Chinese Journal of Applied Chemistry ›› 2026, Vol. 43 ›› Issue (2): 226-234.DOI: 10.19894/j.issn.1000-0518.250165
• Full Papers • Previous Articles Next Articles
Received:2025-04-17
Accepted:2025-11-04
Published:2026-02-01
Online:2026-03-06
Contact:
Guo ZHANG
About author:zhangguo@xauat.edu.cnSupported by:CLC Number:
Rui-Tao CHAI, Guo ZHANG. Preparation and Characterization of the Electrocatalysts of Cobalt Atom Anchored on Nitrogen-Doped Porous Carbon for Efficient Oxygen Reduction Reaction[J]. Chinese Journal of Applied Chemistry, 2026, 43(2): 226-234.
Add to citation manager EndNote|Ris|BibTeX
URL: http://yyhx.ciac.jl.cn/EN/10.19894/j.issn.1000-0518.250165
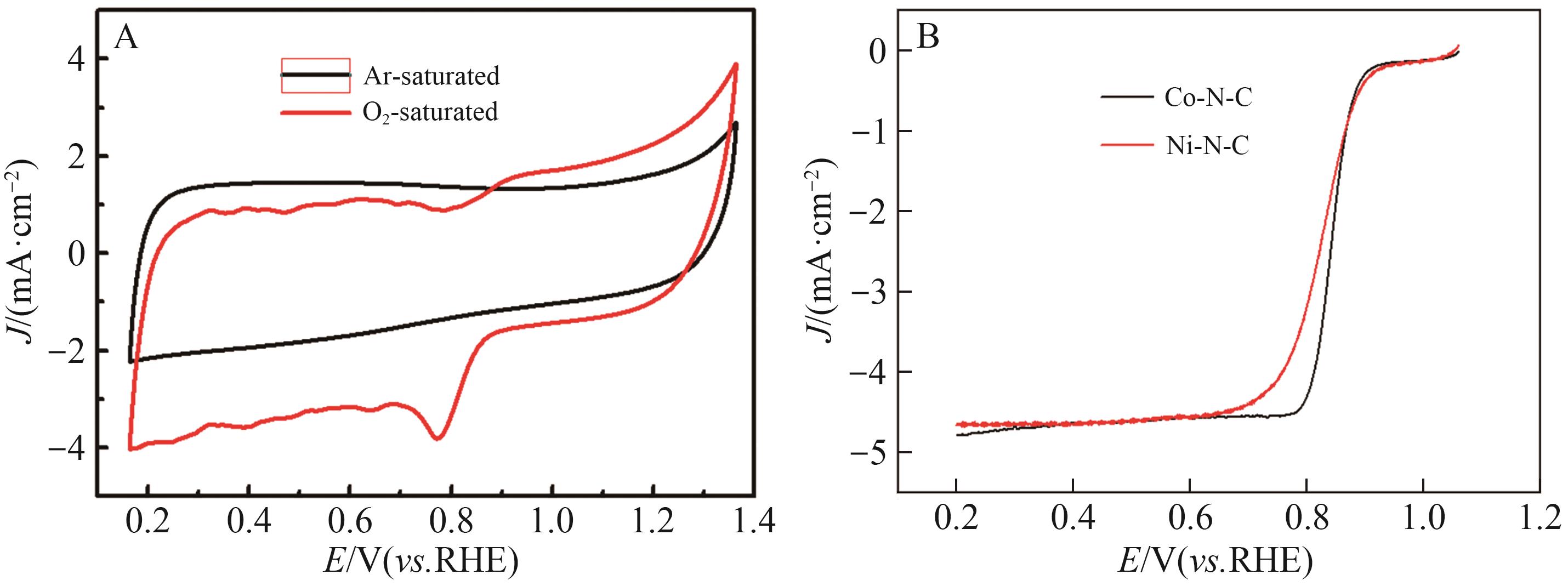
Fig.4 (A) Cyclic voltammetry curves of Co-N-C in Ar/O2-saturated 0.1 mol/L KOH at a speed of 50 mV/s; (B) Linear sweep voltammetry curve of Co-N-C and Ni-N-C in O2-saturated 0.1 mol/L KOH at a speed of 1600 r/min at a scanning rate of 5 mV/s, respectively
Fig.5 Linear sweep voltammetry curves of Co-N-C in O2-saturated 0.1 mol/L KOH and 0.1 mol/L KOH/1.0 mol/L CH3OH with methanol: (A) 5, (B) 10, (C) 15 and (D) 20 mL
Table 1 Number of electron transfer (n) of Co-N-C towards ORR
| Catalyst | Eonset/V(vs | E1/2/V(vs | Ref. |
|---|---|---|---|
Table 2 Comparison of electrocatalytic activity toward ORR with different Co-based catalysts
| Catalyst | Eonset/V(vs | E1/2/V(vs | Ref. |
|---|---|---|---|
| [1] | LIU D, FU L, HUANG X, et al. Influence of iron source type on the electrocatalytic activity toward oxygen reduction reaction in Fe-N/C for Al-air batteries[J]. J Electrochem Soc, 2018, 165: F662-F670. |
| [2] | PRIYA V K, KHARABE G P, BARIK S, et al. Co-incorporated N-doped micro-meso porous carbon as an electrocatalyst for oxygen reduction reaction and Zn-air battery[J]. Energy Fuels, 2024, 38: 7196-7207. |
| [3] | ALLWYN N, GOKUlLNATH S, SATHISH M. In-situ nanoarchitectonics of Fe/Co LDH over cobalt-enriched N-doped carbon cookies as facile oxygen redox electrocatalysts for high-rate rechargeable zinc-air batteries[J]. ACS Appl Mater Interfaces, 2024, 16: 20360-20374. |
| [4] | NIE Y, LI L, WEI Z. Recent advancements in Pt and Pt-free catalysts for oxygen reduction reaction[J]. Chem Soc Rev, 2015, 44: 2168-2201. |
| [5] | LIU R, JIANG C, GUO J, et al. Activating Ru nanoclusters for robust oxygen reduction in aqueous wide-temperature zinc-air batteries[J] Matter, 2024, 7: 4031-4045. |
| [6] | VLIET D F V D, WANG C, TRIPKOVIC D, et al. Mesostructured thin films as electrocatalysts with tunable composition and surface morphology[J]. Nat Mater, 2012, 11: 1051-1058. |
| [7] | CHEN Y, JI S, WANG Y, et al. Isolated single iron atoms anchored on N-doped porous carbon as an efficient electrocatalyst for the oxygen reduction reaction[J]. Angew Chem Int Ed, 2017, 56: 6937-6941. |
| [8] | XIE L, ZHANG X, ZHAO B, et al. Enzyme-inspired iron porphyrins for improved electrocatalytic oxygen reduction and evolution reactions[J]. Angew Chem Int Ed, 2021, 60: 7576-7581. |
| [9] | 郑锐雪, 孟庆磊, 张丽, 等. 分级孔结构的Fe-N-C催化剂用于高效电催化氧还原[J]. 应用化学, 2023, 40(8): 1187-1194. |
| ZHENG R X, MENG Q L, ZHANG L, et al. Hierarchically porous Fe-N-C catalysts for efficient electrocatalytic oxygen reduction reaction[J]. Chin J Appl Chem, 2023, 40(8): 1187-1194. | |
| [10] | LI N, SONG X, WANG L, et al. Single-atom cobalt catalysts for electrocatalytic hydrodechlorination and oxygen reduction reaction for the degradation of chlorinated organic compounds[J]. ACS Appl Mater Interfaces, 2020, 12: 24019-24029. |
| [11] | ZHAO Y, GAO L, CHEN W, et al. The S-doped cobalt porphyrin-based molecular catalysts with large conjugated meso-substituents for enhanced electrocatalytic oxygen reduction and evolution reaction[J]. J Electrochem Soc, 2021, 168: 116502. |
| [12] | DINDA S, ROY S, PATRA S C, et al. Polyaromatic hydrocarbon derivatized azo-oximes of cobalt(Ⅲ) for the ligand-redox controlled electrocatalytic oxygen reduction reaction[J]. New J Chem, 2020, 44: 3737-3747. |
| [13] | ABE Y, SATOH I, SAITO T, et al. Oxygen reduction reaction catalytic activities of pure Ni-based perovskite-related structure oxides[J]. Chem Mater, 2020, 32: 8694-8699. |
| [14] | KARIUKI N N, CANSIZOGLU M F, BEGUM M, et al. SAD-GLAD Pt-Ni@Ni nanorods as highly active oxygen reduction reaction electrocatalysts[J]. ACS Catal, 2016, 6: 3478-3485. |
| [15] | TODOROKI N, KATO T, HAYASHI T, et al. Pt-Ni nanoparticle-stacking thin film: highly active electrocatalysts for oxygen reduction reaction[J]. ACS Catal, 2015, 5: 2209-2212. |
| [16] | YANG J, LI J, DING R, et al. Kinetic effects of temperature on Fe-N-C catalysts for 2e- and 4e- oxygen reduction reactions[J]. J Electrochem Soc, 2021, 168: 096502. |
| [17] | BAI J, ZHANG K, GAO J, et al. Co-NC catalyst with rich coordinated nitrogen and hierarchical porous structure for oxygen reduction reaction[J]. J Alloy Compd, 2024, 992: 174599. |
| [18] | LI P, QI Z, YAN D, Rare earth Er-Nd dual single-atomic catalysts for efficient visible-light induced CO2 reduction to CnH2 n+1OH (n=1, 2)[J]. Angew Chem Int Ed, 2024, 63: e202411000. |
| [19] | JASINSKI R. A new fuel cell cathode catalyst[J]. Nature, 1964, 201: 1212-1213. |
| [20] | LI M, BO X, ZHANG Y, et al. Comparative study on the oxygen reduction reaction electrocatalytic activities of iron phthalocyanines supported on reduced graphene oxide, mesoporous carbon vesicle, and ordered mesoporous carbon[J]. J Power Sources, 2014, 264: 114-122. |
| [21] | REN C, LI H, LI R, et al. Electrocatalytic study of a 1,10-phenanthroline-cobalt(Ⅱ) metal complex catalyst supported on reduced graphene oxide towards oxygen reduction reaction[J]. RSC Adv, 2016, 6: 33302-33307. |
| [22] | WEI Y, LI Y, FENG L, et al. Effects of electrolyte pH on oxygen reduction properties using a cobalt porphyrin-coated carbon composite[J]. Electrochim Acta, 2024, 489: 144293. |
| [23] | CHEN S, LUO T, LI X, et al.Identification of the highly active Co-N4 coordination motif for selective oxygen reduction to hydrogen peroxide[J]. J Am Chem Soc, 2022, 144: 14505-14516. |
| [24] | LV M, CUI C, HUANG N, et al. Precisely engineering asymmetric atomic CoN4 by electron donating and extracting for oxygen reduction reaction[J]. Angew Chem Int Ed, 2024, 63: e202315802. |
| [25] | JIN X, FU J, ZHAO C, et al. FeN4- and CoN4-centered transition metallomacrocyles as highly efficient non-noble metal electrocatalysts for oxygen reduction reaction[J]. J Electroanal Chem, 2024, 967: 118398. |
| [26] | YANG H, LI Z, KOU S, et al. A complex-sequestered strategy to fabricate Fe single-atom catalyst for efficient oxygen reduction in a broad pH-range[J]. Appl Catal B-Environ, 2020, 278: 119270. |
| [27] | DENG L, QIU L, HU R, et al. Restricted diffusion preparation of fully-exposed Fe single-atom catalyst on carbon nanospheres for efficient oxygen reduction reaction[J]. Appl Catal B-Environ, 2022, 305: 121058. |
| [28] | YE W, YANG Y, ARIF M, et al. Fe, Mo-N/C hollow porous nitrogen-doped carbon nanorods as an effective electrocatalyst for N2 reduction reaction[J]. ACS Sustainable Chem Eng, 2020, 8: 15946-15952. |
| [1] | Li-Hui ZHENG, Bo-Ao DU. Preparation of Porous Carbon Materials Derived from Rhus typhina Leaves and Their Electrochemical Properties [J]. Chinese Journal of Applied Chemistry, 2025, 42(7): 945-954. |
| [2] | Zhao-Hui HAN, Liang MENG, Chen QIN, Hai-Liang CAO, Ying HOU. Controllable Construction of Porous Carbon Microspheres for Sodium-Ion Batteries [J]. Chinese Journal of Applied Chemistry, 2024, 41(9): 1333-1341. |
| [3] | Yuan-Jie LI, Bing-Bing FAN, Jun-Li ZHANG, Yan-Mei ZHOU. Research Progress in the Application of Amino Acid Ionic Liquids to Energy Storage and Biomass Resource Utilization [J]. Chinese Journal of Applied Chemistry, 2024, 41(3): 391-404. |
| [4] | Er-Gui LUO, Tao TANG, Yi WANG, Jun-Ming ZHANG, Yu-Hong CHANG, Tian-Jun HU, Jian-Feng JIA. Progress on Tuning the Geometric and Electronic Structure of Precious Metal Catalysts for Hydrogen Peroxide Production via Two-Electron Oxygen Reduction [J]. Chinese Journal of Applied Chemistry, 2023, 40(8): 1063-1076. |
| [5] | Yi-Ning DONG, He LI, Xue GONG, Ce HAN, Ping SONG, Wei-Lin XU. Research Progress of Non-Pt-Based Catalysts in Cathode Oxygen Reduction Reaction of Proton Exchange Membrane Fuel Cells [J]. Chinese Journal of Applied Chemistry, 2023, 40(8): 1077-1093. |
| [6] | Rui-Xue ZHENG, Qing-Lei MENG, Li ZHANG, Chang-Peng LIU, Wei XING, Mei-Ling XIAO. Hierarchically Porous Fe-N-C Catalysts for Efficient Electrocatalytic Oxygen Reduction Reaction [J]. Chinese Journal of Applied Chemistry, 2023, 40(8): 1187-1194. |
| [7] | Lian-Cheng HUI, Jian-Xing ZHUANG, Shun XIAO, Mei-Ping LI, Meng-Yuan JIN, Qing LYU. Nickel-Nitrogen-Doped Graphdiyne as an Efficient Catalyst for Oxygen Reduction [J]. Chinese Journal of Applied Chemistry, 2023, 40(8): 1205-1213. |
| [8] | Ding ZHANG, Wei-Wei YANG, Song-Song MIAO, Yi SU. Au Nanoparticles Confined in N-Doped Porous Carbon for Detection of Chlorine Dioxide in Liquid Phase [J]. Chinese Journal of Applied Chemistry, 2023, 40(11): 1572-1580. |
| [9] | Qiao-Zhi GUO, Zhen-Hua YANG, Yue-Xia ZHANG, Ya-Ting MENG, Yu-Juan CAO, Xuan-Sen SUN, Qi-Qi ZHANG, Shao-Min SHUANG, Chuan DONG. Synthesis and Applications of Graphene Quantum Dots Derived from Citric Acid [J]. Chinese Journal of Applied Chemistry, 2022, 39(6): 888-899. |
| [10] | Dan WANG, Xian-Biao HOU, Xing-Kun WANG, Zhi-Cheng LIU, Huan-Lei WANG, Ming-Hua HUANG. Research Progress of Carbon‑Encapsulated Iron‑Based Nanoparticles Electrocatalysts for Zinc‑Air Batteries [J]. Chinese Journal of Applied Chemistry, 2022, 39(10): 1488-1500. |
| [11] | He LI, Gong LI, Xue GONG, Ming-Bo RUAN, Ce HAN, Ping SONG, Wei-Lin XU. Research on Performance Decay Mechanism of Pt/C Catalyst in Long‑Term ORR Test [J]. Chinese Journal of Applied Chemistry, 2022, 39(10): 1564-1571. |
| [12] | LI Gong, JIN Long-Yi, YAO Peng-Fei, LIU Cong, XU Wei-Lin. Controllability Design of High Performance Oxygen Reduction Catalysts Supported by Platinum Nanoparticles Loaded on Mesoporous Carbon [J]. Chinese Journal of Applied Chemistry, 2021, 38(12): 1639-1646. |
| [13] | LI Lin, REN Huimin, WEI Bohui, LI Jun, WANG Jie, LI Hui, YAO Chenzhong. V-N Co-doped Mesoporous Carbon Nanomaterials as Catalysts for Artificial N2 Reduction [J]. Chinese Journal of Applied Chemistry, 2020, 37(8): 930-938. |
| [14] | WEI Zhenye, MENG Junling, WANG Haocong, ZHANG Wenwen, LIU Xiaojuan, MENG Jian. Improving the Electrocatalytic Activity of La2NiO4+δ Cathode by Surface Modification with Conformal Heterojunction [J]. Chinese Journal of Applied Chemistry, 2020, 37(8): 939-951. |
| [15] | XU Xiaolong, WANG Suijun, JIN Yi, WANG Hao. Mesoporous Carbon Matrix Suppressing Dendritic Growth of Lithium Battery Anode [J]. Chinese Journal of Applied Chemistry, 2020, 37(6): 703-708. |
| Viewed | ||||||
|
Full text |
|
|||||
|
Abstract |
|
|||||
