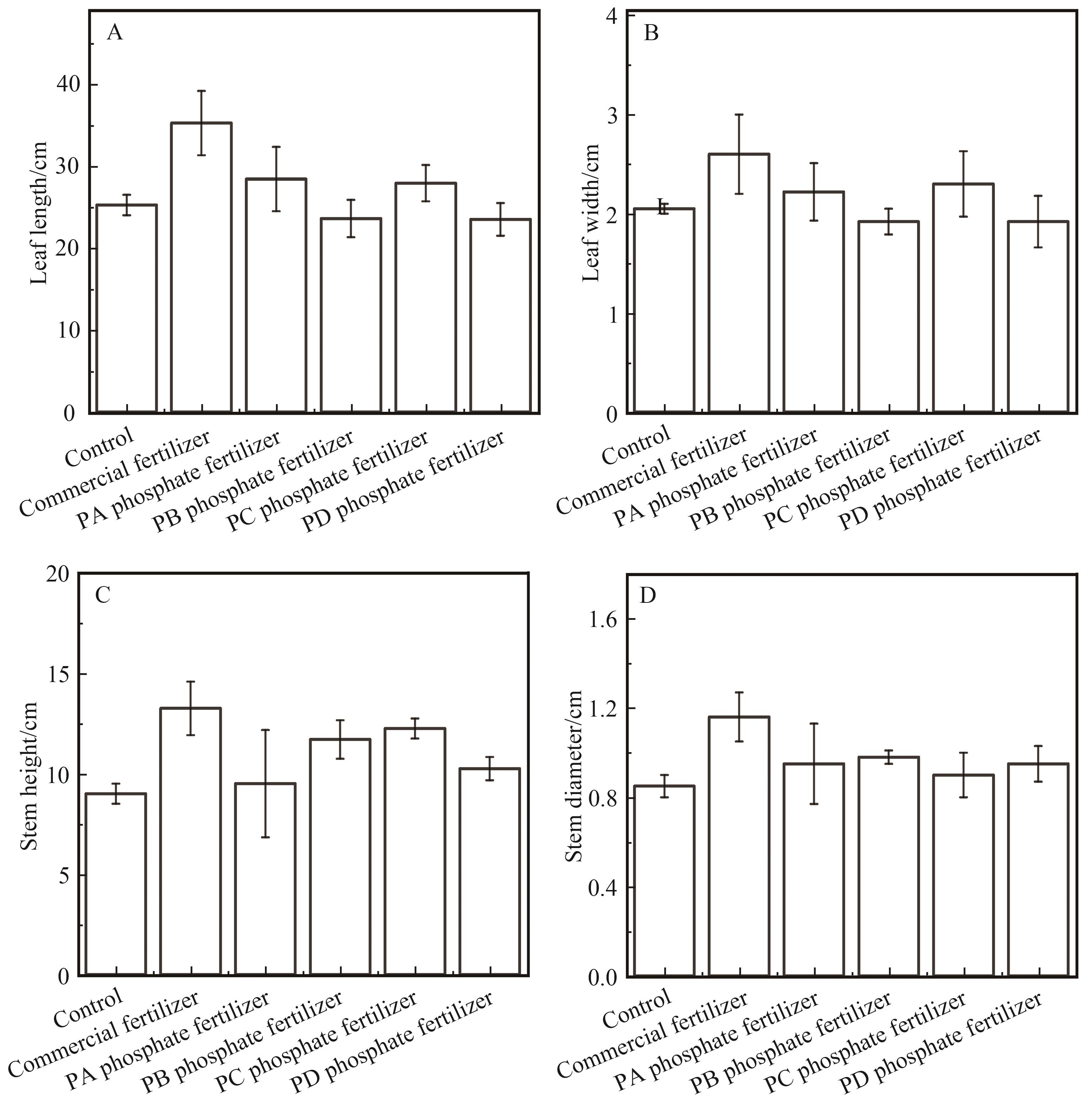
| [1] |
ZHU G K, SUN Y, SHAKOOR N, et al. Phosphorus-based nanomaterials as a potential phosphate fertilizer for sustainable agricultural development[J]. Plant Physiol Bioch, 2023, 205: 108172.
|
| [2] |
AASFAR A, KADMIRI I M, AZAROUAL S E, et al. Agronomic advantage of bacterial biological nitrogen fixation on wheat plant growth under contrasting nitrogen and phosphorus regimes[J]. Front Plant Sci, 2024, 15: 1388775.
|
| [3] |
SHIN N H, CHO L H. Phosphate depletion: research status and challenges in agriculture[J]. Plant Biotechnol J, 2024, 51(2): 129-142.
|
| [4] |
BALAWEJDER M, MATLOK N, GORZELANY J, et al. Foliar fertilizer based on calcined bones, boron and molybdenum-a study on the development and potential effects on maize grain production[J]. Sustainability, 2019, 11(19): 5287.
|
| [5] |
WYCISZKIEWICZ M, SAEID A, GÓRECKI H, et al. New generation of phosphate fertilizer from bones, produced by bacteria[J]. Open Chem, 2015, 13(1): 951-958.
|
| [6] |
MWALONGO D A, HANEKLAUS N H, LISUMA J B, et al. Uranium dissemination with phosphate fertilizers globally: a systematic review with focus on east africa[J]. Sustainability, 2024, 16(4): 1496.
|
| [7] |
BILAL E, BELLEFQIH H, BOURGIER V, et al. Phosphogypsum circular economy considerations: a critical review from more than 65 storage sites worldwide[J]. J Clean Prod, 2023, 414: 137561.
|
| [8] |
SILVA C R E, DE OLIVERIRA F M. Natural radioactivity in mineral phosphate fertilizers and its impacts on human health: an overview[J]. Environ Sci Pollut R, 2023, 30(56): 118149-118160.
|
| [9] |
DI CAPUA F, DE SARIO S, FERRARO A, et al. Phosphorous removal and recovery from urban wastewater: current practices and new directions[J]. Sci Total Environ, 2022, 823: 153750.
|
| [10] |
WYCISZKIEWICZ M, SOJKA M, SAEID A. Production of phosphorus biofertilizer based on the renewable materials in large laboratory scale[J]. Open Chem, 2019, 17(1): 893-901.
|
| [11] |
PASALARI H, FARZADKIA M, KHOSRAVANI F, et al. Phosphorous recovery from sewage sludge via chemical and thermal technologies[J]. Chem Eng J, 2024, 496: 153869.
|
| [12] |
ROLEWICZ M, RUSEK P, BOROWIK K. Obtaining of granular fertilizers based on ashes from combustion of waste residues and ground bones using phosphorus solubilization by bacteria Bacillus megaterium[J]. J Environ Manage, 2017, 216: 128-132.
|
| [13] |
LIANG D, NING Y W, JI C, et al. Biochar and manure co-application increases rice yield in low productive acid soil by increasing soil pH, organic carbon, and nutrient retention and availability[J]. Plants, 2024, 13(7): 973.
|
| [14] |
JASTRZEBSKA M, KOSTRZEWSKA M K, MAKOWSKI P, et al. Effects of ash and bone phosphorus biofertilizers on bacillus megaterium counts and select biological and physical soil properties[J]. Pol J Environ Stud, 2015, 24(4): 1603-1609.
|
| [15] |
PATTAPPAN D, KAPOOR S, ISLAM S S, et al. Layered double hydroxides for regulating phosphate in water to achieve long-term nutritional management[J]. ACS Omega, 2023, 8(28): 24727-24749.
|
| [16] |
LI B L, ZHOU Y J, WEN L R, et al. The occurrence, role, and management strategies for phytic acid in foods[J]. Compr Rev Food Sci F, 2024, 23(5): e13416.
|
| [17] |
NASSAR M, NASSAR R, MAKI H, et al. Phytic acid: properties and potential applications in dentistry[J]. Front Mater, 2021, 8: 638909.
|
| [18] |
CUI C Y, WANG S N, REN H H, et al. Regeneration of dental-pulp complex-like tissue using phytic acid derived bioactive glasses[J]. RSC Adv, 2017, 7(36): 22063-22070.
|
| [19] |
MORAN E T, BEDFORD M R. Basis for the diversity and extent in loss of digestible nutrients created by dietary phytin: emphasis on fowl and swine[J]. Anim Nutr, 2024, 16: 422-428.
|
| [20] |
QIU D, GUERRY P, KNOWLES J C, et al. Formation of functional phosphosilicate gels from phytic acid and tetraethyl orthosilicate[J]. J Sol Gel Sci Technol, 2008, 48(3): 378-383.
|
| [21] |
KAUR H, MIR R A, HUSSAIN S J, et al. Prospects of phosphate solubilizing microorganisms in sustainable agriculture[J]. World J Microbiol Biotechnol, 2024, 40(10): 291.
|
| [22] |
孙娜, 马林, 邹辉, 等. 氮磷钾配施对冬小麦产量和品质的影响及其肥效分析[J]. 新疆农业科学, 2025, 62(1): 1-12.
|
|
SUN N, MA L, ZOU H, et al. Analysis combined application of NPK fertilizers on yield and quality of winter and the fertilizer effect[J]. Xinjiang Agricultural Sci, 2025, 62(1): 1-12.
|
| [23] |
DARYL A, REID A, JOHN N A, et al. Mineral nutrition in white spruce (Picea glauca [Moench] Voss) seeds and somatic embryos. I. phosphorus, phytic acid, potassium, magnesium, calcium, iron and zinc[J]. Plant Sci, 1999, 141(1): 11-18.
|