应用化学 ›› 2025, Vol. 42 ›› Issue (10): 1323-1334.DOI: 10.19894/j.issn.1000-0518.250188

• 研究论文 • 上一篇    下一篇

利用荧光寿命测量聚乙烯醇缩丁醛的玻璃化转变温度

李彧1,2, 穆娇3, 王笃金1,2, 刘国明1,2()   

  1. 1.中国科学院化学研究所,工程塑料重点实验室,北京 100190
    2.中国科学院大学,北京 100049
    3.中国科学院化学研究所,分析测试中心,北京 100190
  • 收稿日期:2025-05-08 接受日期:2025-08-05 出版日期:2025-10-01 发布日期:2025-10-29
  • 通讯作者: 刘国明
  • 基金资助:
    国家自然科学基金(21922308)

Probing the Glass Transition Temperature of Poly(vinyl butyral) Using Fluorescence Lifetime

Yu LI1,2, Jiao MU3, Du-Jin WANG1,2, Guo-Ming LIU1,2()   

  1. 1.CAS Key Laboratory of Engineering Plastics,Institute of Chemistry,Chinese Academy of Sciences,Beijing 100190,China
    2.University of Chinese Academy of Sciences,Beijing 100049,China
    3.Analysis and Test Center,Institute of Chemistry,Chinese Academy of Sciences,Beijing 100190,China
  • Received:2025-05-08 Accepted:2025-08-05 Published:2025-10-01 Online:2025-10-29
  • Contact: Guo-Ming LIU
  • About author:gmliu@iccas.ac.cn
  • Supported by:
    the National Natural Science Foundation of China(21922308)

摘要:

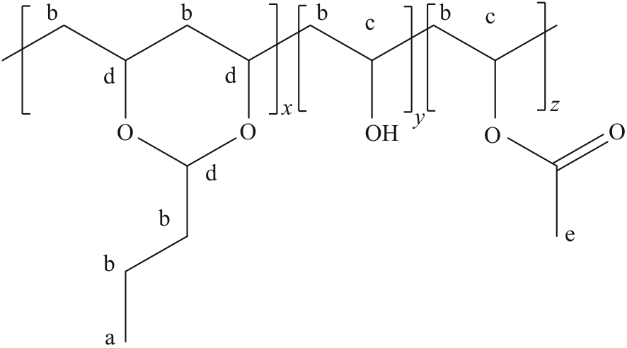
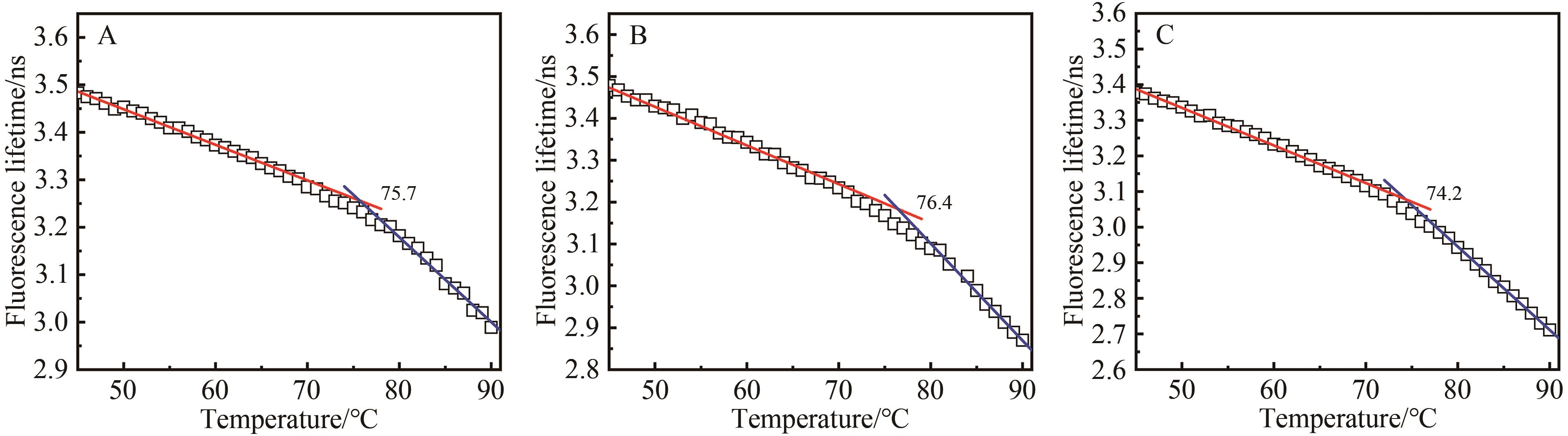
聚乙烯醇缩丁醛(PVB)具有优异的光学透过性和粘附性,被广泛应用于夹层玻璃材料,测定无定形聚合物的玻璃化转变温度(Tg)具有重要意义。 本文通过在PVB分子链上接枝罗丹明B(Rhb)作为荧光探针,结合激光共聚焦显微镜联用荧光寿命成像(FLIM),利用荧光寿命随温度的变化的折点表征PVB材料的Tg,并将测量结果与差示扫描量热法(DSC)的结果相对比,共混质量分数2%的PVB-Rhb测得的Tg和DSC得到的Tg完全吻合,证明荧光法测量Tg的准确性和灵敏性。 同时,将这种方法运用到薄膜体系,系统研究了荧光探针质量分数、样品厚度对Tg的影响,建立了薄膜厚度和Tg的定量关系,发现Tg随PVB薄膜厚度降低而升高。 实验结果证明了FLIM是一种测量聚合物Tg的有力工具,对表征基底支撑的聚合物薄膜样品以及处于特殊空间位置或受限环境的聚合物样品的Tg有突出优势。

关键词: 激光共聚焦显微镜, 荧光寿命成像, 超薄膜, 玻璃化转变温度

Abstract:

Poly(vinyl butyral) (PVB) is widely used in laminated glass due to its excellent optical transmittance and adhesion. Measuring the glass transition temperature (Tg) of amorphous polymers is critically important. In this study, rhodamine B was grafted onto PVB chains as a fluorescent probe. By combining laser confocal microscopy with fluorescence lifetime imaging (FLIM), the Tg of PVB was characterized using the intersection point of fluorescence lifetime versus temperature curves. Comparison with differential scanning calorimetry (DSC) results showed that the Tg of the blend with mass fraction 2% PVB-Rhb measured by fluorescence lifetime was in perfect agreement with that obtained via DSC, thus verifying the accuracy and sensitivity of the fluorescence method for Tg determination. Concurrently, this method is extended to thin film systems. The effects of fluorescent probe concentration and sample thickness on Tg were systematically investigated, revealing a quantitative correlation between the film thickness and Tg. Tg increased with reduced PVB film thickness. These results demonstrate FLIM as a robust tool for polymer Tg measurement, with advantages for characterization of substrate-supported polymer films and polymers in confined environments.

Key words: Laser confocal microscopy, Fluorescence lifetime imaging, Ultra-thin films, Glass transition temperature

中图分类号: