Chinese Journal of Applied Chemistry ›› 2025, Vol. 42 ›› Issue (10): 1361-1374.DOI: 10.19894/j.issn.1000-0518.250019
• Full Papers • Previous Articles Next Articles
Zi-Hang XUE, Si-Hao JIAN, Min-Hang HAN, Bo LI, Rui-Xin HAO, Chao MA, Yang MIAO(
), Feng GAO
Received:2025-01-10
Accepted:2025-08-26
Published:2025-10-01
Online:2025-10-29
Contact:
Yang MIAO
About author:Email: miaoyang198781@163.comSupported by:CLC Number:
Zi-Hang XUE, Si-Hao JIAN, Min-Hang HAN, Bo LI, Rui-Xin HAO, Chao MA, Yang MIAO, Feng GAO. Low-Cost Preparation and Performance of Fiberglass Reinforced Silica Aerogel Blanket[J]. Chinese Journal of Applied Chemistry, 2025, 42(10): 1361-1374.
Add to citation manager EndNote|Ris|BibTeX
URL: http://yyhx.ciac.jl.cn/EN/10.19894/j.issn.1000-0518.250019
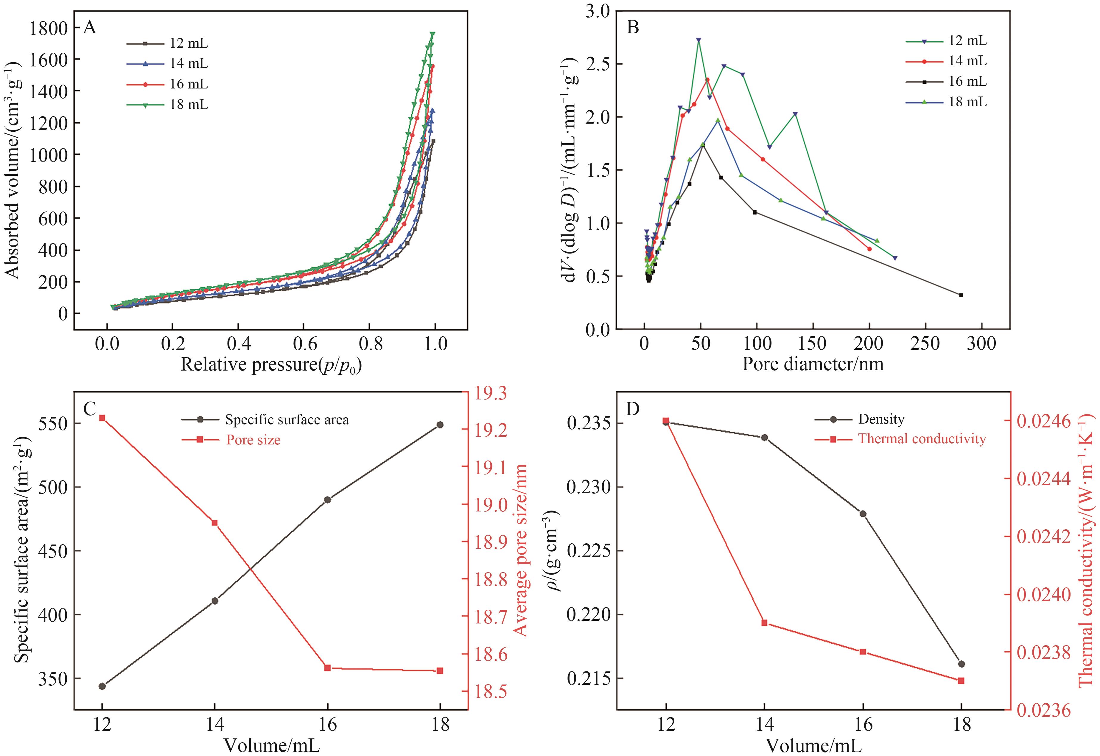
| Ingredients | Reinforcement material | Drying method | Density/(g·cm-3) | Thermal conductivity/(W·m-1·K-1) | Compressive strength/MPa | Ref. |
|---|---|---|---|---|---|---|
| Water glass | Glass fiber | Atmospheric pressure | 0.219 | 0.025 | 2.40 | This study |
| TEOS | PET fiber | Supercritical | 0.222 | 0.028 | 0.17 | [ |
| TEOS | Glass fiber | Atmospheric pressure | 0.020 | 0.98 | [ | |
| TEOS | Glass fiber | Atmospheric pressure | 0.041 | 0.68 | [ | |
| Water glass | Ceramic fiber | Atmospheric pressure | 0.216 | 0.026 3 | 5.10 | [ |
| TEOS | Glass/Carbon fiber | Atmospheric pressure | 0.031 | 2.85 | [ | |
| Water glass | Carbon fiber | Atmospheric pressure | 0.199 | 0.032 5 | 0.30 | [ |
| TEOS | Polyamide pulp | Atmospheric pressure | 0.229 | 0.026 | 1.68 | [ |
Table 1 Comparison of experimental process and sample performance
| Ingredients | Reinforcement material | Drying method | Density/(g·cm-3) | Thermal conductivity/(W·m-1·K-1) | Compressive strength/MPa | Ref. |
|---|---|---|---|---|---|---|
| Water glass | Glass fiber | Atmospheric pressure | 0.219 | 0.025 | 2.40 | This study |
| TEOS | PET fiber | Supercritical | 0.222 | 0.028 | 0.17 | [ |
| TEOS | Glass fiber | Atmospheric pressure | 0.020 | 0.98 | [ | |
| TEOS | Glass fiber | Atmospheric pressure | 0.041 | 0.68 | [ | |
| Water glass | Ceramic fiber | Atmospheric pressure | 0.216 | 0.026 3 | 5.10 | [ |
| TEOS | Glass/Carbon fiber | Atmospheric pressure | 0.031 | 2.85 | [ | |
| Water glass | Carbon fiber | Atmospheric pressure | 0.199 | 0.032 5 | 0.30 | [ |
| TEOS | Polyamide pulp | Atmospheric pressure | 0.229 | 0.026 | 1.68 | [ |
| [1] | CHARAI M, SGHIOURI H, MEZRHAB A, et al. Thermal insulation potential of non-industrial hemp (Moroccan cannabis sativa L.) fibers for green plaster-based building materials[J]. J Cleaner Prod, 2021, 292: 126064. |
| [2] | ALIFANOV O M, SALOSINA M O, BUDNIK S A, et al. Design of aerospace vehicles' thermal protection based on heat-insulating materials with optimal structure[J]. Aerospace, 2023, 10(7): 629. |
| [3] | RAZA M, AL ABDALLAH H, KOZAL M, et al. Development and characterization of polystyrene-date palm surface fibers composites for sustainable heat insulation in construction[J]. J Building Eng, 2023, 75: 106982. |
| [4] | 郝尚军, 赵振营, 郝珍. 新型建筑材料在建筑工程中的应用与发展[J]. 石材, 2024(8): 50-52. |
| HAO S J, ZHAO Z Y, HAO Z. Application and development of new building materials in construction engineering[J]. Stone, 2024(8): 50-52. | |
| [5] | REZAEI S, ZOLALI A M, JALALI A, et al. Strong, highly hydrophobic, transparent, and super-insulative polyorganosiloxane-based aerogel[J]. Chem Eng J, 2021, 413: 127488. |
| [6] | AHMED M A, MAHMOVD S A, MOHAMED A A, et al. Advances in aerogel composites for environmental remediation[M].Netherlands: Elsevier Science Direct, 2021. |
| [7] | RASHID A B, SHISHIR S I, MAHFUZ M A, et al. Silica aerogel: synthesis, characterization, applications, and recent advancements[J]. Part Part Syst Char, 2023, 40(6): 2200186. |
| [8] | YANG D, DONG S, CUI T, et al. Multifunctional carbon fiber reinforced C/SiOC aerogel composites for efficient electromagnetic wave absorption, thermal insulation, and flame retardancy[J]. Small, 2024, 20(23): 2308145. |
| [9] | 赵一帆, 宋梓豪, 崔升, 等. 超疏水聚丙烯纤维/SiO2气凝胶复合材料的制备及吸油性能[J]. 南京工业大学学报(自然科学版), 2020, 42(4): 493-499. |
| ZHAO Y F, SONG Z H, CUI S, et al. Preparation and oil adsorption properties of superhydrophobic polypropylene fiber/silica aerogels composites[J]. J Naning Technol Univ (Nat Sci Ed), 2020, 42(4): 493-499. | |
| [10] | MA J W, ZENG F R, LIN X C, et al. A photoluminescent hydrogen-bonded biomass aerogel for sustainable radiative cooling[J]. Science, 2024, 385(6704): 68-74. |
| [11] | MA K, CHEUNG Y H, KIRLIKOVALI K O, et al. Fibrous Zr‐MOF nanozyme aerogels with macro‐nanoporous structure for enhanced catalytic hydrolysis of organophosphate toxins[J]. Adv Mater, 2024, 36(10): 2300951. |
| [12] | YUE S, LI X, YU H, et al. Preparation of high-strength silica aerogels by two-step surface modification via ambient pressure drying[J]. J Porous Mater, 2021, 28: 651-659. |
| [13] | JIANG L, KATO K, MAYUMI K, et al. One-pot synthesis and characterization of polyrotaxane-silica hybrid aerogel[J]. ACS Macro Lett, 2017, 6(3): 281-286. |
| [14] | ZHAO Y, ZHONG K, LIU W, et al. Preparation and oil adsorption properties of hydrophobic microcrystalline cellulose aerogel[J]. Cellulose, 2020, 27(13): 7663-7675. |
| [15] | 张鑫源, 李淑敏, 夏晨康, 等. 不同干燥方式对SiO2气凝胶物理性能的影响[J]. 应用化工, 2022, 51(8): 2300-2305, 2310. |
| ZHANG X Y, LI S M, XIA C K, et al. Influence of different drying methods on physical properties of SiO2 aerogel[J]. Appl Chem Ind, 2022, 51(8): 2300-2305, 2310. | |
| [16] | ZHAO C, LI Y, YE W, et al. Performance regulation of silica aerogel powder synthesized by a two-step sol-gel process with a fast ambient pressure drying route[J]. J Non-Cryst Solids, 2021, 567: 120923. |
| [17] | 王亮, 辛怡, 曹永平, 等. 芳纶纤维毡增强二氧化硅气凝胶隔热材料的制备及其性能[J/OL]. 西安工程大学学报, 1-7[2025-03-04]. |
| WANG L, XIN Y, CAO Y P, et al. Preparation and properties of aramid fiber mat reinforced silica aerogel thermal insulation material[J/OL]. J Xi'an Polytechnic Univ, 1-7[2025-03-04]. | |
| [18] | 杜高明, 康大伟, 贾帅德, 等. 玄武岩-玻璃纤维/SiO2气凝胶复合材料耐高温及抗火性能研究[J]. 材料科学与工艺, 2025, 33(1): 22-30. |
| DU G M, KANG D W, JIA S D, et al. Study on high temperature resistance and fire resistance of basalt-glass fiber/SiO2 aerogel composites[J]. Mater Sci Technol, 2025, 33(1): 22-30. | |
| [19] | PENG F, JIANG Y, FENG J, et al. Thermally insulating, fiber-reinforced alumina-silica aerogel composites with ultra-low shrinkage up to 1500 ℃[J]. Chem Eng J, 2021, 411: 128402. |
| [20] | YI Z H, ZHANG X, YAN L W, et al. Super-insulated, flexible, and high resilient mullite fiber reinforced silica aerogel composites by interfacial modification with nanoscale mullite whisker[J]. Compos Part B Eng, 2022, 230: 109549. |
| [21] | HUNG W C, HORNG R S, SHIA R E. Investigation of thermal insulation performance of glass/carbon fiber-reinforced silica aerogel composites[J]. J Sol Gel Sci Technol, 2021, 97: 414-421. |
| [22] | 郭志伟, 唐振中, 孙正明, 等. 二氧化硅气凝胶的低成本制备研究进展[J]. 中国水泥, 2024(12): 48-52. |
| GUO Z W, TANG Z Z, SUN Z M, et al. Research progress on low-cost preparation of silica aerogels[J]. China Cement, 2024(12): 48-52. | |
| [23] | XIA C K, HAO M Y, LIU W H, et al. Synthesis of Al2O3-SiO2 aerogel from water glass with high thermal stability and low thermal conductivity[J]. J Sol Gel Sci Technol, 2023, 106(2): 561-571. |
| [24] | XU K, WU C, CHEN Z, et al. Anti-ablation and insulation integrated gradient quartz fiber needle felt reinforced SiO2 ceramic/aerogel composite for thermal protection[J]. Ceram Int, 2025, 51(2): 2094-2103. |
| [25] | XUE J, HAN R, LI Y, et al. Advances in multiple reinforcement strategies and applications for silica aerogel[J]. J Mater Sci, 2023, 58(36): 14255-14283. |
| [26] | LI M, CHEN X, LI X, et al. Controllable strong and ultralight aramid nanofiber-based aerogel fibers for thermal insulation applications[J]. Adv Fiber Mater, 2022, 4(5): 1267-1277. |
| [27] | ZHANG X, CHEN H, HAO Y, et al. A low-carbon route optimization method for cold chain logistics considering traffic status in China[J]. Comput Ind Eng, 2024, 193: 110304. |
| [28] | ZHOU X, LUO G, WANG H, et al. Development of a novel bamboo cellulose nanofibrils hybrid aerogel with high thermal-insulating performance for fresh strawberry cold-chain logistics[J]. Int J Biol Macromol, 2023, 229: 452-462. |
| [29] | 刘维海, 夏晨康, 张鑫源, 等. 液-液溶剂置换法制备超疏水SiO2气凝胶[J]. 硅酸盐通报, 2023, 42(6): 2233-2241. |
| LIU W H, XIA C K, ZHANG X Y, et al. Preparation of superhydrophobic SiO2 aerogel by liquid-liquid solvent replacement method[J]. Bull Chin Ceram Soc, 2023, 42(6): 2233-2241. | |
| [30] | 张延青, 李强, 张娜. SiO2气凝胶/PET保温隔热毡的制备与性能研究[J]. 合成纤维工业, 2022, 45(6): 19-23, 28. |
| ZHANG Y Q, LI Q, ZHANG N. Preparation and performance of SiO2 aerogel/PET thermal insulation felt[J]. China Synth Fiber Ind, 2022, 45(6): 19-23, 28. | |
| [31] | 李静, 孙健, 王韩, 等. 适用于建筑隔热的二氧化硅气凝胶制备与性能[J]. 新型建筑材料, 2022, 49(4): 119-123. |
| LI J, SUN J, WANG H, et al. Preparation and properties of silica aerogel suitable for building insulation[J]. New Building Mater, 2022, 49(4): 119-123. | |
| [32] | 罗丹, 龙丽娟, 秦舒浩, 等. 玻璃纤维和碳纤维增强二氧化硅气凝胶复合材料的制备及性能研究[J]. 化工新型材料, 2022, 50(4): 161-165. |
| LUO D, LONG L J, QIN S H, et al. Preparation and property of GF ang CF reinforced SiO2 aerogel composites[J]. New Chem Mater, 2022, 50(4): 161-165. | |
| [33] | 刘光武, 周斌, 倪星元, 等. 复合增强型SiO2气凝胶的一步法快速制备与性能表征[J]. 硅酸盐学报, 2015, 43(7): 934-940. |
| LIU G W, ZHOU B, NI X Y, et al. Preparation and characterization of composite SiO2 aerogel by a novel one-step modified process[J]. J Chin Ceramic Soc, 2015, 43(7): 934-940. | |
| [34] | HUNG W C, HORNG R S, SHIA R E. Investigation of thermal insulation performance of glass/carbon fiber-reinforced silica aerogel composites[J]. J Sol Gel Sci Technol, 2021, 97: 414-421. |
| [35] | ŚLOSARCZYK A. Carbon fiber-silica aerogel composite with enhanced structural and mechanical properties based on water glass and ambient pressure drying[J]. Nanomater, 2021, 11(2): 258. |
| [36] | GHICA M E, ALMEIDA C M R, FONSECA M, et al. Optimization of polyamide pulp-reinforced silica aerogel composites for thermal protection systems[J]. Polymers, 2020, 12(6): 1278. |
| [1] | GAO Jia, SONG Fujiao, CHENG Wenqiang, GE Yan, XU Qi. Catalytic Performance of Pd-Cu/ZrO2 Catalyst for Hydrogenation of Carbon Dioxide to Methanol [J]. Chinese Journal of Applied Chemistry, 2020, 37(2): 160-167. |
| [2] | Lingling LI, Shaoming YANG, Shaoqing DING, Peiling SHANG, Jie YANG, Qiang CAO, Wenling ZHA. Preparation and Application of Bisphenol-A TiO2 Gel Molecularly Imprinted Electrochemical Sensor Based on the Sensitivity-Enhancement of Gold Nanoparticles [J]. Chinese Journal of Applied Chemistry, 2018, 35(4): 484-490. |
| [3] | WAN Lu, FU Zhengbing. Preparation and Characterization of Nitrogen-doped Carbon-coated Lithium Titanate Anode for Lithium-ion Batteries [J]. Chinese Journal of Applied Chemistry, 2018, 35(1): 116-122. |
| [4] | ZOU Xiaomei, CHEN Yan, ZHU Xingwang, LIU Gaopeng, GUO Xinwei, LEI Qin, KE Xiaoxue, LI Shuaixing, HUA Yingjie, WANG Chongtai. Preparation of the Keggin Type Chromium Substituted Phosphotungstates/Titanium Dioxide Nano Film and Its Visible Photocatalytic Performance [J]. Chinese Journal of Applied Chemistry, 2016, 33(3): 320-329. |
| [5] | JIANG Limeia, ZOU Xiangyua, WEI Qinleia, SONG Qionga, c, DENG Shuanga, ZHANG Hongboa, , SU Chunhuia, b. Preparation and Properties of Fluorine Containing CaO-P2O5-SiO2-Na2O-B2O3 Glass-ceramics [J]. Chinese Journal of Applied Chemistry, 2015, 32(4): 442-446. |
| [6] | HU Qinglan. Determination of Pentachlorophenol in Human Urine by Homemade Ionic liquid Solid-phase Microextraction Coating [J]. Chinese Journal of Applied Chemistry, 2013, 30(03): 323-328. |
| [7] | CHEN Qufei1,2, PAN Xiqiang2, ZHAO Zhenbo1, YANG Xiangguang2*. Effect of synthesis method on thermal stability and oxygen storage capacity of the Ce-Zr-Al nanocomposite [J]. Chinese Journal of Applied Chemistry, 2012, 29(11): 1297-1301. |
| [8] | LI Fang1, SHUAI Changgeng1, HE Lin1, WANG Shiwei2*, YANG Xiaoniu2*. Polyurethane Composites for Water-lubricated Bearings Application [J]. Chinese Journal of Applied Chemistry, 2012, 29(01): 14-17. |
| [9] | RAO Weilan, PAN Zhiquan*, XIANG Shouxin. Preparation of Rare Earth Solid Superacid and Catalysis on the Esterification Reactions of Stearic Acid [J]. Chinese Journal of Applied Chemistry, 2011, 28(08): 907-912. |
| [10] | SU Bi-Tao*, ZHU Ping-Wu, XU Jing-Jing, ZHAO Li. Photocatalytic Property of ZnTiO3-TiO2 Nano-composite Materials [J]. Chinese Journal of Applied Chemistry, 2011, 28(01): 33-38. |
| [11] | LI Ying-Jie, HAO Xiu-Ju*, ZHANG Chun-Yu, LIANG Hui. Preparation and Application of the Poly-methyl-propyl-butyl acrylate/SiO2/TiO2 Organic-inorganic Hybrid Capillary Monolithic Column [J]. Chinese Journal of Applied Chemistry, 2010, 27(12): 1457-1461. |
| [12] | JIANG Jia-Xing, ZHAO Jian-Xi*, LIAO Xin-Huan, JIANG Rong. Studies on preparation processes of Ni-Al2O3 solar thermal absorbing film [J]. Chinese Journal of Applied Chemistry, 2010, 27(03): 358-362. |
| [13] | Wang Hualin, Yu Xibin, Wang Changyou. Preparation of Polymethyltriethoxysilane/TiO2 Ormosils [J]. Chinese Journal of Applied Chemistry, 1998, 0(5): 101-103. |
| [14] | Jing Xinli, Luo Jinheng, Zheng Maoshenga. In-situ Preparation of Poly(2-hydroxyethyl acrylate) Silicon Dioxide Composite [J]. Chinese Journal of Applied Chemistry, 1998, 0(4): 109-110. |
| [15] | He Zhiqi, Jiang Kai, Meng Jian, Ren Yufang, Su Qiang. Synthesis and Ionic Conductivity of BaCe1-xRExO3-0.5x Prepared by Sol-gel Method [J]. Chinese Journal of Applied Chemistry, 1998, 0(3): 22-25. |
| Viewed | ||||||
|
Full text |
|
|||||
|
Abstract |
|
|||||