Chinese Journal of Applied Chemistry ›› 2026, Vol. 43 ›› Issue (2): 259-274.DOI: 10.19894/j.issn.1000-0518.250107

• Full Papers • Previous Articles     Next Articles

Preparation and Properties of Modified Polybenzimidazole Solvent Resistant Nanofiltration Membranes

Li-Na JIAO, Chen-Yu WANG, Yu-Ting JIANG, Miao-Miao HE, Dong-Ju CHEN()   

  1. School of Chemistry and Chemical Engineering,Liaoning Normal University,Dalian 116029,China
  • Received:2025-03-14 Accepted:2025-06-24 Published:2026-02-01 Online:2026-03-06
  • Contact: Dong-Ju CHEN
  • About author:Dongjuchen_1978@lnnu.edu.cn
  • Supported by:
    the National Natural Science Foundation of China(22075121);the Open Project of State Key Laboratory of Fine Chemicals, Dalian University of Technology(KF2205)

Abstract:

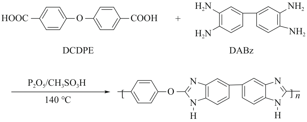
With the continuous development of our country's industry, more and more organic waste liquid has been produced. Therefore, the separation of solutes from organic solutions and the recovery of solvents have attracted extensive attention. Compared with traditional separation technologies, nanofiltration has been gradually applied to organic solutions due to its advantages of mild operating conditions and low energy consumption, but it is still a major challenge to develop nanofiltration membranes that can exist stably in organic solvents and have good separation performance. In this study, FeCl3·6H2O and ZnSO4·7H2O solutions were selected as cross-linking agents to cross-link with polybenzimidazole (OPBI) membranes, and high-performance modified OPBI solvent-resistant nanofiltration membranes were prepared. The morphology and structure of the nanofiltration membranes before and after modification as well as the separation performance were investigated. The experimental results showed that the separation performance of all modified membranes was significantly improved compared with the original OPBI membranes. For example, the retention of rose bengal (RB) in isopropanol (IPA) by the crosslinked OPBI membranes all reached more than 99%. Crosslinked membranes also have good application prospects in drugs and food, with excellent retention of tetracycline in IPA and L-α-lecithin in dichloromethane (DCM). In addition, the crosslinked membranes also have excellent stability in organic solvents and show good stability in strong polar solvents such as N,N-dimethylformamide (DMF) and N,N-dimethylacetamide (DMAc).

Key words: Polybenzimidazole, Solvent resistant nanofiltration, Crosslinked, Metal ions, Solvent stability

CLC Number: