以双酚A型聚砜(PSF)为基质材料,通过傅-克烷基化反应在PSF主链引入—NCO活性基团,制备乙基异氰酸化聚砜(PS-SA)。 在制备PS-SA的基础上,采用两步一锅法,PS-SA与2-萘酚-6,8-二磺酸钾通过亲核取代反应,制备一种侧链含有萘环的萘磺酸型磺化聚砜PS-NS,充分表征聚合物的化学结构,以溶液浇注的方法制备质子交换膜,研究了温度对PS-NS膜的吸水率(WU,Water Uptaking)、吸水溶胀性(Swelling Ratio)、质子传导率(Proton Conductivity)等基本性能的影响。 结果表明,PS-NS膜由于亲水基团距离较远,能够很容易形成相分离结构,所制备的质子交换膜高WU下尺寸稳定性仍然很高,其中PS-NS-4膜(磺酸基团键合量为1.42 mmol/g)在25和85 ℃的WU高达27.2%和40.3%,但是相应的吸水溶胀性仅为25.2%和57.2%,与相同条件下Nafion115膜的性能十分接近。
Ethyl isocyanate polysulfone (PS-SA) was prepared by introducing the —NCO active group onto the main chain of bisphenol A polysulfones matrix by the Friedel-Crafts alkylation reaction. Naphthalene sulfonic acid modified polysulfone (PS-NS) was obtained by using 2-naphthol-6,8-disulfonic acid dipotassium as the nucleophilic reagent in one pot. The PS-NS proton exchange membranes(PEMs) were fabricated by solution casting. The relationship between temperature and the basic properties including water uptake, swelling ratio and proton conductivity were explored. PS-NS exhibits excellent dimensional stability at high water sorption because they can form phase separation structure by locating the hydrophilic group far away from the main chain of polysulfones. The water uptake of PS-NS-4 PEMs(the bonding amount of sulfonic groups is 1.42 mmol/g) is as high as 27.2% at 25 ℃ and 40.3% at 85 ℃, but the corresponding swelling ratio is only 25.2% and 57.2%. The properties are very close to that of Nafion115 membrane under the same condition.
由于日益增长的能源危机和环境污染问题,燃料电池的研发引起了各国科学家的关注,燃料电池是一种新型的能量供给装置,它将物质的化学能转化为电能,由于它的能量效率高、启动速度快和清洁无污染等优点,符合当前人们所追求的绿色环保[1,2],比如可移动功能装置、新能源汽车、便携式武器功能制备等[3,4]。 燃料电池的性能主要由质子交换膜(PEMs)决定,PEMs在电池工作中起着传递质子和隔绝气体反应物的作用,美国杜邦公司生产的Nafion膜由于良好的综合性能长期垄断着膜材市场,市场份额很高,它是以亲水磺酸基团为亲水部分,全氟乙烯骨架为疏水部分的功能高分子材料,分子结构形成的梳状结构使之热力学性能、耐氧化性能和质子传导性能非常优越[5,6]。 但是,它自身存在的一些缺点,比如,制备成本高昂、燃料气透过率高和使用温度低等,限制了其在更宽的领域使用,目前,有很多种方法尝试解决这些问题,但是效果甚微,其中,寻找一种非氟膜材取代物引起了研究人员的兴趣[7]。
聚砜是一种主链含有苯环的芳香族聚合物,具有优越的热性能、机械性能和良好的加工性能,设法在聚砜分子结构上引进亲水质子交换的基团,制备改性聚砜膜材,是一种非常具有发展前途的改性方法[8,9],根据亲水基团和聚合物主链的位置不同,膜材有主链型和侧链型该性聚合物膜材,主链型膜材是将亲水基团直接引入高分子主链,亲水基团吸收的水分距离高分子骨架很近,影响了骨架保持膜材的稳定性,常常会导致膜材吸水溶解破裂,严重影响了它的使用,这种方法制备的膜材很难取得实际应用[10]。 对分子结构进行设计,在高分子主链引出一小段侧链,侧链引进传导质子的基团,由于中间间隔一段侧链,亲水基团吸收的水分子很难对高分子主链造成很大的影响,即使吸水很多,膜材仍能稳定存在,这为高性能的膜材的制备开辟了一条新的路径[11]。 近年来,以芳香聚合物为前驱体,通过分子设计制备侧链型磺化芳香聚合物PEMs,已经成为制备高性能膜材非常重要的手段之一。 Kobayashi团队[12]成员比较了主链型和侧链型高分子PEMs,明显的相分离结构增强了膜材的性能,侧链型PEMs在相同温度下的综合性能优势很明显。 Liu等[13]通过在高分子主链引出侧链,侧链末端引进多个磺酸基团,吸水效率增强,该膜材的相分离程度明显增加,以此作为膜材制备的PEMs的质子传导率(PC)和尺寸稳定性,80 ℃的PC最高达到0.171 S/cm,远高于商业化的Nafion系列膜。
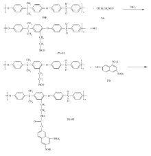
在前期的探索中,我们通过在聚砜主链引进一小段侧链,侧链末端设法引进亲水基团的方法,制备了一系列芳香侧链型膜材、脂肪侧链型膜材、萘磺酸型侧链磺化聚砜膜材[14,15],由于亲疏区域距离较远,膜材在高吸水下的尺寸稳定性优越。 基于此,本研究以双酚A型聚砜(PSF)为基础,采用不同的合成路线,通过后磺化法在主链引入活性基团—NCO,在不分离的情况下,使—NCO与2-萘酚-6,8-二磺酸钾(NS)发生反应,获得了侧链含有刚性萘环的萘磺酸型侧链磺化聚砜膜材PS-NS(图1),亲疏水区域中间间隔着具有较大空间位阻的萘环,使得它们之间相距甚远,同时,一个萘环含有两个亲水磺酸基团,与苯磺酸型磺化聚砜PEMs膜材相比,该膜材的亲水链段更好,所制备的PEMs在高吸水率仍能具有优越的尺寸稳定性和阻醇性能,PS-NS有望用于燃料电池中,希望研究结果对于高性能膜材的设计和制备具有重要的参考价值。
聚砜(PSF)(
VECTOR-22型傅里叶变换红外光谱仪(FT-IR,德国布鲁克公司);N4S型紫外-可见分光光度计(UV-Vis,上海精科仪器有限公司);AV300型核磁共振波谱仪(NMR,德国布鲁克公司);CHI660E型电化学工作站(上海辰华仪器有限公司)。
1.2.1 功能高分子的制备
在洁净的四口烧瓶中加入0.66 g的PSF,并用50.0 mL的DMF溶解,通入N2气排干净其中空气后,加入1.30 mL的氯乙基异氰酸酯和路易斯酸催化剂四氯化锡1.30 mL, 加热混合液至60 ℃并控制反应时间,得到侧链键合乙基异氰酸酯基团的改性聚砜(PSF-SA)的混合液。
为了避免异氰酸跟基团与羟基发生反应失活,采用一锅法,直接以PS-SA混合液为基础,加热混合液至110 ℃,同时加入2-萘酚-6,8-二磺酸钾(NS)、适量催化剂二月桂酸二丁基锡,控制反应时间,制备一些列萘磺酸基团键合量不同的PS-NS,混合液用无水乙醇沉淀出目标物,沉淀物经过离心分离、多次洗涤、干燥等阶段得到PS-NS。
1.2.2 功能聚合物的表征
通过紫外分光光度法计算磺酸基团的含量:首先通过紫外做出萘磺酸基团( λ=289 nm)的标准曲线,然后测试上清液(200 mL无水乙醇和50 mL的二甲基亚砜(DMSO))的吸光度,通过标准曲线测出上清液中萘磺酸的含量,结合NS的加入量,计算萘磺酸基团的键合量。
1.3.1 PEM的制备
用氯仿溶解0.3 g的PS-NS膜材,待其溶解后倒入培养皿中,蒸发溶剂氯仿,用蒸馏水将薄膜脱出,经过干燥得到薄膜(60~65 μm)。 薄膜盐酸(4 mol/L)溶液浸泡,更换数次盐酸溶液,最终使得Na+变为H+,得到PEM,膜样品用蒸馏水洗涤多次直到pH值不变, PEM置于水中进行保存。
1.3.2 吸水率(WU)和吸水溶胀性(SW)
将一定质量、边长已知正方形的PS-NS膜在100 ℃下彻底烘干,用蒸馏水进行浸泡,充分吸水溶胀,取出后立即用纸吸干样品表面,测量湿膜质量和边长,通过式(1)和式(2)分别计算WU和SW。
式中, m1和 m2分别是干膜和湿膜的质量(g), L1和 L2分别是干膜和湿膜的边长(m)。
1.3.3 PC
将上述制备好的膜样品,测量其厚度,在100%湿度和一定温度下测定膜电阻,通过下列公式计算薄膜的质子传导率。
式中, A、 L和 R分别是PEM样品的面积(cm2)、边长(cm)和电阻(Ω)。
1.3.4 甲醇扩散系数(DK)
在室温下,用待测薄膜样品间隔具有两个对称玻璃半室的扩散池,玻璃半室分别加入甲醇溶液和蒸馏水,并用磁力搅拌不停进行搅拌,用气相色谱法测定半室中甲醇的浓度,通过下列公式计算甲醇扩散系数(DK)。
式中, A和 L分别是PS-NS膜的面积(m2)和厚度(m), c0、 ct、 VB分别是甲醇初始浓度(mmol/L)、时间为 t(s)时的浓度(mmol/L)和体积(L)。
1.3.5 抗氧化稳定性
将制备好的质子交换膜样品置于80 ℃的Fenton's 试剂中1 h,测试膜样品前后的质量变化,并记录膜材表面开始溶解的时间,通过膜材质量保留率和开始溶解的时间来衡量膜材的抗氧化稳定性。
图2为PSF和PS-NS的FT-IR谱图。 在PSF的FT-IR谱图中,—SO2—基团的化学位移在1080、1325和1295 cm-1处,1245和1015 cm-1处特征吸收峰属于芳香醚;在1585和1490 cm-1 处的特征吸收峰属于苯环。 在PSF-NS的FT-IR谱图中,与PS的图谱相比,多出现了4个明显的特征吸收峰,3303 cm-1处的吸收峰属于N—H键的特征吸收峰,苯环三元取代的特征吸收峰出现在880 cm-1处,磺酸基团的特征吸收峰出现在1032和1505 cm-1处。 可见,PS-NS被成功制备。
图3为PSF和PSF-NS的1H NMR谱图。 在PSF的核磁图(图3A)中,主链苯环上b(6.83)、c(6.88)、d(7.21)、e(7.05)、f(7.19)、g(7.99)、m(7.85)和n(7.25)处质子的化学位移分别在图中标出,在主链甲基质子的化学位移在1.72处。图3B为PS-NS的1H NMR谱图,其中2.80和2.88分别是侧链i和j处质子的化学位移,1.75处是甲基质子的化学位移,侧链o、p、k和q质子的化学位移分别出现在7.86、7.83、7.46和7.36处,由于主链众多质子的化学位移相互重合,在6.67~7.03处出现一组大的吸收峰。 以上结果表明,PS-NS已经被成功制备。
在上述适宜的制备条件下,制备了磺酸基团键合量分别是0.93、1.01、1.23和1.42 mmol/g的功能聚合物,并通过流延成膜法制备了相应的薄膜,4种不同磺酸基团含量的PS-NS分别记为PS-NS-1、PS-NS-2、PS-NS-3和PS-NS-4,测量它们室温下的离子交换容量(IEC),WU和甲醇扩散系数(DK),如表1所示。
| 表1 PS-NS质子交换膜的基本性能 Table 1 Basic properties of PS-NS proton exchange membranes |
表1所示,随着磺酸基团含量的上升,膜材的可交换位点数增加,导致IEC和WU增加,同时可以看出,该膜材表现出很好的WU,PS-NS-4室温的WU与Nafion115十分接近,但是表现出很好的阻醇性能,PS-NS-4膜的阻醇性强于Nafion115膜。
2.3.1 WU与温度之间的关系
WU是质子交换膜的重要的性能之一,膜材吸收足够的水分,亲水基团结合水分子形成的水和离子簇相互连接,为质子提供传输通道。图4是质子交换膜的WU与温度之间的变化关系。 可见,相同的温度下,磺酸基团越多,膜材WU越大,而且随着温度的升高,膜材的WU增加,这都符合质子交换膜温度对WU的变化规律,这是因为水和离子簇的运动能力增强,相互之间作用力增大更容易相互结合,同时,受热胀冷缩的影响,水和离子簇相互结合形成的离子传输通道更宽,两种因素都有利于WU的提高。 PS-NS-4的膜材具有较好的WU,它在常温和85 ℃的WU分别高达27.2%和40.3%,与Nafion115膜的WU十分接近,这可能与它的分子结构有关,刚性苯环的引入,使得磺酸基团与疏水主链的距离增加,主链对亲水区域的影响变小,膜材吸收更多的水分,这也折射出侧链型膜材的性能优势所在[16,17]。
2.3.2 SW与温度之间的关系
膜材吸收足够的水分,会导致吸水溶胀,溶胀性过高导致尺寸稳定性差,缩短了使用寿命,影响了燃料电池的正常使用,因此,膜材要平衡好吸水和尺寸稳定性之间的关系。 尺寸稳定性用膜材的SW来衡量,SW越大,膜材的尺寸稳定性越差。图5是温度与SW的变化关系。 一般来说,SW随着WU的增大而提高,所以该质子交换膜的WU随着温度升高而增大,为了追求质子交换膜的高WU,往往忽略了膜材的SW,最终影响了PEM的使用。 一些主链型质子交换膜由于亲水部分与疏水部分距离较近,相互影响比较大,特别是磺酸键合量特别高时,导致PEM过高的SW,有的主链型膜材甚至发生破裂和溶解,严重影响了燃料电池的使用。 PS-NS膜材在高WU下仍能保持很好的尺寸,克服了一些主链型膜材存在的致命缺点,这可能是因为,刚性萘环的引入,一方面增加了膜材的机械性能,抗溶胀能力增加,另一方面,刚性萘环的引入导致亲水部分远离疏水主链,从分子水平形成了一种梳状结构,水分子的活动区域被限制在亲水部分,对疏水主链的影响降低了,使之保持很好的尺寸稳定性[18,19]。 其中PS-NS-4在25 ℃和85 ℃的WU虽然高达27.2%和40.3%,但是相应的SW仅为25.2%和57.2%,能够满足质子交换膜燃料电池对尺寸稳定性的要求。
2.3.3 PC与温度之间的关系
质子交换膜最主要的功能就是进行质子传导,它为外电路提供一个闭合回路,因此,PC的大小最终决定了膜材使用。图6给出了PC与温度之间的关系曲线。相同的温度下,磺酸基团多可交换的离子增多,质子传导能力随着磺酸基团含量的增加而增加,当温度升高时,磺酸基团增多,水和离子簇增多,可以形成更多的传输通道,而温度升高,水和离子簇运动能力加强,有利于形成水和离子簇,最终导致膜材的质子传导能力增强。 由于亲水区域远离疏水主链,相分离程度更明显,同时,质子传输通道更宽,这些因素均有利于质子传输性能的提高。 PC最高的PS-NS-4膜在25和85 ℃的PC达到0.079和0.141 S/cm,高于一些主链型磺化芳香族聚合物膜材,满足燃料电池对膜材PC的最低要求(0.01 S/cm)[20,21]。
2.3.4 抗氧化稳定性
燃料电池在工作过程中会产生HOO·和HO·等自由基,这些自由基会攻击质子交换膜,致使膜材发生破裂甚至溶解,大大降低了膜材的使用寿命,严重影响了膜材的使用寿命,因此,具有较好的抗氧化稳定性对于一个质子交换膜来说非常重要[22,23]。 本研究所制备的质子交换膜在Fenton's实际浸泡过程中保持很好的抗氧化稳定性(表2),浸泡1 h,它们的质量保留率在96%以上,浸泡7 h,虽然膜材由失重现象,但是膜材表面仍然光滑,表现出良好的抗氧化稳定性。
| 表2 PS-NS膜材的抗氧化稳定 Table 2 Oxidative resistance of PS-NS proton exchange membrane |
以双酚A型聚砜作为基础,首先引入异氰酸酯基团,采用一锅法直接与2-萘酚-6,8-二磺酸钾反应获得了萘环酸型侧链磺化聚砜膜材PS-NS,用红外和核磁充分表征了它们的化学结构,并优化了反应条件。 采用流延成膜法制备相应的质子交换膜,主要探索了温度对吸水性、尺寸稳定性和质子传导率等性能。 PS-NS膜在高吸水率下仍具备优越的尺寸稳定性, PS-NS膜的吸水能力、尺寸稳定性、质子传导能力随着温度的上升而增加,其中PS-NS-4在25和85 ℃的吸水率分别高达27.2%和40.3%,但是相应的吸水溶胀性仅为25.2%和57.2%,与相同条件下Nafion115膜的性能十分接近。 本研究所制备的质子交换膜具有良好的综合性能,有望用于燃料电池的实际应用,对于高性能高分子聚电解质膜材的设计和制备有一定的借鉴作用。
| [1] |
|
| [2] |
|
| [3] |
|
| [4] |
|
| [5] |
|
| [6] |
|
| [7] |
|
| [8] |
|
| [9] |
|
| [10] |
|
| [11] |
|
| [12] |
|
| [13] |
|
| [14] |
|
| [15] |
|
| [16] |
|
| [17] |
|
| [18] |
|
| [19] |
|
| [20] |
|
| [21] |
|
| [22] |
|
| [23] |
|

