Chinese Journal of Applied Chemistry ›› 2026, Vol. 43 ›› Issue (3): 373-386.DOI: 10.19894/j.issn.1000-0518.250291

• Full Papers • Previous Articles     Next Articles

Synthesis and Characterization of Highly Stable Nano-Sized Y Zeolite

Jing-Hang XUE(), Bo QIN, Wei LIU, Tong ZHANG, Wen-Jie XIE   

  1. Sinopec Dalian Research Institute of Petroleum and Petrochemicals,Dalian 116045,China
  • Received:2025-07-20 Accepted:2025-10-16 Published:2026-03-01 Online:2026-03-26
  • Contact: Jing-Hang XUE
  • About author:xuejinghang.fshy@sinopec.com
  • Supported by:
    the Joint Funds of the National Natural Science Foundation of China(U24A202895)

Abstract:

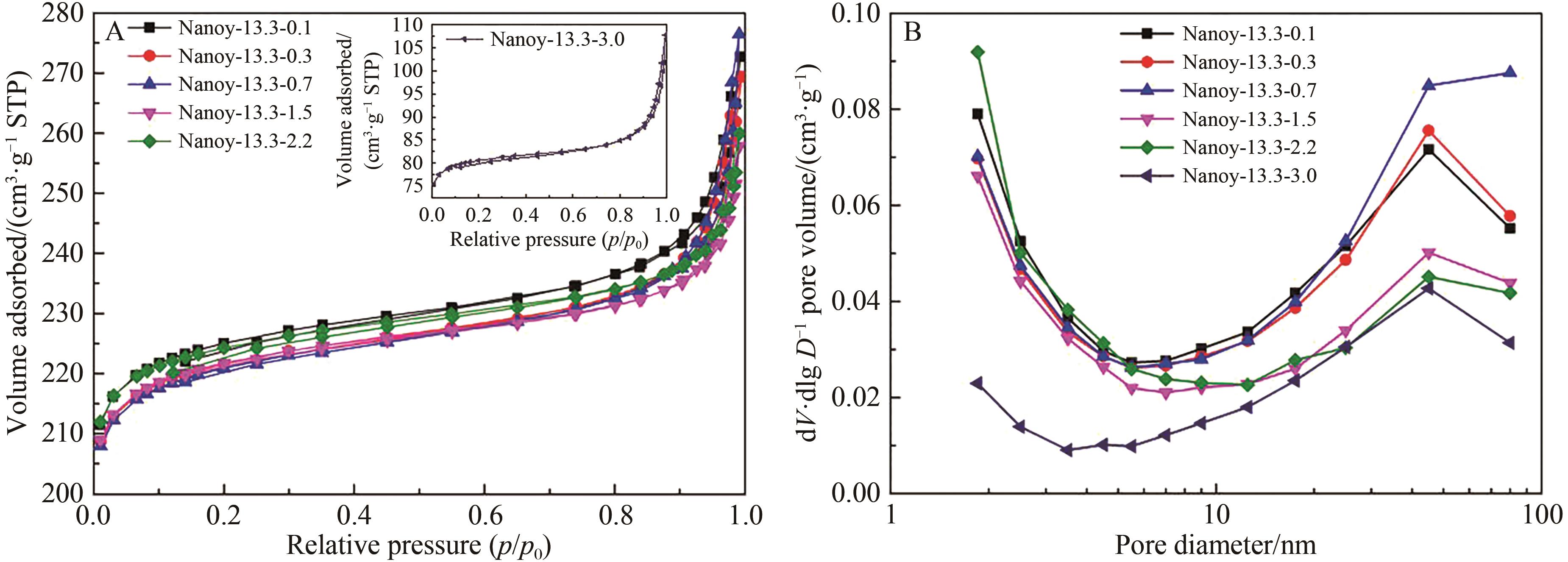
Nano-sized Y zeolite has attracted increasing attention in the petroleum refining industry due to its excellent diffusion properties and abundant external surface acid sites. However, synthesizing highly stable nanosized Y zeolite still remains challenging. A novel hydrothermal crystallization method was developed using inexpensive anionic surfactant ammonium fatty alcohol ether sulfate (AESA) as a template agent. The synthesis involved a strategy of multiple gel formation steps, multi-stage crystallization, and post-addition of silicon source. The effects of synthesis conditions, AESA/Al2O3 ratio, and Na2O/Al2O3 ratio on the morphology and physicochemical properties of the zeolite were investigated. The synthesized materials were characterized by powder X-ray diffraction (XRD), X-ray fluorescence spectroscopy (XRF), N? physisorption fourier transform infrared spectroscopy (FT-IR), pyridine-adsorbed FT-IR (Py-FTIR), solid-state NMR (29Si MAS NMR and 27Al MAS NMR), scanning electron microscopy (SEM), transmission electron microscopy (TEM), and EDS-mapping. The hydrothermal stability at high temperatures was compared between the nano-sized Y and commercial Y zeolites. The results demonstrate that under optimized synthesis conditions, the nano-sized zeolite exhibits an average particle size of 83 nm, a silica-alumina ratio (SAR) of 5.8, a unit cell parameter of 24.62 ?, and a specific surface area of 887 m2/g. After hydrothermal treatment at 600 °C, the reduction rate of relative crystallinity was 16.0%, which recovered to 7.1% after acid treatment. Compared to commercial Y zeolite, the nano-sized Y zeolite possesses highly developed secondary pore structure (pore size distribution mainly in the 10~80 nm range), retains more acid sites, and exhibits superior stability, which were attributed to its improved framework integrity and higher SAR.

Key words: Y zeolite, Nano-sized, High stability

CLC Number: