Chinese Journal of Applied Chemistry ›› 2025, Vol. 42 ›› Issue (9): 1221-1232.DOI: 10.19894/j.issn.1000-0518.250015

• Full Papers • Previous Articles     Next Articles

Isothermal Crystallization Kinetics of Ethylene Vinyl Alcohol Copolymer

Long ZHOU, Yu-Jing TANG(), Yi-Jing JIA, Xiao-Min LI, Ying-Nan DENG, Si-Jia WEI   

  1. Sinopec Beijing Research Institute of Chemical Industry,Beijing 100013,China
  • Received:2025-01-07 Accepted:2025-07-17 Published:2025-09-01 Online:2025-09-28
  • Contact: Yu-Jing TANG
  • About author:tangyj.bjhy@sinopec.com
  • Supported by:
    SINOPEC Project(222101)

Abstract:

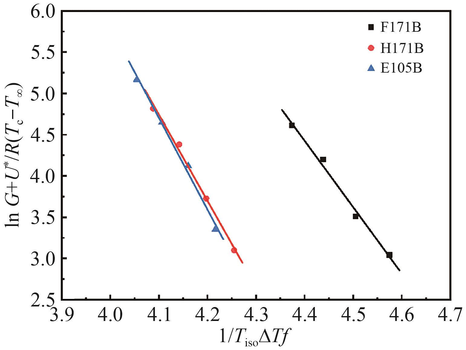
The isothermal crystallization kinetics and thermodynamics of three ethylene vinyl alcohol copolymers (EVOH) with different ethylene content (molar percent 32%, 38% and 44%) were studied by differential scanning calorimetry (DSC). The extrapolation curves of the dependence relationship between linear growth rate and crystallization temperature were obtained according to H-L theory. The results showed that with the increase of ethylene content, the equilibrium melting point of EVOHs decreased to 219.6, 218.7 and 216.8 ℃, respectively. The three EVOHs showed mixed growth characteristics of two-dimensional and three-dimensional in the primary crystallization, and one-dimensional growth in the secondary crystallization. The calculation of the fold surface free energy showed that ethylene segment has a blocking effect on the molecular chain folding of EVOHs. The crystallization rate of EVOHs slowed down with the increase of ethylene content under low subcooling condition. It was predicted that the crystallization rate of three different ethylene contents EVOHs reversed at about 135 ℃, and the fastest crystallization rate was found at 112, 104 and 101 ℃, respectively.

Key words: Ethylene vinyl alcohol copolymer, Equilibrium melting point, Isothermal crystallization kinetics

CLC Number: