Chinese Journal of Applied Chemistry ›› 2026, Vol. 43 ›› Issue (3): 347-359.DOI: 10.19894/j.issn.1000-0518.250388
• Full Papers • Previous Articles Next Articles
Ze-Zhi CHEN1,2,3, Yi-Xuan GUO1,2,3, Hui-Min LI1,3, Ran PANG1,3, Da LI1,3, Li-Hong JIANG1,3, Аliaksandr MALIAREVICH3,4, Su ZHANG1,2,3(
)
Received:2025-10-10
Accepted:2026-01-08
Published:2026-03-01
Online:2026-03-26
Contact:
Su ZHANG
About author:zhangsu@ciac.ac.cnSupported by:CLC Number:
Ze-Zhi CHEN, Yi-Xuan GUO, Hui-Min LI, Ran PANG, Da LI, Li-Hong JIANG, Аliaksandr MALIAREVICH, Su ZHANG. Effect of Flux and Host Modification on the Properties of Y3Al5O12∶Dy3+ for Optical Thermometry[J]. Chinese Journal of Applied Chemistry, 2026, 43(3): 347-359.
Add to citation manager EndNote|Ris|BibTeX
URL: http://yyhx.ciac.jl.cn/EN/10.19894/j.issn.1000-0518.250388
Fig.1 (A) XRD patterns of YAG∶xDy3+ (x=0.01, 0.02, 0.04, 0.06, 0.08, 0.10) samples; (B) Rietveld-refined XRD pattern of YAG∶Dy3+ phosphors (the inset shows the crystal structure of YAG∶Dy3+, where the yellow, purple, and blue spheres represent Al, Y, and O atoms, respectively)
| Data | YAG∶Dy3+ |
|---|---|
| Chemical formula | Y3Al5O12∶0.04Dy3+ |
| Crystal system | cubic |
| Space group | Ia3d |
| α, β, γ/(°) | α=β=γ=90 |
| a/nm | 1.200 626 |
| b/nm | 1.200 626 |
| c/nm | 1.200 626 |
| V/nm3 | 1.730 705 |
| Rwp/% | 4.33 |
| Rp/% | 3.19 |
| χ2 | 1.35 |
Table 1 Rietveld refinement data of YAG∶Dy3+ phosphor
| Data | YAG∶Dy3+ |
|---|---|
| Chemical formula | Y3Al5O12∶0.04Dy3+ |
| Crystal system | cubic |
| Space group | Ia3d |
| α, β, γ/(°) | α=β=γ=90 |
| a/nm | 1.200 626 |
| b/nm | 1.200 626 |
| c/nm | 1.200 626 |
| V/nm3 | 1.730 705 |
| Rwp/% | 4.33 |
| Rp/% | 3.19 |
| χ2 | 1.35 |
Fig.5 (A) Temperature-dependent PL spectra of YAG∶Dy3+ phosphors; (B) Intensity changes of the emission peaks of YAG∶Dy3+ phosphors at 456 and 483 nm in the temperature range of 298~1073 K; (C) Schematic diagram of the luminescence energy levels of Dy3+ ions; (D) Schematic diagram of the configurational coordinate of Dy3+
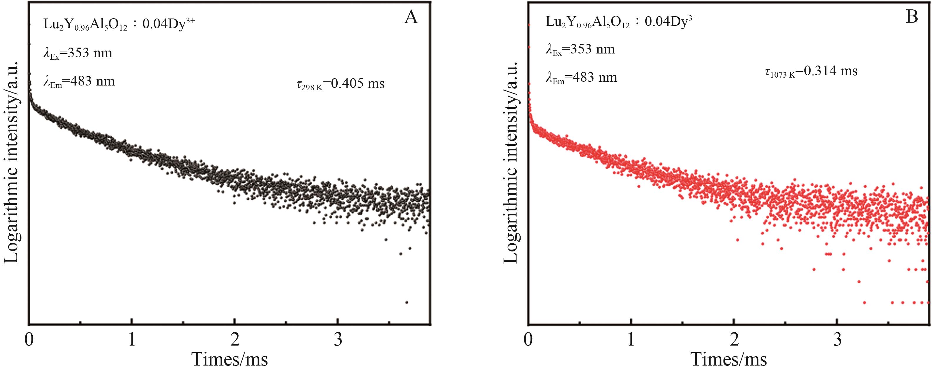
Fig.8 (A) PL spectra of YAG∶Dy3+ phosphors after matrix modification; (B) Temperature-dependent luminescence curves of Lu2Y0.96Al5O12∶0.04Dy3+ phosphors in the temperature range of 298~1073 K
Fig.9 (A,B) FIR fitting curves of YAG∶Dy3+(H3BO3) phosphors and their corresponding thermometric absolute sensitivity (Sa) and relative sensitivity (Sr) values; (C,D) FIR fitting curves of Lu2Y0.96Al5O12∶0.04Dy3+ phosphors and their Sa and Sr
| Materials | Temperature range/K | Sr-max/(%·K-1) | Ref. |
|---|---|---|---|
| YAG∶Dy3+(H3BO3) | 298~1 073 | 0.731 7 | This work |
| Lu2Y0.96Al5O12∶0.04Dy3+ | 298~1 073 | 0.748 3 | This work |
| YAG∶Dy3+ | 293~1 700 | 0.73 | [ |
| SrLaGaO4∶Eu3+/Dy3+ | 298~423 | 0.61 | [ |
| MgAl2O4∶Dy3+/Eu3+ | 303~420 | 0.24 | [ |
| Sr3Ga2Ge4O14∶Dy3+ | 298~473 | 0.61 | [ |
Table 2 Sensitivity and temperature measurement range of different materials
| Materials | Temperature range/K | Sr-max/(%·K-1) | Ref. |
|---|---|---|---|
| YAG∶Dy3+(H3BO3) | 298~1 073 | 0.731 7 | This work |
| Lu2Y0.96Al5O12∶0.04Dy3+ | 298~1 073 | 0.748 3 | This work |
| YAG∶Dy3+ | 293~1 700 | 0.73 | [ |
| SrLaGaO4∶Eu3+/Dy3+ | 298~423 | 0.61 | [ |
| MgAl2O4∶Dy3+/Eu3+ | 303~420 | 0.24 | [ |
| Sr3Ga2Ge4O14∶Dy3+ | 298~473 | 0.61 | [ |
| [1] | CHI F F, ZHANG J R, ZHENG Y N, et al. Luminescent properties and temperature sensing of Mn4+/Tb3+ doped CaAl2Si2O8 phosphors[J]. Ceram Int, 2025, 51(2): 2556-2565. |
| [2] | WANG Z Y, FU Z L, SHENG T Q, et al. Enhanced temperature sensing properties in LiYGeO4∶Eu3+ phosphors via Bi3+ doping[J]. J Lumin, 2024, 270: 120554. |
| [3] | LI Y Q, YANG J, WANG M W, et al. Tm3+/Yb3+ codoped CaGdAlO4 phosphors for wide-range optical temperature sensing[J]. J Lumin, 2022, 248: 118935. |
| [4] | LIU X, SHI S Q, YANG K, et al. Temperature sensing characteristics of Bi3+/Eu3+ co-activated SrGa2B2O7: phosphor for dual-mode optical thermometry[J]. J Alloys Compd, 2021, 879: 160247. |
| [5] | HAN B J, ZHU J B, CHU C, et al. Sm3+-Mn4+ activated Sr2GdTaO6 red phosphor for plant growth lighting and optical temperature sensing[J]. Sens Actuator A-Phys, 2023, 349: 114089. |
| [6] | TANG H, ZHAO X Y, QIN Y, et al. Unusual Tm3+ sensitization-induced white-emitting and thermostable improvement in Ba2Y2Ge4O13∶Dy3+ phosphor for solid-state lighting and optical thermometry[J]. Prog Solid State Chem, 2024, 75: 100477. |
| [7] | QIU L T, ZHANG Q, LIAO Z C, et al. The temperature imaging study based on the time-resolved luminescence measurement of Mn4+-doped Lu3Al5O12 phosphor[J]. Laser Photonics Rev, 2025, 19(21): e00246. |
| [8] | QUAN Y K, YIN Q Y, CHENG Z, et al. Optimization method of working wavelengths and bandwidths for high precision phosphor thermometry at high temperature[J]. Int J Therm Sci, 2025, 210: 109649. |
| [9] | SUN C M, XU C C, WANG K, et al. High temperature sensing performance based on optical thermometry in ZnAl2O4∶Eu3+-ZnTiO3∶Mn4+ mixed composites[J]. Ceram Int, 2024, 50(13): 22544-22552. |
| [10] | HERTLE E, CHEPYGA L, BATENTSCHUK M, et al. Influence of codoping on the luminescence properties of YAG∶Dy for high temperature phosphor thermometry[J]. J Lumin, 2017, 182: 200-207. |
| [11] | NILSSON S, FEUK H, RICHTER M. High temperature thermographic phosphors YAG∶Tm; Li and YAG∶Dy in reduced oxygen environments[J]. J Lumin, 2023, 256: 119645. |
| [12] | YAO Q, HU P, SUN P, et al. YAG∶Ce3+ transparent ceramic phosphors brighten the next-generation laser-driven lighting[J]. Adv Mater, 2020, 32(19): 1907888. |
| [13] | SILVEIRA W S, NASCIMENTO P A M, SILVA A J S, et al. Luminescent properties and energy transfer mechanism from Tb3+ to Eu3+ doped in Y3Al5O12 phosphors[J]. J Alloys Compd, 2020, 822: 153651. |
| [14] | CHEN D Q, LIU S, ZHOU Y, et al. Dual-activator luminescence of RE/TM∶Y3Al5O12 (RE=Eu3+, Tb3+, Dy3+; TM=Mn4+, Cr3+) phosphors for self-referencing optical thermometry[J]. J Mater Chem C, 2016, 4(38): 9044-9051. |
| [15] | JIANG L P, JIANG X, XIE J H, et al. Structural induced tunable NIR luminescence of (Y,Lu)3(Mg,Al)2(Al,Si)3O12∶Cr3+ phosphors[J]. J Lumin, 2022, 247: 118911. |
| [16] | BARAN M, KISSABEKOVA A, KRASNIKOV A, et al. Bi3+-doped garnets as possible ultraviolet persistent phosphors[J]. Opt Mater, 2023, 137: 113584. |
| [17] | ZHANG Z W, LI J H, YANG N, et al. A novel multi-center activated single-component white light-emitting phosphor for deep UV chip-based high color-rendering WLEDs[J]. Chem Eng J, 2020, 390: 124601. |
| [18] | SHEN X T, LI M H, LIU Q S, et al. Water-resistant SrAl2O4∶Eu2+,Dy3+ phosphor with extended afterglow duration[J]. Adv Funct Mater, 2025: e15541. |
| [19] | HOMAYONI H, SAHI S, MA L, et al. X-ray excited luminescence and persistent luminescence of Sr2MgSi2O7∶Eu2+,Dy3+ and their associations with synthesis conditions[J]. J Lumin, 2018, 198: 132-137. |
| [20] | XUE J P, YU Z K, NOH H M, et al. Designing multi-mode optical thermometers via the thermochromic LaNbO4∶Bi3+/Ln3+ (Ln=Eu, Tb, Dy, Sm) phosphors[J]. Chem Eng J, 2021, 415: 128977. |
| [21] | DEWANGAN P, BISEN D P, BRAHME N, et al. Influence of Dy3+ concentration on spectroscopic behaviour of Sr3MgSi2O8∶Dy3+ phosphors[J]. J Alloys Compd, 2020, 816: 152590. |
| [22] | WANG Z B, XU J, JU Z H, et al. Novel white-emitting afterglow phosphor Na2CaSn2Ge3O12∶Dy3+: preparation, photoluminescence, and phosphorescence properties[J]. J Alloys Compd, 2021, 856: 157230. |
| [23] | DAI W B, HUANG K, LI H, et al. Study on the structure and optical properties of phosphor Ca3La3(BO3)5∶Dy3+ for potential application in temperature sensing[J]. J Lumin, 2020, 227: 117529. |
| [24] | LONG S C, TIAN M F, ZHANG D, et al. Achieving high sensing sensitivity in a Dy3+ doped garnet phosphor toward optical thermometry[J]. J Mater Chem C, 2024, 12(48): 19536-19544. |
| [25] | WANG H H, MAO F F, LIU Y J, et al. Effect of fluxes on luminescence properties of color-tunable Ba1.3Ca0.7SiO4∶Eu2+,Mn2+ phosphor for near-ultraviolet white-LEDs[J]. Mater Res Bull, 2020, 125: 110808. |
| [26] | LI B W, ZHANG J H, ZHANG M, et al. Effects of SrCl2 as a flux on the structural and luminescent properties of SrAl2O4∶Eu2+,Dy3+ phosphors for AC-LEDs[J]. J Alloys Compd, 2015, 651: 497-502. |
| [27] | PARK K, KIM H, GWON S Y, et al. Photoluminescence improvement of Lu3Al5O12∶Ce3+ phosphors by controlling synthesizing temperature and adding fluoride fluxes[J]. Ceram Int, 2022, 48(22): 33848-33860. |
| [28] | XIE A, SHI Y, WANG Y W. Effects of flux on crystal structure and luminescent properties of nitroxides phosphors[J]. Sci China Phys Mech, 2014, 57(12): 2228-2234. |
| [29] | XUE H L, YANG M P, SUN J J, et al. Study on the flux for SrAl2O4∶Eu2+,Dy3+ phosphor preparation used in fluorescent fiber[J]. Ceram Int, 2024, 50(1): 1137-1146. |
| [30] | BINDHU A, NASEEMABEEVI J I, GANESANPOTTI S. Insights into the crystal structure and photophysical response of Dy3+ doped Li3Y3Te2O12 for ratiometric temperature sensing[J]. J Sci Adv Mater Dev, 2022, 7(2): 100444. |
| [31] | YU Z Q, LI X D, WANG J, et al. Ratiometric optical temperature sensor with wide range and high sensitivity based on the emission of Dy3+ ion-doped Ca5(PO4)2SiO4 phosphor[J]. Mater Today Chem, 2023, 33: 101739. |
| [32] | GOPAL R, KUMAR A, MANAM J. Enhanced photoluminescence and abnormal temperature dependent photoluminescence property of SrWO4∶Dy3+ phosphor by the incorporation of Li plus ion[J]. Mater Chem Phys, 2021, 272: 124920. |
| [33] | SONG J T, LI W T, CHEN Y, et al. Dy3+-doped niobate phosphor based on charge transfer band red-shift effect: luminescence thermal stability and temperature sensing performance[J]. J Alloys Compd, 2024, 1009: 176899. |
| [34] | WANG B C, SUN S F, LI Z Q, et al. A novel Tb3+ and Eu3+ co-doped dual-emitting phosphate K3SrBi(P2O7)2 phosphor for application in FIR thermometers[J]. J Rare Earths, 2024, 42(3): 455-463. |
| [35] | ZHANG H, GAO Z Y, LI G G, et al. A ratiometric optical thermometer with multi-color emission and high sensitivity based on double perovskite LaMg0.402Nb0.598O3∶Pr3+ thermochromic phosphors[J]. Chem Eng J, 2020, 380: 122491. |
| [36] | CHEPYGA L M, OSVET A, BRABEC C J, et al. High-temperature thermographic phosphor mixture YAP/YAG∶Dy3+ and its photoluminescence properties[J]. J Lumin, 2017, 188: 582-588. |
| [37] | DI J Q, SAI Q L, SUN X H, et al. Synthesis and luminescent behavior of Dy∶Y3Ga5O12 phosphor for UV induced white LEDs[J]. Optik, 2017, 144: 86-90. |
| [38] | WANG X C, ZHAO Z Y, WU Q S, et al. A garnet-based Ca2YZr2Al3O12∶Eu3+ red-emitting phosphor for n-UV light emitting diodes and field emission displays: electronic structure and luminescence properties[J]. Inorg Chem, 2016, 55(21): 11072-11077. |
| [39] | TAPIA M, FERNÁNDEZ-OSORIO A, CASANOVA R, et al. Synthesis and photoluminescence properties of garnet red emitting CaY2Al4SiO12∶Eu3+ phosphors[J]. Ceram Int, 2023, 49(24): 41054-41063. |
| [40] | GAO T Y, TIAN J H, LIU Y H, et al. Garnet phosphors for white-light-emitting diodes: modification and calculation[J]. Dalton Trans, 2021, 50(11): 3769-3781. |
| [41] | PAVASARYTE L, KATELNIKOVAS A, MOMOT A, et al. Eu3+-doped Ln3Al5O12 (Ln=Er, Tm, Yb, Lu) garnets: synthesis, characterization and investigation of structural and luminescence properties[J]. J Lumin, 2019, 212: 14-22. |
| [42] | YANG J X, WANG Y, LAKSHMINARAYANA G, et al. Structural and visible fluorescence traits of Dy3+ ion activated Lu1.5Y1.5Al5O12 phosphors[J]. Optl Mater, 2023, 135: 113253. |
| [43] | DRAMICANIN M D. Sensing temperature via downshifting emissions of lanthanide-doped metal oxides and salts. a review[J]. Methods Appl Fluores, 2016, 4(4): 042001. |
| [44] | SUO H, ZHAO X Q, ZHANG Z Y, et al. Rational design of ratiometric luminescence thermometry based on thermally coupled levels for bioapplications[J]. Laser Photonics Rev, 2021, 15(1): 2000319. |
| [45] | XU L F, LIU J Q, PEI L, et al. Enhanced up-conversion luminescence and optical temperature sensing in graphitic C3N4 quantum dots grafted with BaWO4∶Yb3+,Er3+ phosphors[J]. J Mater Chem C, 2019, 7(20): 6112-6119. |
| [46] | HERTLE E, CHEPYGA L, BATENTSCHUK M, et al. Temperature-dependent luminescence characteristics of Dy3+ doped in various crystalline hosts[J]. J Lumin, 2018, 204: 64-74. |
| [47] | QIU Y F, CUI R R, ZHANG M, et al. Dual-emitting Dy3+/Eu3+ co-doped SrLaGaO4 phosphor: tunable luminescence, energy transfer and ratiometric temperature sensing[J]. J Mol Struct, 2024, 1304: 137622. |
| [48] | PANIGRAHI K, SAHA S, SAIN S, et al. White light emitting MgAl2O4∶Dy3+,Eu3+ nanophosphor for multifunctional applications[J]. Dalton Trans, 2018, 47(35): 12228-12242. |
| [49] | WANG Z Y, MA L Y, SHAO Y, et al. A novel Sr3Ga2Ge4O14∶Dy phosphor: tapping into the potential of dual-mode applications in white LEDs and optical thermometry[J]. Ceram Int, 2025, 51(14): 19535-19542. |
| [50] | BHUSHAN S, CHUKICHEV M V. Temperature-dependent studies of cathodoluminescence of green band of ZnO crystals[J]. J Mater Sci Lett, 1988, 7(4): 319-321. |
| [1] | Yu LI, Jiao MU, Du-Jin WANG, Guo-Ming LIU. Probing the Glass Transition Temperature of Poly(vinyl butyral) Using Fluorescence Lifetime [J]. Chinese Journal of Applied Chemistry, 2025, 42(10): 1323-1334. |
| [2] | Jun QIN, Yu ZHANG, Zhi-Hui XIN, Xiao-Mei LI, Xiao ZHANG, Ting-Xuan YAN, Feng FENG, Yun-Feng BAI. Synthesis and CO Conversion of CuMn2O4@GA Composite [J]. Chinese Journal of Applied Chemistry, 2023, 40(12): 1719-1725. |
| [3] | Zhao Liangzhong, Zhang Jinbiao, Cheng Dejun, Xu Cuiying, Zhu Daoben. Synthesis of High-Tc Superconductors by Alkali Flux Method [J]. Chinese Journal of Applied Chemistry, 1995, 0(6): 97-98. |
| [4] | Xing Lanmin, Lu Fengcai. Study on Preparation and Characterization of Polyphenylquinoxaline Ultrafiltration Membrane Containing Biphenylene [J]. Chinese Journal of Applied Chemistry, 1994, 0(3): 16-20. |
| Viewed | ||||||
|
Full text |
|
|||||
|
Abstract |
|
|||||