Chinese Journal of Applied Chemistry ›› 2025, Vol. 42 ›› Issue (8): 1135-1143.DOI: 10.19894/j.issn.1000-0518.250119
• Full Papers • Previous Articles Next Articles
Guang-Hui JIAN1, Fan YANG2(
), Hong-Xin BAI2, Yang WANG2, Li-Ming JIA2, Bao-Yi REN1
Received:2025-03-20
Accepted:2025-06-23
Published:2025-08-01
Online:2025-08-11
Contact:
Fan YANG
About author:yangfan.fshy@sinopec.comSupported by:CLC Number:
Guang-Hui JIAN, Fan YANG, Hong-Xin BAI, Yang WANG, Li-Ming JIA, Bao-Yi REN. Regeneration and Conversion of the Acetamide-Ammonium Acetate Catalytic System in the H2O2-Based Hydrazine Hydrate Production Process[J]. Chinese Journal of Applied Chemistry, 2025, 42(8): 1135-1143.
Add to citation manager EndNote|Ris|BibTeX
URL: http://yyhx.ciac.jl.cn/EN/10.19894/j.issn.1000-0518.250119
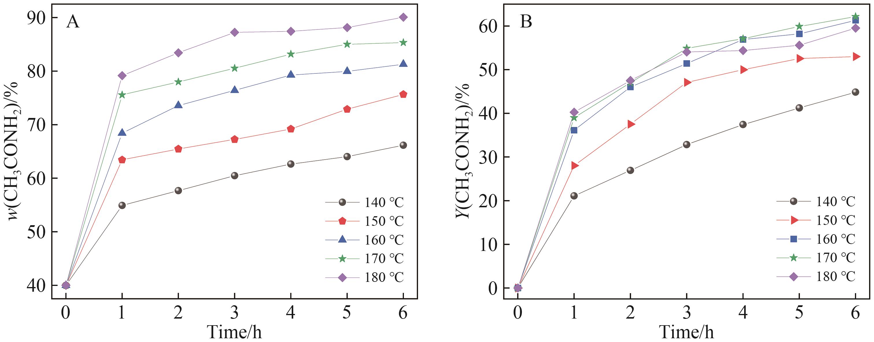
Fig.5 The loss rate of ammonium acetate and the thermal decomposition rate of the substance after 6 h reaction at different temperatures with distillation reactor
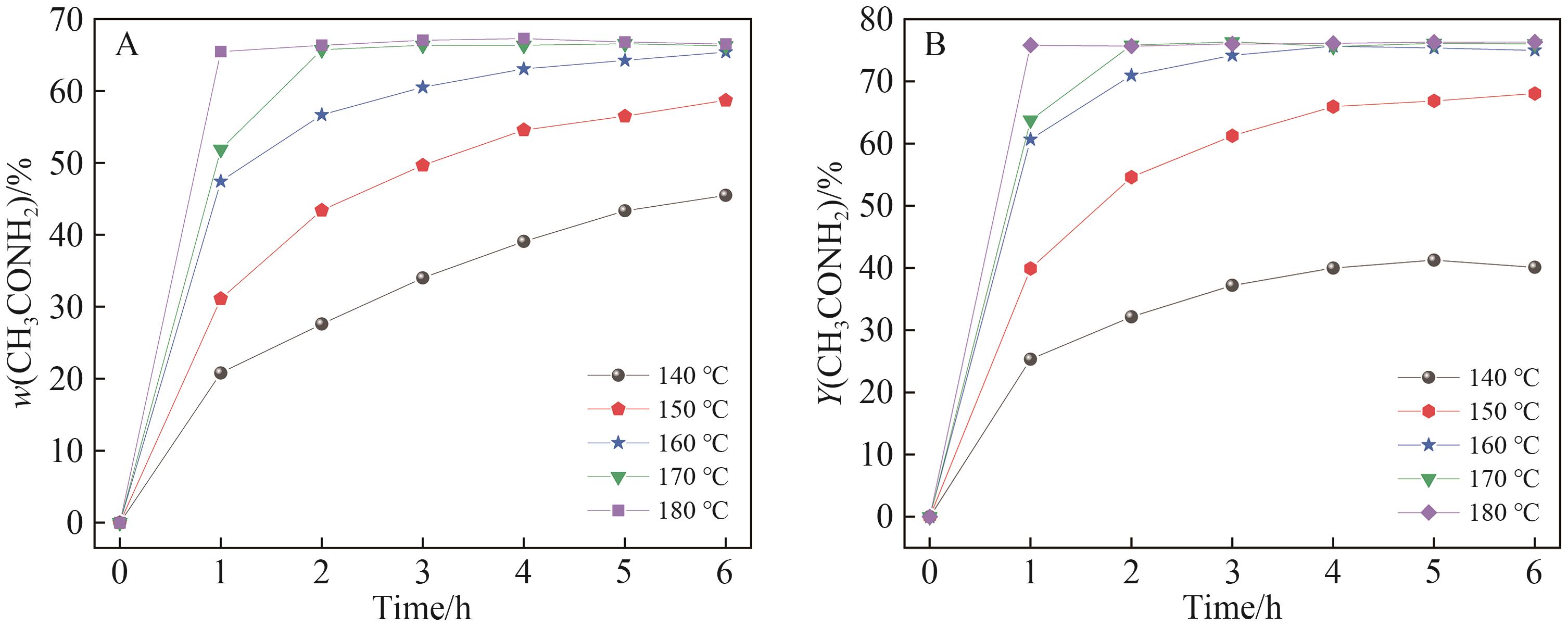
Fig.7 The loss rate of ammonium acetate and the thermal decomposition rate of substance after 6 h reaction at different ammonia flow rates with distillation reactor
| w(composition)/% | Feedstock/% | Bottom product/% | Overhead product/% |
|---|---|---|---|
| CH3CONH2 | 18.01 | 83.61 | 0 |
| CH3COONH4 | 20.09 | 1.22 | 0 |
| MEK | 1.52 | 0 | 2.08 |
| KET | 0.78 | 0 | 1.06 |
| H2O2 | 53.39 | 0 | 83.70 |
| NH3 | 6.21 | 0 | 13.16 |
| CH3COOH | 0 | 15.17 | 0 |
Table 1 Composition mass of introduction and discharge in continuous distillation experiment
| w(composition)/% | Feedstock/% | Bottom product/% | Overhead product/% |
|---|---|---|---|
| CH3CONH2 | 18.01 | 83.61 | 0 |
| CH3COONH4 | 20.09 | 1.22 | 0 |
| MEK | 1.52 | 0 | 2.08 |
| KET | 0.78 | 0 | 1.06 |
| H2O2 | 53.39 | 0 | 83.70 |
| NH3 | 6.21 | 0 | 13.16 |
| CH3COOH | 0 | 15.17 | 0 |
| [1] | 汪多仁. 水合肼的开发与应用[J]. 现代农药, 2002, 1(2): 38-40. |
| WANG D R. Development and applications of hydrazine hydrate[J]. Mod Pestic, 2002, 1(2): 38-40. | |
| [2] | LI M, ZHOU Z Z, HU L, et al. Hydrazine hydrate intercalated 1T-dominant MoS2 with superior ambient stability for highly efficient electrocatalytic applications[J]. ACS Appl Mater Interfaces, 2022, 14(14): 16338-16347. |
| [3] | GAO J Y, ZHANG Y, SUN Y, et al. A reversible redox-fluorescence switch based on Prussian blue and carbon quantum dots for dual-spectral detection of N2H4 and H2O2[J]. New J Chem, 2024, 48(36): 16026-16033. |
| [4] | GARG B, BISHT T, LING Y C, et al. Colorimetric recognition of hydrazine in aqueous solution by a bromophenol blue-tethered ion-pair-like ratiometric probe[J]. Spectrochim Acta A Mol Biomol Spectrosc, 2021, 251: 119456. |
| [5] | LI Z, DENG X, WU S, et al. Hydrazine hydrate and dissolved oxygen-triggered near-infrared chemiluminescence from CuInS2@ZnS nanocrystals for bioassays[J]. Anal Chem, 2021, 93(25): 8931-8936. |
| [6] | ZHAO J, WANG G, GAO Y, et al. Modulating the electronic structure of α-Fe2O3 by doping atomically dispersed Ce for the transfer hydrogenation of nitroaromatics using stoichiometric hydrazine hydrate[J]. ACS Sustainable Chem Eng, 2023, 11(13): 5195-5205. |
| [7] | 叶浙平, 徐国文. 水合肼合成工艺进展[J]. 浙江化工, 1998, 29(2): 9-12. |
| YE Z P, XU G W. Advances in hydrazine hydrate synthesis technology[J]. Zhejiang Chem Ind, 1998, 29(2): 9-12. | |
| [8] | 郑淑君. 水合肼的发展、现状、展望[J]. 化学推进剂与高分子材料, 2005, 3(1): 5. |
| ZHENG S J. Progress, current status, and future perspectives of hydrazine hydrate[J]. Chem Propellants Polym Mater, 2005, 3(1): 5. | |
| [9] | 沈俊, 田恒水, 朱云峰, 等. 水合肼中间体丁酮连氮的合成工艺研究[J]. 精细化工中间体, 2008, 38(3): 3. |
| SHEN J, TIAN H S, ZHU Y F, et al. Research on the synthesis process of methyl ethyl ketazine as a hydrazine hydrate intermediate[J]. Fine Chem Intermed, 2008, 38(3): 3. | |
| [10] | 王韬. 过氧化氢法制备水合肼的工艺研究[D]. 上海: 华东理工大学, 2007. |
| WANG T. Study on the preparation process of hydrazine hydrate by hydrogen peroxide method[D]. Shanghai: East China University Science Technology, 2007. | |
| [11] | 权小刚. 水合肼及其中间体丁酮连氮合成工艺的研究[D].上海: 华东理工大学, 2015. |
| QUAN X G. Study on synthetic processes of hydrazine hydrate and its intermediate methyl ethyl ketazine[D]. Shanghai: East China University Science Technology, 2015. | |
| [12] | 顾春思, 王涛, 田恒水. 过氧化氢法合成丁酮连氮的工艺研究[J]. 化学试剂, 2018, 40(1): 5. |
| GU C S, WANG T, TIAN H S. Study on the synthesis process of methyl ethyl ketazine by hydrogen peroxide method[J]. Chem Reag, 2018, 40(1): 5. | |
| [13] | 林栋君. 丁酮连氮水解催化反应精馏工艺研究[D]. 天津: 河北工业大学, 2013. |
| LIN D J. Research on the distillation process of catalytic hydrolysis of butanone azide[D]. Tianjin: Hebei University of Technology, 2013. | |
| [14] | 权小刚, 田恒水, 齐鸣斋. 丁酮连氮反应精馏制取水合肼工艺过程的研究[J]. 天然气化工, 2016, 41(2): 4. |
| QUAN X G, TIAN H S, QI M Z. Research on the process of producing hydrazine by distillation of dioxan nitroso reaction[J]. Nat Gas Chem Ind, 2016, 41(2): 4. | |
| [15] | 王韬, 田恒水, 沈俊. 丁酮连氮水解制肼的工艺研究[J]. 广东化工, 2007, 34(7): 3. |
| WANG T, TIAN H S, SHEN J. Study on the hydrolysis process of methyl ethyl ketazine for hydrazine production[J]. Guangdong Chem Ind, 2007, 34(7): 3. | |
| [16] | 沈俊, 田恒水, 朱云峰, 等. 丁酮连氮水解制水合肼的工艺研究[J]. 广东化工, 2008, 35(9): 3. |
| SHEN J, TIAN H S, ZHU Y F, et al. Study on the hydrolysis process of methyl ethyl ketazine for hydrazine hydrate production[J]. Guangdong Chem Ind, 2008, 35(9): 3. | |
| [17] | 吴晓旺. 丁酮连氮水解反应精馏工艺的研究[D]. 天津: 河北工业大学, 2013. |
| WU X W. Study on reactive distillation process for methyl ethyl ketazine hydrolysis[D]. Tianjin: Hebei University of Technology, 2013. | |
| [18] | 李柏春, 孟楷, 吴晓旺, 等. 丁酮连氮高压非催化水解制肼动力学研究[J]. 河北工业大学学报, 2014(1): 5. |
| LI B C, MENG K, WU X W, et al. Kinetic study on non-catalytic hydrolysis of methyl ethyl ketazine to hydrazine under high pressure[J]. J Hebei Univ Technol, 2014(1): 5. | |
| [19] | 范宁. 水合肼生产工艺的研究与开发[D]. 青岛: 山东科技大学, 2016. |
| FAN N. Research and development of hydrazine hydrate production technology[D]. Qingdao: Shandong University Science Technology, 2016. | |
| [20] | 周永红. 国外先进的水合肼生产工艺[J]. 湖南化工, 1995, 25(4): 1-5. |
| ZHOU Y H. Advanced hydrazine hydrate production technologies abroad[J]. Hunan Chem Ind, 1995, 25(4): 1-5. | |
| [21] | 乔治斯·布伦, 雷米·L·朱林, 让-菲利普·里卡德. 肼的制备方法: 中国, 1252403A[P]. 2000-05-10. |
| GEORGES B, REMY L J, JEAN-PHILIPPE R. Process for preparing hydrazine: CN, 1252403A[P]. 2000-05-10. | |
| [22] | 任丽君, 刘喆, 武金丹, 等. 一种水合联氨中间体合成用催化剂的回收方法: 中国, 114380708A[P]. 2022-04-22. |
| REN L J, LIU Z, WU J D, et al. Recovery method of catalyst for synthesis of hydrazine hydrate intermediate: CN, 114380708A[P]. 2022-04-22. | |
| [23] | 熊英, 湛昌国. 甲酰胺碱性水解历程与活化自由能的理论计算[J]. 华中师范大学学报(自然科学版), 2004,38(3): 344-346. |
| XIONG Y, ZHAN C G. Theoretical calculation of alkaline hydrolysis mechanism and activation free energy for formamide[J]. J Cent China Norm Univ (Nat Sci Ed), 2004, 38(3): 344-346. |
| [1] | Shuai HAO, Dongmei JIANG, Lisheng LIU, Xiaoteng ZHANG, Junchang CHEN, Liangshu XIA. Research Progress on Hydrazine Hydrate Reduction of Metal [J]. Chinese Journal of Applied Chemistry, 2018, 35(7): 756-766. |
| [2] | CAI Haokun, ZHANG Jian, LU Ping, LEI Kewei, DONG Jian. Polymer Microgel-Supported Ni Catalysts and Their Catalytic Reduction of Aromatic Nitro Compounds [J]. Chinese Journal of Applied Chemistry, 2015, 32(8): 892-899. |
| [3] | JIANG Liuping, KANG Congmin, LV Yingtao*. Synthesis of 6-(3-Aminophenyl)-4,5-dihydropyridazin-3(2H)-one [J]. Chinese Journal of Applied Chemistry, 2014, 31(10): 1191-1194. |
| [4] | WANG Yingying, LI Huachun, TAN Kejun*. Determination of Trace Mercury with Thioacetamide in Environmental Water Samples by Resonance Light Scatting [J]. Chinese Journal of Applied Chemistry, 2012, 29(02): 233-237. |
| [5] | CAI Ke-Ying*, LIU Chang-Ning, ZHOU Ying-Mei, YUE Wei. Reduction of aromatic nitro compounds with hydrazine hydrate catalyzed by bismuth oxide hydroxide supported on activated carbon [J]. Chinese Journal of Applied Chemistry, 2009, 26(09): 1080-1083. |
| [6] | Dai Guiyuan, Shi Daqing, Zhou Longhu. Knoevenagel Condensation Catalyzed by Potassium Fluoride/Alumina [J]. Chinese Journal of Applied Chemistry, 1995, 0(3): 103-104. |
| [7] | Liu Zhaojie, He Hongwu, Li Zhirong, Wan Shuqing. Studies on Biologically Active Organophosphorus Compounds Ⅸ. Synthesis and Biological Activities of Glycinamide Containing Phosphorus Derivatives [J]. Chinese Journal of Applied Chemistry, 1995, 0(2): 63-66. |
| [8] | Chen Jianrong, Zhou Zhirui, Tang Fulong. ADSORPTION OF GOLD BY IMPREGNATED RESIN N503 AND ITS APPLICATION IN ANALYSIS OF GOLD IN ORES [J]. Chinese Journal of Applied Chemistry, 1992, 0(3): 15-19. |
| [9] | Yang Ling, Li Xinglin, Liu Shuying, Li Chenxi, Chen Ruyu. SUBSTITUENT EFFECTS IN ELECTRON IMPACT MASS SPECTRA OF p-TOLYLSULFONAMIDE ACETAMIDES [J]. Chinese Journal of Applied Chemistry, 1991, 0(4): 48-51. |
| [10] | Lou Fangbiao, Zhuang Shangrui. SYNERGETIC EXTRACTION-ELUTING SEPARATION AND ENRICHMENT OF GOLD AND PALLADIUM WITH PSO+N503 RESIN [J]. Chinese Journal of Applied Chemistry, 1990, 0(3): 14-18. |
| [11] | Dong Yanjie, Yang Zichao, Wang Xiushan, Yan Jumei. STUDY ON THE MECHANISM OF EXTRACTION OF PALLADIUM BY DI(1-METHYL-HEPTYL)ACETAMIDE [J]. Chinese Journal of Applied Chemistry, 1990, 0(1): 33-37. |
| Viewed | ||||||
|
Full text |
|
|||||
|
Abstract |
|
|||||