Chinese Journal of Applied Chemistry ›› 2025, Vol. 42 ›› Issue (7): 930-944.DOI: 10.19894/j.issn.1000-0518.240427
• Full Papers • Previous Articles Next Articles
Xue-Qiang CAO1(
), Jia-Min ZENG2, Yao SHI2, Ying-Jing YUAN2, Xiang FANG2, Guang DU1, Long-Hui DENG1, Jia-Ning JIANG1
Received:2024-12-15
Accepted:2025-06-17
Published:2025-07-01
Online:2025-07-23
Contact:
Xue-Qiang CAO
About author:xcao@whut.edu.cnSupported by:CLC Number:
Xue-Qiang CAO, Jia-Min ZENG, Yao SHI, Ying-Jing YUAN, Xiang FANG, Guang DU, Long-Hui DENG, Jia-Ning JIANG. Corrosion of Thermal Barrier Coatings in Atmospheric Environment[J]. Chinese Journal of Applied Chemistry, 2025, 42(7): 930-944.
Add to citation manager EndNote|Ris|BibTeX
URL: http://yyhx.ciac.jl.cn/EN/10.19894/j.issn.1000-0518.240427
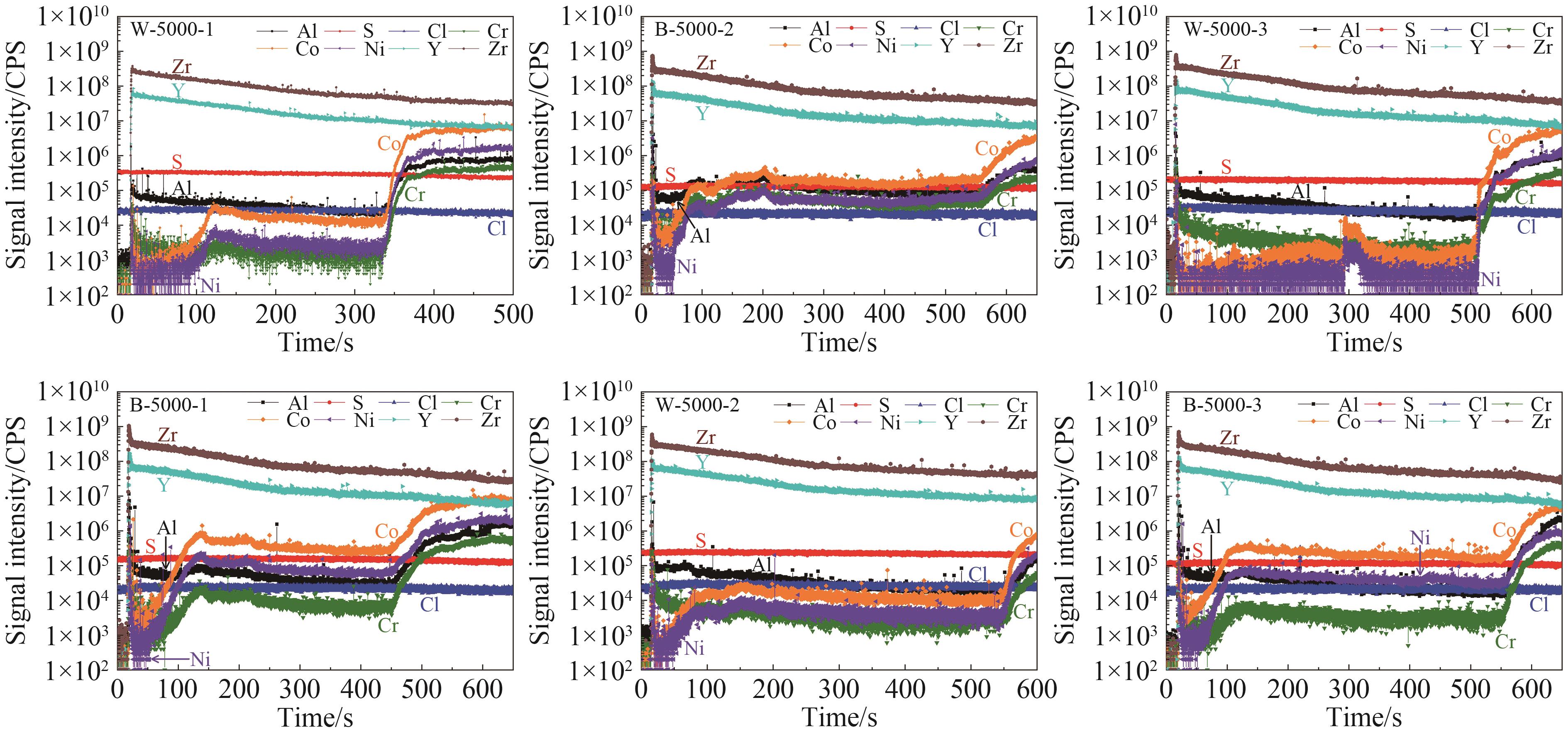
Fig.16 SEM of TBCs after being soaked composition a (A), composition b (B) and composition (C) for 10 days in the three compositions of fluorocarbon coating
| [1] | RAJENDRAN R. Gas turbine coatings-an overview[J]. Eng Fail Anal, 2012, 26: 355-369. |
| [2] | 陈守东. MCrAlY粘结层的微观组织及制备方法研究进展[J]. 材料导报, 2019, 33(15): 2582-2588. |
| CHEN S D. Research progress on microstructure and preparation methods for MCrAlY bond coats[J]. Mater Rep, 2019, 33(15): 2582-2588. | |
| [3] | 常振东,张婧,牟仁德,等. NiCrAlYSi粘结层合金相结构与性能研究[J]. 真空, 2022, 59(4): 41-47. |
| CHANG Z D, ZHANG J, MOU R D, et al. Phase structure and properties of a NiCrAlYSi bond coating alloy[J]. Vacuum, 2022, 59(4): 41-47. | |
| [4] | CAO X Q, VASSEN R, FISHER W, et al. Ceramic materials for thermal barrier coatings[J]. J Eur Ceram Soc, 2004, 24: 1-10. |
| [5] | CAO X Q, VASSEN R, JUNGEN W, et al. Thermal stability of lanthanum zirconate plasma-sprayed coatings[J]. J Am Ceram Soc, 2001, 84(9): 2086-2090. |
| [6] | CAO X Q, VASSEN R, FISCHER W, et al. Lanthanum cerium oxide as thermal barrier coating material for high temperature applications[J]. Adv Mater, 2003, 15(17): 1438-1442. |
| [7] | 曹学强(著). 热障涂层新材料和新结构[M]. 北京: 科学出版社, 2016: 15-44. |
| CAO X Q. New materials and new structures for thermal barrier coatings[M]. Beijing Science Press, 2016: 15-44. | |
| [8] | PADTURE N P, GELL M, JORDAN E H. Thermal barrier coatings for gas-turbine engine applications[J]. Science, 2002, 296: 280-284. |
| [9] | CAO X Q, VASSEN R, WANG J, et al. Degradation of zirconia in moisture[J]. Corr Sci,2020, 176: 109038. |
| [10] | 曹沁, 袁洁燕, 王进双, 等. 热障涂层表面腐蚀斑点的形成机理研究[J]. 热喷涂技术, 2019, 11(1): 9-22. |
| CAO Q, YUAN J, WANG J, et al. Formation mechanism of corrosion spots on thermal barrier coatings[J]. Therm Spray Technol, 2019, 11(1): 9-22. | |
| [11] | LARSSEN T, LYDERSEN E, TANG D, et al. Acid rain in China[J]. Env Sci Technol, 2006, 40(2): 418-425. |
| [12] | 沈镭,薛静静. 中国能源安全的路径选择与战略框架[J]. 中国人口·资源与环境, 2011, 21(10): 49-54. |
| SHEN L, XUE J J. Development path choice and strategy framework of China's energy security[J]. China Popul Resour Environ, 2011, 21(10): 49-54. | |
| [13] | 丁宁. 煤炭中造成大气污染有害元素的分析[J]. 中国标准化, 2018, 9: 163-164. |
| DING N. Analysis of harmful elements causing air pollution in coal[J]. China Stand, 2018, (18): 163-164. | |
| [14] | CHEN X, SHAN X, SHI Z. Analysis of the spatio-temporal changes in acid rain and their causes in China (1998-2018)[J]. J Res Ecol, 2021, 12(5): 593-599. |
| [15] | 张舵, 许瑞广, 赵一飞, 等. 2006-2021年中国酸雨年际变化特征分析[J]. 环境污染与防治,2023,45(6): 849-854. |
| ZHANG D, XU R G, ZHAO Y F, et al. Interannual variation characteristics of acid rain from 2006-2021 in China[J]. Environ Pollut Control, 2023, 45(6): 849-854. | |
| [16] | 杜广, 芦国强, 邓龙辉, 等. 铝含量对镍铝合金在稀硫酸溶液中的腐蚀行为影响[J]. 中国腐蚀与防护学报, 2024, 44(4): 1011-1021. |
| DU G, LU G Q, DENG L H, et al. Effect of aluminum content on corrosion behavior of Ni-Al alloys in dilute sulfuric acid solution[J]. J Chin Soc Cor Prot, 2024, 44(4): 1011-1021. | |
| [17] | 蔡妍, 李建平, 汤智慧, 等. DZ125合金HY3包覆型涂层退除研究[J]. 装备环境工程, 2018, 15(12): 115-119. |
| CAI Y, LI J P, TANG Z H, et al. Removing HY3 coating on DZ125 alloy[J]. Equip Env Eng, 2018, 15(12): 115-119. | |
| [18] | 李建平, 吴凤筠, 李伟光. DZ125合金HY3涂层防护性能研究[J]. 材料工程, 1998, 7: 12-14. |
| LI J P, WU F J, LI W G. Study of protective performance of HY3 coating on DZ125 superalloy[J]. Mater Eng, 1998, 7: 12-14. | |
| [19] | 中国空气质量在线监测分析平台历史数据https://www.aqistudy.cn/historydata/[DB]. |
| Historical data from China Air Quality Online Monitoring and Analysis Platform, https://www.aqistudy.cn/historydata/[DB]. | |
| [20] | SEFER B, VIRTANEN S. Electrochemical and corrosion study of as-cast NixAly intermetallic alloys: influence of alloy composition and electrolyte pH[J]. Cor Sci, 2019, 154: 287-304. |
| [1] | Hou-Ran WU, Chun-Ming HOU, Ti-Gang DUAN, Li MA, Hai-Bing ZHANG, Jin-Tao WANG. Electrochemical Properties of Al-Ga-In-Sn-Si Alloy Anodes and Seawater Dissolved Oxygen Batteries [J]. Chinese Journal of Applied Chemistry, 2024, 41(5): 703-711. |
| [2] | YAN Yin1*,LIU Ruiquan2. Synthesis of Aryloxymethyl Imidazolinium Quaternary Ammonium Salt and Its Evaluation as A Corrosion Inhibitor [J]. Chinese Journal of Applied Chemistry, 2014, 31(07): 852-859. |
| [3] | ZHANG Shenyang, LIAO Qiangqiang*, XU Shaodi, YANG Dong, ZHAO Lulu, GE Honghua. Inhibitive Effect of the Self-assembled Monolayers of Dithiocarbamate Modified Glucose on Copper Surface [J]. Chinese Journal of Applied Chemistry, 2013, 30(05): 596-601. |
| [4] | GUO Lei, HU Ge, LI Wenpo*, ZHANG Shengtao. Underpotential Deposition of Zinc on Au Electrode [J]. Chinese Journal of Applied Chemistry, 2013, 30(02): 214-219. |
| [5] | LI Xianghong1*, DENG Shuduan2, FU Hui1. Corrosion Inhibition of Yushania Polytricha Leaves Extract for Aluminum in Hydrochloric Acid Media [J]. Chinese Journal of Applied Chemistry, 2012, 29(08): 962-968. |
| [6] | HU Lianyue, ZHANG Shengtao*, HUANG Xiaohong, TAN Jianhong, WU Yongying. Influence of Additives on the Dendrite of Zinc Electrode in KOH Solution [J]. Chinese Journal of Applied Chemistry, 2012, 29(03): 359-363. |
| [7] | LI Xianghong1*, DENG Shuduan2, FU Hui1. Corrosion Inhibition of 2-Aminopyrimidine for Steel in Hydrochloric Acid Media [J]. Chinese Journal of Applied Chemistry, 2012, 29(02): 209-215. |
| [8] | JI Eyu1*, CHEN Hailing1, LI Changming2. Pitting Corrosion of Stainless Steel Pipes via MnS Dissolution and Microbial Corrosion [J]. Chinese Journal of Applied Chemistry, 2012, 29(01): 100-105. |
| [9] | LI Xiang-Hong1*, DENG Shu-Duan2, FU Hui1, MU Guan-Nan3. Synergistic Inhibition Effect of Rare Earth Ce4+ and Vanillin on the Corrosion of Cold Rolled Steel in H3PO4 Media [J]. Chinese Journal of Applied Chemistry, 2010, 27(07): 836-841. |
| [10] | DIAO Wei-Min1*, YU Dao-Yong2. Function of Garlic as Corrosion Inhibitor in Oil Field [J]. Chinese Journal of Applied Chemistry, 2009, 26(09): 1050-1053. |
| [11] | LI Xiang-Hong1*, DENG Shu-Duan2, FU Hui1. Corrosion inhibition of red tetrazolium for cold rolled steel in hydrochloric acid media [J]. Chinese Journal of Applied Chemistry, 2009, 26(09): 1075-1079. |
| Viewed | ||||||
|
Full text |
|
|||||
|
Abstract |
|
|||||