Chinese Journal of Applied Chemistry ›› 2026, Vol. 43 ›› Issue (1): 96-107.DOI: 10.19894/j.issn.1000-0518.240278

• Full Papers • Previous Articles     Next Articles

Facile Synthesis of Cyclohexanone Oxime via Solvent-Free Catalytic Oxidation of Cyclohexylamine Using Phosphorus-Modified TiO2/SBA-15

Xiao-Peng DENG, Shui-Lin LIU(), Yuan-Peng LI, Shan-Tong ZHANG   

  1. School of Chemical and Environmental Engineering,Hunan Institute of Technology,Hengyang 421002,China
  • Received:2024-08-28 Accepted:2025-01-20 Published:2026-01-01 Online:2026-01-26
  • Contact: Shui-Lin LIU
  • About author:shuilin89@126.com
  • Supported by:
    the Research Foundation of Education Bureau in Hunan Province(22A0631);Natural Science Foundation in Hunan Province(2024JJ7127);Hunan Province College Students' Innovation and Entrepreneurship Training Program Project(S202411528205);Hunan Province First-Class Undergraduate Major Construction Project(DS2002)

Abstract:

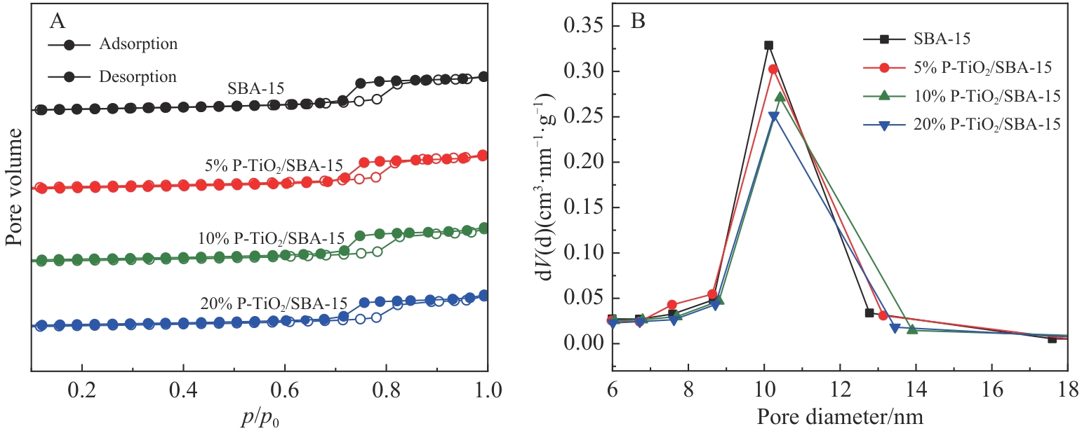
A highly efficient P-TiO2/SBA-15catalyst using titanium butoxide and phosphoric as raw materials was synthesized by liquid phase hydrolysis method, and the physio-chemical properties of the catalysts were characterized by X-ray photoelectron spectroscopy (XPS), fourier transform infrared spectroscopy (FT-IR), transmission electron microscope (TEM), X-ray powder diffraction (XRD), and N2 adsorption-desorption specific surface analyzer (BET) characterization techniques. The catalytic performance of P-TiO2/SBA-15 in the solvent-free oxidation of cyclohexylamine to cyclohexanone oxime was further studied. And the reaction conditions such as temperature and pressure were systematically optimized. Furthermore, a probable dual pathway mechanism of cyclohexylamine catalytic oxidation was also suggested. The results indicated that surface modified P-TiO2 nanoparticles could achieve high dispersion loading on SBA-15, which was beneficial for improving its catalytic efficiency. The best catalytic effect was achieved when the P-TiO2 loading was 10%. Under the premise of equal loading of active components, the 10% P-TiO2/SBA-15 composite exhibited significant catalytic performance advantages. Compared to the unloaded P-TiO2, the catalytic conversion efficiency of cyclohexylamine increased by 3.2 times to 68.3%, and the selectivity of the target product cyclohexanone oxime increased by 15.3% simultaneously. Under standardized reaction conditions (90 ℃, 1.0 MPa, 4 h), the efficient conversion could be achieved using 0.3 g of composite catalyst, confirming the dispersion strengthening effect of ordered mesoporous carriers on active components. In addition, the titanium hydroxyl groups on the surface of P-TiO2/SBA-15 were the active centers for catalytic oxidation of cyclohexylamine. The method provides a novel and green route for the highly efficient preparation of cyclohexanone oxime, and has certain prospects for industrial applications.

Key words: Cyclohexanone oxime, Solvent-free, Catalytic oxidation, Cyclohexylamine, P-TiO2

CLC Number: