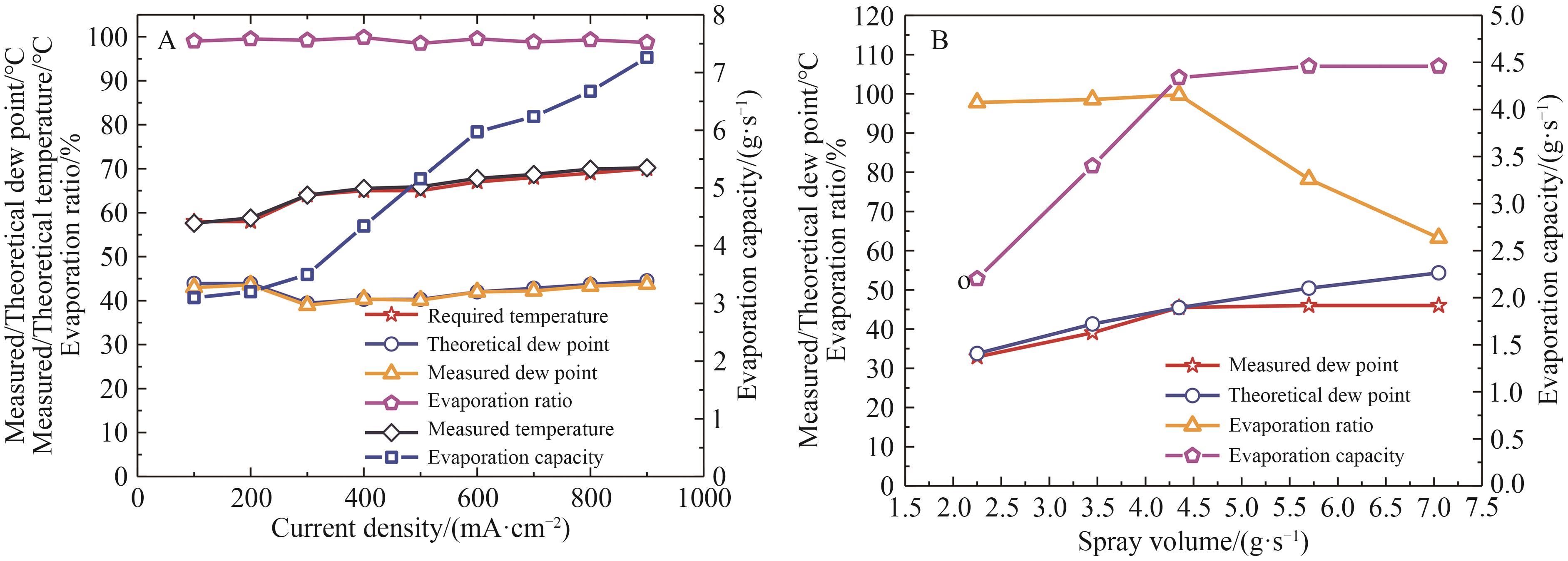
The gas humidity of proton exchange membrane fuel cells (PEMFC) has a significant impact on their performance and service life. To control the gas humidity, structural optimization was carried out as follows: first, two generations of uniform-flow atomization chambers were designed. The first generation achieved reverse dispersion of liquid droplets, and the second generation introduced a three-layer uniform-flow plate and four-zonechannels. After computational fluid dynamics(CFD) optimization, the flow error of the four-flow channels was reduced from 4.24% to 1.16%, and the pressure drop was reduced from 8.7 to 5 kPa. Secondly, a two-stage heat exchange architecture was introduced. The primary heat exchanger uses the outlet stack water temperature to preheat the liquid droplets, and the secondary heat exchanger controls the temperature of the humidified air by adjusting the inlet stack water temperature, which can avoid residual liquid water. The dew point at the outlet of the second-stage heat exchanger matches the theoretical value with an error ≤±1 ℃, covering typical working conditions of fuel cells. Combining the second-generation atomization chamber with the two-stage heat exchange architecture, the measured dew point can reach 54.34 ℃ and the measured humidity can reach 63.76 RH%, meeting the high humidity requirements of the stack. This integration of countercurrent spraying, uniform-flow structure, and two-stage heat exchange technology breaks through the limitations of passive humidification and slow response of traditional membrane tube humidifiers, providing a solution for dynamic humidity management in fuel cell systems.

Key words: Proton exchange membrane fuel cell, Spray humidifier, Atomization chamber design, Secondary heat exchange, Humidity regulation

CLC Number: