Chinese Journal of Applied Chemistry ›› 2025, Vol. 42 ›› Issue (12): 1619-1628.DOI: 10.19894/j.issn.1000-0518.250258
• Full Papers • Previous Articles Next Articles
Jian ZHANG1,2, Yi-Xin ZHANG1, Lei CUI1(
), Zhong-Bao JIAN1,2(
)
Received:2025-06-26
Accepted:2025-09-05
Published:2025-12-01
Online:2025-12-30
Contact:
Lei CUI,Zhong-Bao JIAN
Supported by:CLC Number:
Jian ZHANG, Yi-Xin ZHANG, Lei CUI, Zhong-Bao JIAN. Thermosetting Cyclic Olefin Terpolymers with High Optical Transparency and High Heat-Resistance via Thermo-Induced Benzocyclobutene Cross-Linking[J]. Chinese Journal of Applied Chemistry, 2025, 42(12): 1619-1628.
Add to citation manager EndNote|Ris|BibTeX
URL: http://yyhx.ciac.jl.cn/EN/10.19894/j.issn.1000-0518.250258
| Entry | n(M1)/mmol | n(M2)/mmol | V(TIBA)/mL | Yield/g | Act. b (106) | x(M1)/% | x(M2) c /% | Conv.M1d /% | Conv.M2d /% | 10-4·Mne | PDI e | Tm,Tg f /℃ |
|---|---|---|---|---|---|---|---|---|---|---|---|---|
| 1 | 1 | TCD (7.56) | 5 | 0.95 | 1.1 | 2.6 | 22.8 | 39.6 | 45.9 | 2.3 | 1.8 | -,107.7 |
| 2 | 1 | TCD (7.56) | 2.5 | 1.48 | 1.8 | 2.4 | 21.0 | 59.5 | 68.9 | 2.9 | 2.1 | -,98.3 |
| 3 | 1 | TCD (7.56) | 1.75 | 1.74 | 2.1 | 2.2 | 17.6 | 69.7 | 73.8 | 5.4 | 1.9 | n.d. j |
| 4 | 1 | TCD (7.56) | 1 | 1.98 | 2.4 | 2.9 | 20.7 | 95.5 | 90.1 | 9.7 | 2.3 | 87.8,- |
| 5 | 1 | TCD (7.56) | 0.1 | Gel | / | / | / | / | / | / | / | / |
| 6 | 1 | TCD (12.5) | 1 | 2.09 | 2.5 | 2.2 | 26.2 | 69.5 | 66.2 | 7.1 | 3.2 | -,95.0 |
| 7 g | 1 | TCD (12.5) | 1 | 2.50 | 1.5 | 2.1 | 25.9 | 80.0 | 78.9 | 9.1 | 3.4 | n.d. j |
| 8 h | 1 | TCD (12.5) | 2 | 2.54 | 1.5 | 2.2 | 27.8 | 81.8 | 82.7 | 4.2 | 3.1 | -,109.4 |
| 9 h | 1 | TCD (15.6) | 2 | 3.20 | 1.9 | 2 | 30.6 | 89.2 | 87.5 | 4.9 | 4.3 | -,122.4 |
| 10 i | 1 | TCD (12.5) | 2 | 2.64 | 0.8 | 2.1 | 25.0 | 85.9 | 81.8 | 4.6 | 3.0 | 120.5,- |
| 11 i | 1 | TCD (15.6) | 2 | 3.16 | 1.0 | 2.2 | 24.7 | 100.0 | 77.9 | 7.3 | 3.0 | 119.8,- |
| 12 | 1 | NB (11.0) | 1 | 1.74 | 2.1 | 1.9 | 26.7 | 68.0 | 86.2 | 15.0 | 1.3 | n.d. j |
| 13 | 1 | NB (13.0) | 1 | 1.89 | 2.3 | 1.9 | 30.1 | 70.3 | 85.7 | 11.8 | 1.6 | -,74.8 |
Table 1 Terpolymerization of ethylene, norbornene derivatives and M1 catalyzed by Zr-Cat. a
| Entry | n(M1)/mmol | n(M2)/mmol | V(TIBA)/mL | Yield/g | Act. b (106) | x(M1)/% | x(M2) c /% | Conv.M1d /% | Conv.M2d /% | 10-4·Mne | PDI e | Tm,Tg f /℃ |
|---|---|---|---|---|---|---|---|---|---|---|---|---|
| 1 | 1 | TCD (7.56) | 5 | 0.95 | 1.1 | 2.6 | 22.8 | 39.6 | 45.9 | 2.3 | 1.8 | -,107.7 |
| 2 | 1 | TCD (7.56) | 2.5 | 1.48 | 1.8 | 2.4 | 21.0 | 59.5 | 68.9 | 2.9 | 2.1 | -,98.3 |
| 3 | 1 | TCD (7.56) | 1.75 | 1.74 | 2.1 | 2.2 | 17.6 | 69.7 | 73.8 | 5.4 | 1.9 | n.d. j |
| 4 | 1 | TCD (7.56) | 1 | 1.98 | 2.4 | 2.9 | 20.7 | 95.5 | 90.1 | 9.7 | 2.3 | 87.8,- |
| 5 | 1 | TCD (7.56) | 0.1 | Gel | / | / | / | / | / | / | / | / |
| 6 | 1 | TCD (12.5) | 1 | 2.09 | 2.5 | 2.2 | 26.2 | 69.5 | 66.2 | 7.1 | 3.2 | -,95.0 |
| 7 g | 1 | TCD (12.5) | 1 | 2.50 | 1.5 | 2.1 | 25.9 | 80.0 | 78.9 | 9.1 | 3.4 | n.d. j |
| 8 h | 1 | TCD (12.5) | 2 | 2.54 | 1.5 | 2.2 | 27.8 | 81.8 | 82.7 | 4.2 | 3.1 | -,109.4 |
| 9 h | 1 | TCD (15.6) | 2 | 3.20 | 1.9 | 2 | 30.6 | 89.2 | 87.5 | 4.9 | 4.3 | -,122.4 |
| 10 i | 1 | TCD (12.5) | 2 | 2.64 | 0.8 | 2.1 | 25.0 | 85.9 | 81.8 | 4.6 | 3.0 | 120.5,- |
| 11 i | 1 | TCD (15.6) | 2 | 3.16 | 1.0 | 2.2 | 24.7 | 100.0 | 77.9 | 7.3 | 3.0 | 119.8,- |
| 12 | 1 | NB (11.0) | 1 | 1.74 | 2.1 | 1.9 | 26.7 | 68.0 | 86.2 | 15.0 | 1.3 | n.d. j |
| 13 | 1 | NB (13.0) | 1 | 1.89 | 2.3 | 1.9 | 30.1 | 70.3 | 85.7 | 11.8 | 1.6 | -,74.8 |
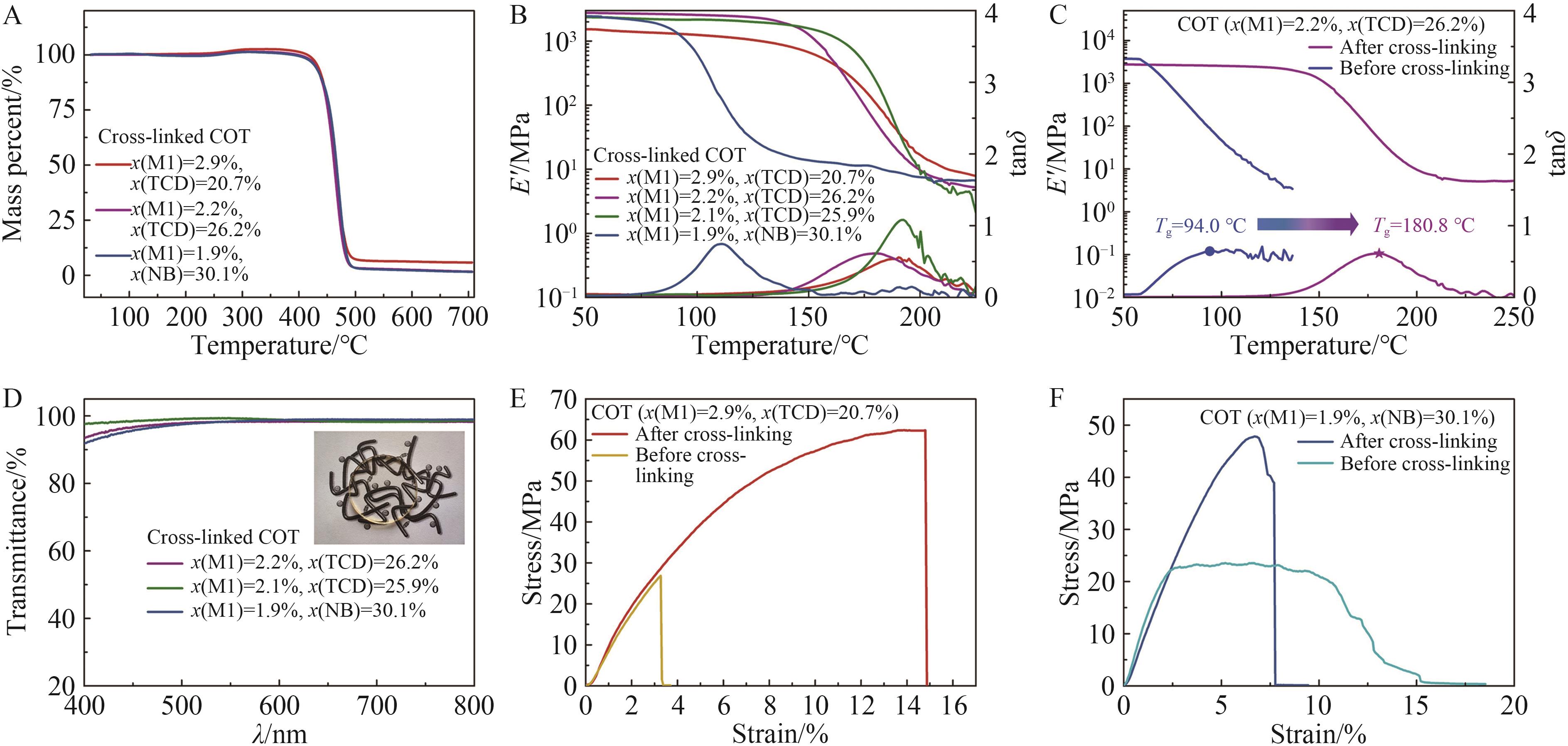
Fig.4 (A) TGA curves of cross-linked COTs; (B) Temperature dependences of the storage modulus (E') and loss tangent (tanδ) of cross-linked COTs; (C) COT (Table 1, Entry 6) before and after cross-linking; (D) Optical transmittance of cross-linked COTs at the range of 400~800 nm; Stress-strain curves of COTs before and after cross-linking COTs in (E) table 1, entry 4 and (F) table 1, entry 13
| Entry | COT | Before cross-linking | After cross-linking | ||||||
|---|---|---|---|---|---|---|---|---|---|
| nDb | nFc | nCd | ve | nD | nF | nC | v | ||
| 1 | x(M1)=2.9/%, x(TCD)=20.7/% | 1.547 2 | 1.555 6 | 1.545 0 | 51.6 | 1.547 2 | 1.555 5 | 1.544 7 | 50.7 |
| 2 | x(M1)=2.2/%, x(TCD)=26.2/% | 1.553 9 | 1.560 0 | 1.550 6 | 58.9 | 1.549 2 | 1.557 0 | 1.546 0 | 49.9 |
| 3 | x(M1)=2.1/%, x(TCD)=25.9/% | 1.551 2 | 1.557 7 | 1.547 8 | 55.7 | 1.549 1 | 1.557 0 | 1.546 6 | 52.8 |
| 4 | x(M1)=1.9/%, x(NB)=30.1/% | 1.537 7 | 1.547 2 | 1.537 2 | 53.8 | 1.539 6 | 1.547 0 | 1.537 0 | 54.0 |
Table 2 Optical properties of cyclic olefin terpolymers before and after cross-linking a
| Entry | COT | Before cross-linking | After cross-linking | ||||||
|---|---|---|---|---|---|---|---|---|---|
| nDb | nFc | nCd | ve | nD | nF | nC | v | ||
| 1 | x(M1)=2.9/%, x(TCD)=20.7/% | 1.547 2 | 1.555 6 | 1.545 0 | 51.6 | 1.547 2 | 1.555 5 | 1.544 7 | 50.7 |
| 2 | x(M1)=2.2/%, x(TCD)=26.2/% | 1.553 9 | 1.560 0 | 1.550 6 | 58.9 | 1.549 2 | 1.557 0 | 1.546 0 | 49.9 |
| 3 | x(M1)=2.1/%, x(TCD)=25.9/% | 1.551 2 | 1.557 7 | 1.547 8 | 55.7 | 1.549 1 | 1.557 0 | 1.546 6 | 52.8 |
| 4 | x(M1)=1.9/%, x(NB)=30.1/% | 1.537 7 | 1.547 2 | 1.537 2 | 53.8 | 1.539 6 | 1.547 0 | 1.537 0 | 54.0 |
| [1] | BADUR T, DAMS C, HAMPP N. High refractive index polymers by design[J]. Macromolecules, 2018, 51(11): 4220-4228. |
| [2] | HIGASHIHARA T, UEDA M. Recent progress in high refractive index polymers[J]. Macromolecules, 2015, 48(7): 1915-1929. |
| [3] | LAGO W S R, AYMES-CHODUR C, AHOUSSOU A P, et al. Physico-chemical ageing of ethylene-norbornene copolymers: a review[J]. J Mater Sci, 2017, 52(11): 6879-6904. |
| [4] | ZHAO Y, CUI L, ZHANG Y, et al. All-hydrocarbon high-refractive-index cyclic olefin copolymer optical materials[J]. Macromolecules, 2024, 57(18): 8869-8876. |
| [5] | 王琳枫, 田慧, 龚光碧, 等. 稀土配合物催化的乙烯、环烯烃和1-辛烯三元共聚[J]. 应用化学, 2023, 40(10): 1396-1404. |
| WANG L F, TIAN H, GONG G B, et al. Terpolymerization of ethylene, cyclic olefin and 1-octene catalyzed by rare earth complexes[J]. Chin J Appl Chem, 2023, 40(10): 1396-1404. | |
| [6] | HONG M, CUI L, LIU S, et al. Synthesis of novel cyclic olefin copolymer (COC) with high performance via effective copolymerization of ethylene with bulky cyclic olefin[J]. Macromolecules, 2012, 45(13): 5397-5402. |
| [7] | ZHAO Y, ZHANG Y, CUI L, et al. Cyclic olefin terpolymers with high refractive index and high optical transparency[J]. ACS Macro Lett, 2023, 12(3): 395-400. |
| [8] | ZHANG J, ZHANG Y, CUI L, et al. Fluorinated cyclic olefin copolymers (COCs) and cyclic olefin polymers (COPs)[J]. Macromol Rapid Commun, 2025, 46(6): 2400906. |
| [9] | SAMPLE C S, HOEHN B D, HILLMYER M A. Cross-linked polyolefins through tandem ROMP/hydrogenation[J]. ACS Macro Lett, 2024, 13(4): 395-400. |
| [10] | ZHANG J, ZHANG Y, CUI L, et al. High-refractive-index cross-linked cyclic olefin polymers with excellent transparency via thiol-ene click reaction[J]. ACS Macro Lett, 2024, 13(6): 781-787. |
| [11] | ZOU C, CHEN C. Polar-functionalized, crosslinkable, self-healing, and photoresponsive polyolefins[J]. Angew Chem Int Ed, 2020, 59(1): 395-402. |
| [12] | DREILING R J, HUYNH K, FORS B P. Degradable thermosets via orthogonal polymerizations of a single monomer[J]. Nature, 2025, 638(8049): 120-125. |
| [13] | POST W, ARIJANA S, ROLF B, et al. A review on the potential and limitations of recyclable thermosets for structural applications[J]. Polym Rev, 2020, 60(2): 359-388. |
| [14] | CAO Q, LI J, QI Y, et al. Engineering double load-sharing network in thermosetting: much more than just toughening[J]. Macromolecules, 2022, 55(21): 9502-9512. |
| [15] | YANG Y, XIA Z, HUANG L, et al. Renewable vanillin-based thermoplastic polybutadiene rubber: high strength, recyclability, self-welding, shape memory, and antibacterial properties[J]. ACS Appl Mater Interfaces, 2022, 14(41): 47025-47035. |
| [16] | VAN DOREMAELE G, VAN DUIN M, VALLA M, et al. On the development of titanium κ1-amidinate complexes, commercialized as Keltan ACE™ technology, enabling the production of an unprecedented large variety of EPDM polymer structures[J]. J Polym Sci, Part A: Polym Chem, 2017, 55(18): 2877-2891. |
| [17] | WANG W, CHEN M, PANG W, et al. Palladium-catalyzed synthesis of norbornene-based polar-functionalized polyolefin elastomers[J]. Macromolecules, 2021, 54(7): 3197-3203. |
| [18] | HONG M, LIU S R, LI B X, et al. Application of thiol-ene click chemistry to preparation of functional polyethylene with high molecular weight and high polar group content: influence of thiol structure and vinyl type on reactivity[J]. J Polym Sci, Part A: Polym Chem, 2012, 50(12): 2499-2506. |
| [19] | XIAO Y, LIU P, WANG W J, et al. Dynamically cross-linked polyolefin elastomers with highly improved mechanical and thermal performance[J]. Macromolecules, 2021, 54(22): 10381-10387. |
| [20] | PALUCCI B, ZANCHIN G, RICCI G, et al. Vanadium-catalyzed terpolymerization of α,ω-dienes with ethylene and cyclic olefins: ready access to polar-functionalized polyolefins[J]. Macromolecules, 2021, 54(23): 10700-10711. |
| [21] | WANG L, DONG S, TIAN H, et al. Terpolymerization of ethylene, norbornene and dicyclopentadiene catalyzed by modified cyclopentadienyl scandium complexes[J]. Polym Chem, 2023, 14(26): 3110-3116. |
| [22] | ZHANG X Y, LI H L, XIANG B, et al. Imidazolidin-2-iminato vanadium complexes for the synthesis of ethylene/propylene/5-ethylidene-2-norbornene (ENB) terpolymers with high ENB incorporation and ultra-high molecular weight[J]. Polym Chem, 2024, 15(21): 2148-2156. |
| [23] | LE HEL C, BOUNOR-LEGARÉ V, LUCAS A, et al. Elasticity recovery of crosslinked EPDM: influence of the chemistry and nanofillers[J]. Rheol Acta, 2021, 60(1): 1-10. |
| [24] | ZHAO Y, WANG Z, HOU G, et al. Synthesis of mechanically robust very high molecular weight polyisoprene particle brushes by atom transfer radical polymerization[J]. ACS Macro Lett, 2024, 13(4): 415-422. |
| [25] | MEDEIROS A M M S, LE COZ C, GRAU E. Caryophyllene as a precursor of cross-linked materials[J]. ACS Sustainable Chem Eng, 2020, 8(11): 4451-4456. |
| [26] | YU Y, KIM M, LEE G S, et al. Organocatalyzed synthesis and degradation of functionalized poly(4-allyloxymethyl-β- propiolactone)s[J]. Macromolecules, 2021, 54(23): 10903-10913. |
| [27] | GRIESSER T, WOLFBERGER A, DASCHIEL U, et al. Cross-linking of ROMP derived polymers using the two-photon induced thiol-ene reaction: towards the fabrication of 3D-polymer microstructures[J]. Polym Chem, 2013, 4(5): 1708-1714. |
| [28] | WANG Q, XIE M, HE Y, et al. Research progress and applications of benzocyclobutene-based functional polymers[J]. Macromol Chem Phys, 2025, 226(1): 2400338. |
| [29] | MAIER G. Low dielectric constant polymers for microelectronics[J]. Prog Polym Sci, 2001, 26(1): 3-65. |
| [30] | VOLKSEN W, MILLER R D, DUBOIS G. Low dielectric constant materials[J]. Chem Rev, 2010, 110(1): 56-110. |
| [31] | GENG K, XUE T, LI X, et al. Soluble polyimides containing benzocyclobutene moieties: synthesis, cross-linking behavior, and physical and gas transport properties[J]. Macromolecules, 2024, 57(10): 5038-5049. |
| [32] | WOO S, WANG H S, CHOE Y, et al. Three-dimensional multilayered nanostructures from crosslinkable block copolymers[J]. ACS Macro Lett, 2016, 5(3): 287-291. |
| [33] | CHENG Y, YANG J, JIN Y, et al. Synthesis and properties of highly cross-linked thermosetting resins of benzocyclobutene-functionalized benzoxazine[J]. Macromolecules, 2012, 45(10): 4085-4091. |
| [34] | ALLEY O J, PLUNKETT E, KALE T S, et al. Synthesis, fabrication, and heterostructure of charged, substituted polystyrene multilayer dielectrics and their effects in pentacene transistors[J]. Macromolecules, 2016, 49(9): 3478-3489. |
| [35] | LI X, ZHONG N, HU H, et al. Preparation and properties of low dielectric constant siloxane/carbosilane hybrid benzocyclobutene resin composites[J]. Materials, 2021, 14(21): 6548. |
| [36] | LEIBIG D, MESSERLE M, JOHANN T, et al. Tapered copolymers of styrene and 4-vinylbenzocyclobutene via carbanionic polymerization for crosslinkable polymer films[J]. J Polym Sci, 2020, 58(1): 181-192. |
| [37] | JIN K, TORKELSON J M. Enhanced Tg-confinement effect in cross-linked polystyrene compared to its linear precursor: roles of fragility and chain architecture[J]. Macromolecules, 2016, 49(14): 5092-5103. |
| [38] | DENG P, SANG L, GONG X, et al. Syndiotactic (co)polymerization of 4-vinylbenzocyclobutene catalyzed by rare-earth metal complex[J]. Macromolecules, 2024, 57(13): 6166-6176. |
| [39] | SHI M, SUN J, FANG Q. Alkyl side-chain-induced improvement of dielectric properties of polymers. 1. fluorene-benzocyclobutene-based polymers[J]. Macromolecules, 2024, 57(13): 6140-6145. |
| [40] | GIES A P, SPENCER L, RAU N J, et al. Thermally induced cross-linking and degradation reactions of benzocyclobutene-based polymers[J]. Macromolecules, 2017, 50(6): 2304-2319. |
| [41] | HOU J, SUN J, FANG Q. Recent advance in low-dielectric-constant organosilicon polymers[J]. Chin J Chem, 2023, 41(18): 2371-2381. |
| [42] | FANG L, WANG C, DAI M, et al. New organic-inorganic hybrid materials: high refractive index polymers based on cyclotriphophazene with high thermostability and transparency[J]. Mater Chem Front, 2021, 5(15): 5826-5832. |
| [43] | YUAN Z, SUN Q, XIAO J, et al. Low-energy driven ring-opening behavior of benzocyclobutene derivatives[J]. Chin J Chem, 2023, 41(23): 3238-3244. |
| [44] | WANG J, ZHOU J, FANG L, et al. A novel post-polymerizable polynorbornene prepared via ROMP: easy synthesis and conversion into a free-standing film with high Tg and low dielectric constant[J]. Mater Chem Front, 2018, 2(8): 1467-1474. |
| [45] | ZHANG J, CUI L, ZHANG Y, et al. Self-crosslinking all-hydrocarbon polyethylene thermosets through intrinsic benzocyclobutene cycloaddition[J]. Polym Chem, 2025, 16(29): 3362-3369. |
| [1] | Ling-Yao KONG, Ji-Yong ZHAO, Min-Jie QU, Hong-Hua WANG. Preparation and Characterization of Thermosetting Poly(aryl ether ketone) with High Carbonization Rate [J]. Chinese Journal of Applied Chemistry, 2024, 41(10): 1436-1444. |
| Viewed | ||||||
|
Full text |
|
|||||
|
Abstract |
|
|||||