Chinese Journal of Applied Chemistry ›› 2025, Vol. 42 ›› Issue (12): 1629-1635.DOI: 10.19894/j.issn.1000-0518.250265
• Full Papers • Previous Articles Next Articles
Shu-Ming DAI1, Jia-Yue LI1, Yu CHENG2, Kun-Yu ZHANG2, Zhe MA1, Zi-He ZHAO2(
), Bin WANG1
Received:2025-07-01
Accepted:2025-09-09
Published:2025-12-01
Online:2025-12-30
Contact:
Zi-He ZHAO
CLC Number:
Shu-Ming DAI, Jia-Yue LI, Yu CHENG, Kun-Yu ZHANG, Zhe MA, Zi-He ZHAO, Bin WANG. Preparation and Properties of Poly(L-lactide-p-dioxocyclohexanone)[J]. Chinese Journal of Applied Chemistry, 2025, 42(12): 1629-1635.
Add to citation manager EndNote|Ris|BibTeX
URL: http://yyhx.ciac.jl.cn/EN/10.19894/j.issn.1000-0518.250265
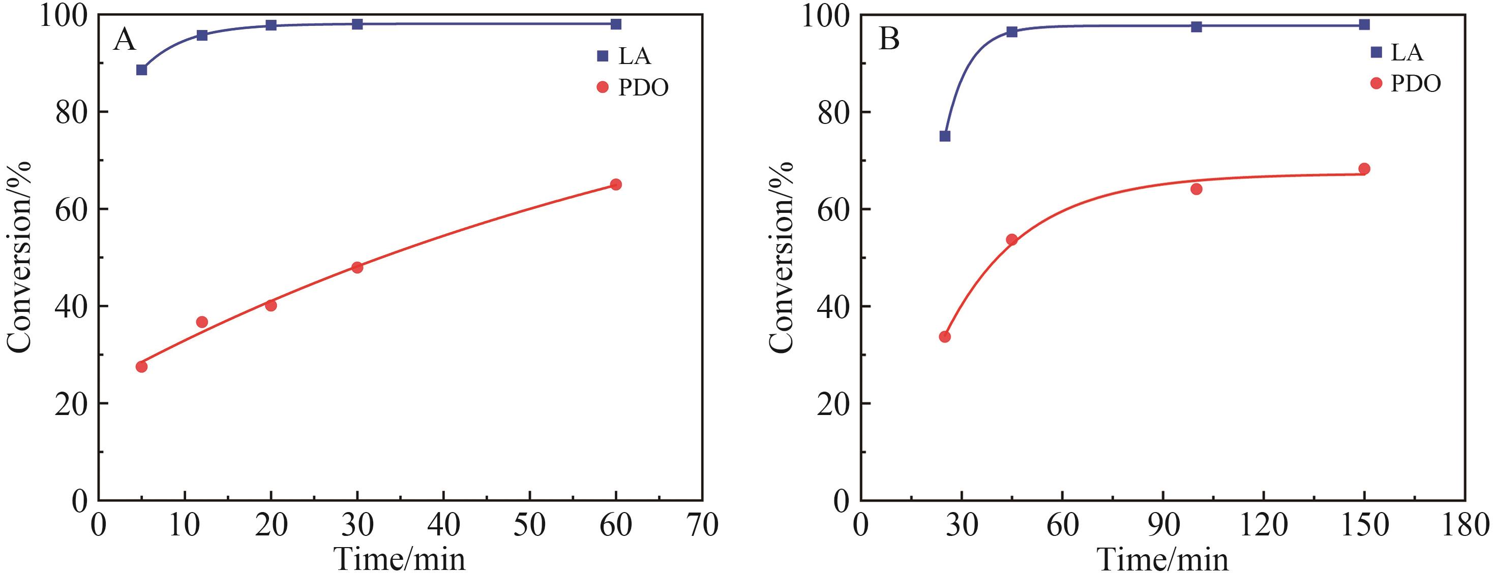
| Entry | Sample | n(L-LA)∶n(PDO)∶n(Zn)∶n(BnOH) | T/℃ | Reaction time/h | Conv.L-LA/(PDO)/% | 10-3Mn,calc | 10-3Mn,GPC | D |
|---|---|---|---|---|---|---|---|---|
| 1 | - | 1 400∶600∶1∶1 | 100 | 20 | 26.0/15.0 | 61.6 | 59.5 | 1.45 |
| 2 | PLDO-21% | 1 400∶600∶1∶1 | 120 | 20 | 98.3/61.2 | 235.7 | 259.3 | 1.41 |
| 3 | - | 1 400∶600∶1∶1 | 140 | 20 | 97.5/52.3 | 228.6 | 164.6 | 1.47 |
| 4 | PLLA | 2 000∶0∶1∶1 | 120 | 0.75 | 96.2/- | 276.9 | 225.3 | 1.52 |
| 5 | PLDO-5% | 1 800∶200∶1∶1 | 120 | 20 | 98.5/40.8 | 263.7 | 239.6 | 1.67 |
| 6 | PLDO-13% | 1 600∶400∶1∶1 | 120 | 20 | 99.0/53.7 | 250.1 | 197.6 | 1.55 |
| 7 | PLDO-17%-Sn | 1 400∶600∶1∶1 | 120 | 20 | 97.0/47.9 | 224.9 | 117.6 | 1.58 |
| 8 | PLDO-21%-Sn | 1 400∶600∶1∶1 | 120 | 30 | 97.1/60.2 | 232.7 | 145.6 | 1.76 |
Table 1 Characterization of the properties of P(L-LA-co-PDO) copolymers with different composition ratios
| Entry | Sample | n(L-LA)∶n(PDO)∶n(Zn)∶n(BnOH) | T/℃ | Reaction time/h | Conv.L-LA/(PDO)/% | 10-3Mn,calc | 10-3Mn,GPC | D |
|---|---|---|---|---|---|---|---|---|
| 1 | - | 1 400∶600∶1∶1 | 100 | 20 | 26.0/15.0 | 61.6 | 59.5 | 1.45 |
| 2 | PLDO-21% | 1 400∶600∶1∶1 | 120 | 20 | 98.3/61.2 | 235.7 | 259.3 | 1.41 |
| 3 | - | 1 400∶600∶1∶1 | 140 | 20 | 97.5/52.3 | 228.6 | 164.6 | 1.47 |
| 4 | PLLA | 2 000∶0∶1∶1 | 120 | 0.75 | 96.2/- | 276.9 | 225.3 | 1.52 |
| 5 | PLDO-5% | 1 800∶200∶1∶1 | 120 | 20 | 98.5/40.8 | 263.7 | 239.6 | 1.67 |
| 6 | PLDO-13% | 1 600∶400∶1∶1 | 120 | 20 | 99.0/53.7 | 250.1 | 197.6 | 1.55 |
| 7 | PLDO-17%-Sn | 1 400∶600∶1∶1 | 120 | 20 | 97.0/47.9 | 224.9 | 117.6 | 1.58 |
| 8 | PLDO-21%-Sn | 1 400∶600∶1∶1 | 120 | 30 | 97.1/60.2 | 232.7 | 145.6 | 1.76 |
| [1] | HU C, ZHANG Y, PANG X, et al. Poly(lactic acid): recent stereochemical advances and new materials engineering[J]. Adv Mater, 2024, 37(22): 2412185. |
| [2] | CASTRO-AGUIRRE E, IÑIGUEZ-FRANCO F, SAMSUDIN H, et al. Poly(lactic acid)-mass production, processing, industrial applications, and end of life[J]. Adv Drug Deliv Rev, 2016, 107: 333-366. |
| [3] | XUE Y, FENG J, MA Z, et al. Advances and challenges in eco-benign fire-retardant polylactide[J]. Mater Today Phys, 2021, 21: 100568. |
| [4] | LI X, YANG Q, ZHANG K, et al. Property improvement and compatibilization mechanism of biodegradable polylactic acid/maleic anhydride-based/polypropylene spunbonded nonwoven slices[J]. J Clean Prod, 2022, 375: 134097. |
| [5] | ALI W, ALI H, GILLANI S, et al. Polylactic acid synthesis, biodegradability, conversion to microplastics and toxicity: a review[J]. Environ Chem Lett, 2023, 21(3): 1761-1786. |
| [6] | DE ALBUQUERQUE T L, MARQUES JUNIOR J E, DE QUEIROZ L P, et al. Polylactic acid production from biotechnological routes: a review[J]. Int J Biol Macromol, 2021, 186: 933-951. |
| [7] | SUN C, WEI S, TAN H, et al. Progress in upcycling polylactic acid waste as an alternative carbon source: a review[J]. Chem Eng J, 2022, 446: 136881. |
| [8] | LI Z, SHANG J, ABDUREXIT A, et al. Improving the performance of polylactic acid/polypropylene/cotton stalk fiber composites with epoxidized soybean oil as a high efficiency plasticizer[J]. Int J Biol Macromol, 2024, 283: 137814. |
| [9] | ASHOTHAMAN A, SUDHA J, SENTHILKUMAR N. A comprehensive review on biodegradable polylactic acid polymer matrix composite material reinforced with synthetic and natural fibers[J]. Mater Today Proc, 2023, 80: 2829-2839. |
| [10] | HUA X, LIU X, CUI D. Degradation behavior of poly(lactide-co-carbonate)s controlled by chain sequences[J]. Macromolecules, 2020, 53(13): 5289-5296. |
| [11] | SANCHEZ L A H, WOROCH C P, DUMAS D M, et al. Toughening poly(lactic acid) without compromise-statistical copolymerization with a bioderived bicyclic lactone[J]. J Am Chem Soc, 2025, 147(6): 5212-5219. |
| [12] | LEI J, GUI Z X, XIONG W T, et al. Boosting thermal stability and crystallization of closed-loop-recyclable biodegradable poly(p-dioxanone) by end-group regulation[J]. Sci China Chem, 2023, 67(2): 642-651. |
| [13] | FAN T, QIN J, DONG F, et al. Effects on the crystallization behavior and biocompatibility of poly(LLA-ran-PDO-ran-GA) with poly(D-lactide) as nucleating agents[J]. RSC Adv, 2022, 12(17): 10711-10724. |
| [14] | YIN J, ZHAO Q, SHEN Y, et al. P(LLA‐co‐PDO) copolymers with random and block architectures: synthesis and characterizations[J]. J Appl Polym Sci, 2022, 139(25): e52140. |
| [15] | 李斌. 聚对二氧环己酮与聚乳酸嵌段共聚物的合成[D]. 成都: 四川大学, 2007. |
| LI B. Synthesis of block copolymers of poly(p-dioxocyclohexanone) and polylactic acid[D]. Chengdu: Sichuan University, 2007. | |
| [16] | 李佳岳, 王明倩, 丁志强, 等. 苯基亚胺基吡啶酚锌配合物用于聚乳酸合成及化学回收为单体[J]. 中国高分子科学杂志, 2025, 43: 914-923. |
| LI J Y, WANG M Q, DING Z Q, et al. Phenylimino-pyridine-phenolate zinc complexes for polylactide synthesis and chemical recycling to monomers[J]. Chin J Polym Sci, 2025, 43: 914-923. | |
| [17] | WANG Z B, WANG M, DING Z, et al. Robust, thermally stable and impurity-tolerant aluminum-based catalyst system for polylactide production under industrial conditions[J]. Polym Sci Technol, 2025, 1(6): 541-550. |
| [18] | KREMER A B, MEHRKHODAVANDI P. Dinuclear catalysts for the ring opening polymerization of lactide[J]. Coord Chem Rev, 2019, 380: 35-57. |
| [19] | WANG R, ZHANG J, YIN Q, et al. Controlled ring‐opening polymerization of o‐carboxyanhydrides using a β‐diiminate zinc catalyst[J]. Angew Chem Int Ed, 2016, 55(42): 13010-13014. |
| [20] | SANTULLI F, PAPPALARDO D, LAMBERTI M, et al. Simple and efficient zinc catalysts for synthesis and chemical degradation of polyesters[J]. ACS Sustainable Chem Eng, 2023, 11(43): 15699-15709. |
| [21] | CHENG Y, ZHAO Z, XU X, et al. Efficient synthesis of polylactide and copolymers under industrial conditions by multinuclear β-ketoimide zinc complexes[J]. Polym Chem, 2025, 16: 3030-3040. |
| [22] | 秦凡, 车晶, 杨荣杰, 等. 对二氧环己酮与丙交酯共聚反应的1H-NMR分析[J]. 高分子材料科学与工程, 2011, 27(8): 118-125. |
| QIN F, CHE J, YANG R J, et al. Analysis on copolymerization of dioxanone with lactide by 1H-NMR[J]. Polym Mater Sci Eng, 2011, 27(8): 118-125. |
| [1] | Zheng ZHOU, Yi-Wei XIA, Jie JIN, Song-Qi ZHENG, Si-Yu ZHOU, Gui-Yan ZHAO. Preparation and Properties of Highly Toughened Poly(lactic acid)/ Ethylene-Butyl Acrylate-Glycidyl Methacrylate Graft Copolymer Blends [J]. Chinese Journal of Applied Chemistry, 2024, 41(4): 529-537. |
| [2] | Yi-Lian MA, Hao-Dong HU, Ying-Li DING, Xiang-Jian CHEN, Liang CUI, Kun-Yu ZHANG. Modification of Polylactic Acid by Reactive Blending with Functionalized Imidazolium-based Ionomers and Epoxy-containing Additives [J]. Chinese Journal of Applied Chemistry, 2022, 39(12): 1870-1879. |
| [3] | HU Kuan, JIANG Hai, HUANG Dong, LIU Chang, ZHANG Kunyu, PAN Li. Synergetic Modification of Polybutylene Succinate and Poly(epichlorohydrin-co-ethylene oxide) Elastomer in Toughening Poly(lactic acid) [J]. Chinese Journal of Applied Chemistry, 2019, 36(9): 996-1002. |
| [4] | LI Fei, JIANG Guowei, ZHOU Guangyuan, SUN Xiuyun, SUN Chunrong, SHANG Xue, DONG Yan, WANG Yiming. Halogen Free Flame Retardant Modification of Polytrimethylene Terephthalate [J]. Chinese Journal of Applied Chemistry, 2017, 34(4): 436-442. |
| [5] | ZHANG Han, SUN Zhiqiang, PANG Xuan, ZHOU Linyao, LI Shuai, SUN Haibo, CHEN Wenqi, CHEN Xuesi. Structure and Properties of Polylactide/Polycaprolactone/Poly(ε-caprolactone-L-lactide) Ternary Blends [J]. Chinese Journal of Applied Chemistry, 2016, 33(9): 1026-1032. |
| [6] | SUN Bin, LIU Yanlong, BIAN Xinchao, ZHANG Bao, ZHOU Linyao, FENG Lidong, LI Gao, CHEN Zhiming. Preparation of High Heat Resistance Polylactide by Stereocomplexation [J]. Chinese Journal of Applied Chemistry, 2016, 33(9): 1033-1039. |
| [7] | BIAN Xinchao, FENG Lidong, CHEN Zhiming, CHEN Xuesi. Non-Isothermal Crystallization Behavior of Polylactide [J]. Chinese Journal of Applied Chemistry, 2016, 33(7): 766-773. |
| [8] | YANG Lixin, HU Xiuli, HUANG Yubin, JING Xiabin. Synthesis and Characterization of Retardant Polyurethanes Based on Polylactide [J]. Chinese Journal of Applied Chemistry, 2016, 33(1): 47-52. |
| [9] | ZHANG Han, SUN Zhiqiang, PANG Xuan, LI Shuai, SUN Jingru, CHEN Wenqi, CHEN Xuesi. Preparation and Properties of Blends from Poly(ε-caprolactone-ran-L-lactide) Random Copolymer and Amorphous Poly(lactic acid) [J]. Chinese Journal of Applied Chemistry, 2015, 32(11): 1268-1274. |
| [10] | ZOU Yinjiang, SHENG Yu, ZHU Deqin*. Influential Factors of Toughening Polypropylene via the Incorporation of Inorganic Rigid Particles [J]. Chinese Journal of Applied Chemistry, 2013, 30(03): 245-251. |
| [11] | DONG Yanlei1,2, CHEN Lijie1, QIN Yusheng1, WANG Xianhong1*, ZHAO Xiaojiang1, WANG Fosong1,3. Effect of Linear Poly(ester amide) on Properties of Blends with Poly(propylene carbonate) [J]. Chinese Journal of Applied Chemistry, 2012, 29(10): 1107-1110. |
| [12] | ZHONG Yinhua, LUO Yan*, ZENG Jian, WEI Yinglin, WU Yehui. Epoxy Resin Toughened by Polyester Hot Melt Adhesive [J]. Chinese Journal of Applied Chemistry, 2012, 29(07): 745-750. |
| [13] | HU Yuexin1,2, FENG Yulin1,2, JIANG Wei1*. High-density Polyethylene Toughened with Calcium Carbonate Filler Particles--Applicability of Wu′ Criterion for Brittle-Ductile Transition of Polymer Blends [J]. Chinese Journal of Applied Chemistry, 2011, 28(05): 500-503. |
| [14] | CHENG Hai-Bo1,2, CHEN Xue-Si1, XIAO Hai-Hua1,2, HU Xiu-Li1, JING Xia-Bin1*. Promotion of Crystallization in Linear Polylactide by Multiarm-polylactide [J]. Chinese Journal of Applied Chemistry, 2010, 27(07): 754-758. |
| [15] | Zhang Jie, Gan Zhihua, Liang Qizhi, Jing Xiabin. The Morphology of Poly(ε-caprolactone)/Poly(d,l-lactide) Blends Film in the Course of Enzymatic Degradation [J]. Chinese Journal of Applied Chemistry, 1998, 0(3): 91-93. |
| Viewed | ||||||
|
Full text |
|
|||||
|
Abstract |
|
|||||