共同通讯联系人:李红周,教授; Tel:0591-83426504; E-mail:lihongzhou@fjnu.edu.cn; 研究方向:高分子阻燃抑烟研究
本文采用熔融共混浇筑的方法制备了聚乙二醇/氮化硼(PEG/BN)相变复合材料,并研究了不同尺度片状BN对相变复合材料导热性能和结晶行为的影响。 通过扫描电子显微镜(SEM)、热常数分析仪、红外热成像分析仪和差示扫描量热仪(DSC)研究了相变复合材料的微观形貌、导热系数和相变过程,并利用莫志深法对DSC结果进行了非等温结晶动力学分析。 结果表明,较大片状直径(50 μm)的BN可以更有效地提高聚乙二醇的导热系数,当BN填料质量分数为40%时,相变复合材料的导热系数可达到5.04 W/(m·K)。 在快速降温条件下,片径为50 μm的BN填料可以缩短PEG的半结晶时间,提高结晶速率,使相变复合材料具有较大的相变焓。
Co-corresponding author:LI Hongzhou, professor; Tel:0591-83426504; E-mail:lihongzhou@fjnu.edu.cn; Research interests:flame retardant and smoke suppression of polymer
In this paper, polyethylene glycol/boron nitride (PEG/BN) phase change composite was prepared by molten blending method and the influence of the flake size of BN on the thermal conductivity and crystallization behavior of phase change composites was studied. The microstructure, thermal conductivity and phase transition performance of the prepared composites were investigated by scanning electron microscope (SEM), thermal constant analyzer, infrared thermal imaging analyzer and differential scanning calorimeter (DSC). The DSC results of were analyzed by Mo Zhishen method. Results show that larger diameter (50 μm) BN can improve the thermal conductivity of PEG more effectively. When the weight fraction of BN filler content is 40%, the thermal conductivity of phase change composite can reach 5.04 W/(m·K). Under conditions of rapid cooling, BN filler with a diameter of 50 μm can shorten the semi crystallization time and increase the crystallization rate of PEG, and make the phase change composites have a large phase change enthalpy.
相变材料是利用相变物质在相转变过程中吸收和释放大量能量,起到控温储能的作用[1,2,3],被广泛地应用于太阳能、建筑、纺织物保温、工业余热再利用以及航空航天等领域[4,5,6]。 根据相变过程形态变化,相变材料可分为固-液相变材料、固-气相变材料和液-气相变材料;根据化学成分不同,相变材料可分为无机相变材料和有机相变材料[7]。 有机固-液相变材料具有相变体积变化小、无相分离行为和储能密度高等优点,在储能领域具有广泛的应用前景[8,9,10],其中聚乙二醇(PEG)因其较低的蒸气压、良好的化学稳定性和热稳定性、适宜的相变温度、无过冷和无毒性而成为最有前途的固-液相变材料[11,12,13,14,15]。
然而,纯的PEG导热系数较低,导致传热效率低,增加相变材料吸热和放热的时间,降低相变材料的储能效率[16,17]。 因此,提高相变材料的导热系数成为目前国内外研究热点。 目前,提高高分子材料导热系数的方法主要有两种:一是调控高分子本征结构,提高高分子本体的有序取向;二是通过添加高导热填料制备复合材料[18,19]。 由此可知,PEG的导热系数可以通过添加导热填料提升,此外,PEG本体的结晶结构与其导热系数息息相关。
本文将相变材料与高导热的氮化硼(BN)填料复合,采用熔融共混浇筑的方法制备了PEG/BN导热增强相变复合材料,研究了不同尺度片状BN对PEG导热性能的影响,并且进一步研究了添加不同尺度BN的PEG/BN相变复合材料的结晶行为。
聚乙二醇(PEG, Mn=4000)购自上海麦克林生化科技有限公司;氮化硼(BN, D50=0.5 μm,5 μm,50 μm)购自合肥中航纳米科技发展有限公司。
Regulus 8100型扫描电子显微镜(SEM,日本日立公司);Q20型差示扫描量热仪(DSC,美国TA公司);TPS2500S型热常数分析仪(瑞典Hot Disk公司);MAG32型红外热成像分析仪(上海巨哥电子科技有限公司)。
称取一定量的PEG置于100 ℃烘箱中熔融,将不同尺寸的BN与熔融的PEG按一定的比例混合,并置于100 ℃油浴锅中恒温搅拌,然后将混合物倒入30 mm×30 mm×7 mm的模具中,将样品放置烘箱中自然冷却,得到PEG/BN相变复合材料。 按照上述步骤添加不同质量分数的BN填料,制备出不同的相变复合材料。 分别添加质量分数为20%、30%和40%不同尺寸的BN填料,并命名为PEG n/BN m-w相变复合材料,其中 n代表PEG的质量分数(%), m代表填料的质量分数(%), w代表BN的尺寸。
图1A为PEG/BN相变复合材料的导热系数图。 可见,不同片径的BN填料均能提高PEG的导热系数,并且随着BN填料质量分数的增加,相变复合材料的导热系数逐渐增加,说明随着BN质量分数的增加,BN片径之间接触概率增大,更易形成导热通路,从而提高相变复合材料的导热系数。 当添加BN质量分数为40%时,PEG60/BN40-0.5 μm、PEG60/BN40-5 μm和PEG60/BN40-50 μm相变复合材料的导热系数分别为1.23、1.37和5.04 W/(m·K),与纯PEG[导热系数为0.32 W/(m·K)]相比,分别提高了384%、428%和1575%,片径为50 μm的BN更能显著地提高PEG/BN相变复合材料的导热能力,表明在一定的范围内,BN的尺寸越大,对PEG/BN相对复合材料的导热贡献越大。图1B为PEG60/BN40-0.5 μm、PEG60/BN40-5 μm和PEG60/BN40-50 μm相变复合材料升温过程中的温度变化曲线,图1C为3块样品在加热时的红外热成像图。 从图1B和1C可知,添加片径为50 μm BN填料的样品升温速率最快,能够在更短的时间达到相变温度,并且能更快地达到平衡温度,增加相变材料的储能效率。图1D为PEG、PEG60/BN40-0.5 μm、PEG60/BN40-5 μm和PEG60/BN40-50 μm样品加热后的形态变化图。 从图1D可知,PEG在80 ℃保温10 min时,PEG固体就完全熔融成白色液体,而在80 ℃时经2 h保温,PEG60/BN40-0.5 μm、PEG60/BN40-5 μm和PEG60/BN40-50 μm样品仍能保持原有形状,并未发生明显变形,说明不同片径BN填料的加入,均可以在一定程度上提高相变材料的定形效果。 此外,为了进一步说明相变复合材料的循环稳定性,将PEG60/BN40-50 μm样品从室温加热到80 ℃,并在80 ℃保温5 min,观察样品的形态变化,然后将样品从80 ℃冷却到室温,重复20个冷热循环。图1E为PEG60/BN40-50 μm在80 ℃经过20个冷热循环后的形态变化图。 从图1E中可知,PEG60/BN40-50 μm样品在经过第1个冷热循环后,样品并未发生泄漏和变形;在经过第10个和第20个冷热循环后,样品虽然发生一些微小的泄漏和变形,但大体上仍能保持一定的形状,说明50 μm BN填料的加入,能够在一定程度上提高相变复合材料的循环稳定性。
图2A-2C分别是片径为0.5、5和50 μm的BN填料的微观形貌,图2D-2F分别是添加了质量分数为40% BN填料相变复合材料(PEG60/BN40-0.5 μm、PEG60/BN40-5 μm、PEG60/BN40-50 μm)的微观形貌。 从图2A-2C可知,不同尺寸的BN均呈现片状结构,片径为0.5和5 μm的BN分布比较分散,而片径为50 μm BN的堆积比较紧密。 从图2D-2F中可以看出,片径为0.5和5 μm的BN填料分散在PEG基材中,且添加片径为0.5 μm BN填料的相变复合材料表面出现褶皱和缝隙,这是由于BN片径越小,PEG分散在BN填料中,小片径的BN对PEG的结晶过程干扰较小,因此在PEG球晶形成过程中,可能形成一定的褶皱和缝隙。 相比之下,可以看到片径为50 μm BN填料的片与片之间能够紧密地堆积在一起,形成比较完整的导热通路,使得BN填料表现出良好的导热性能,可以有效地提高PEG相变材料的导热系数。
图3为PEG和PEG60/BN40相变复合材料在不同降温速率下的DSC曲线(其中BN的片径分别为0.5、5和50 μm)。 从图3A中可知,随着降温速率的增大,相变复合材料的初始结晶温度( T0)和结晶峰温度( Tp)均向低温方向移动,且半结晶时间缩短,这主要是由于PEG分子链段运动速率跟不上温度变化速率,导致结晶过程受阻,使PEG结晶所需要的过冷度增大,从而使初始结晶温度和结晶峰温度降低,而过冷度增大会使得成核速率增大,降低了结晶的完善程度,进而使半结晶时间缩短。 从图3B-3D可知,
| 图3 (A)PEG、(B)PEG60/BN40-0.5 μm、(C)PEG60/BN40-5 μm和(D)PEG60/BN40-50 μm的DSC曲线Fig.3 DSC curves of (A)PEG, (B)PEG60/BN40-0.5 μm, (C)PEG60/BN40-5 μm, and (D)PEG60/BN40-50 μm |
在PEG中加入BN填料,特别是添加了片径为50 μm的BN填料之后,PEG的结晶峰半峰宽(Δ W)变小,说明片径为50 μm BN填料的加入,使相变材料的结晶性能提高,结晶均匀性较好、晶粒分布均匀。图4为添加不同片径BN填料时,相变复合材料的相对结晶度 Xt与结晶时间 t的关系,相对结晶度可由式(1)计算得到:
式中, T0和 T∞分别为PEG初始结晶时的温度和完全结晶时的温度(℃), Hc为PEG的结晶焓(J/g),可以利用温度-时间转换公式 t=( T0- T) /Φ计算出达到某一相对结晶度时所需的时间, Φ为降温速率(℃/min)。图5是PEG、PEG60/BN40-0.5 μm、PEG60/BN40-5 μm、PEG60/BN40-50 μm这4块样品的半结晶时间与降温速率的关系以及结晶速率与降温速率的关系曲线。 相关非等温数据参见表1。 从图5可知,当降温速率为20 ℃/min时,片径为50 μm BN填料的加入可以明显缩短PEG的半结晶时间,提高结晶速率,相比之下,片径为0.5和5 μm BN填料的加入,对缩短PEG的结晶时间和提高PEG的结晶效率的效果并不明显。 除此之外,从图4D可知,当降温速率为5 ℃/min时,4条曲线几乎重合,说明随着降温速率的降低,片径为50 μm BN填料的加入,对缩短PEG半结晶时间和提高PEG的结晶效率的效果也逐渐降低。 从表1可知:随着BN片径的增加,PEG/BN相变复合材料的结晶焓更大,说明大片径BN能够更加有效的诱导PEG结晶,由于PEG结晶更加完善,对于复合材料的导热可能具有一定的提升效果;随着BN片径增加,PEG/BN相变复合材料的熔融焓也更大,说明添加片径为50 μm的BN能够使相变复合材料具有较大的相变焓,使相变复合材料具有更大的储能能力。
| 表1 PEG/BN相变复合材料非等温结晶参数 Table 1 Nonisothemal crystallization parameters of PEG/BN phase |
本文还利用莫志深法研究了BN尺寸对PEG相变材料非等温结晶动力学的影响。 莫志深等[20]将Avrami方程和Ozawa方程结合处理非等温结晶动力学,得到如下方程式:
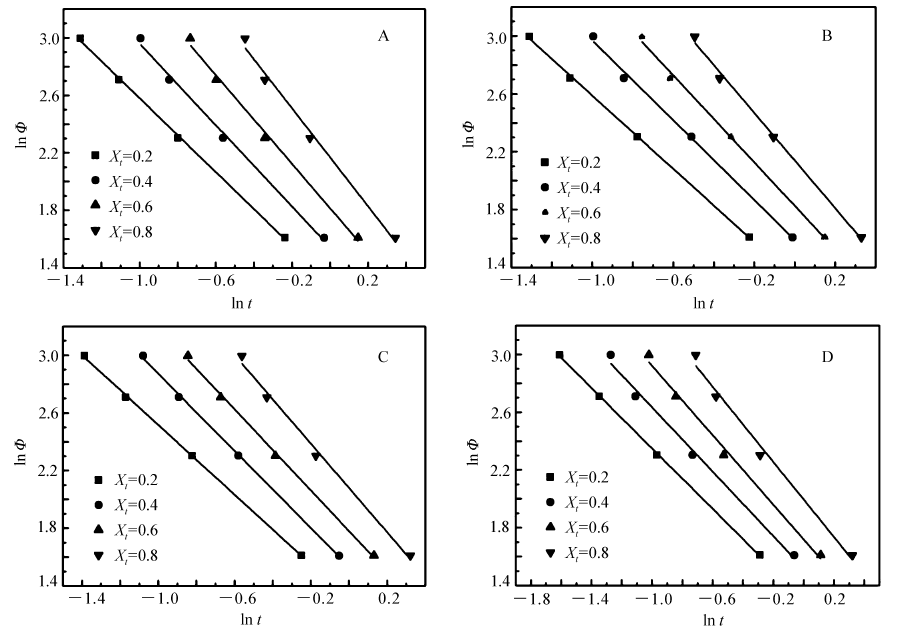
式中, F( T)表示单位结晶时间内体系要达到某一相对结晶度时所必须选取的降温速率值(K/min),即样品在一定结晶时间内达到某一结晶度时的难易程度。图6为PEG/BN相变复合材料的ln Φ与ln t的关系曲线,从图6可知,纯PEG及PEG/BN相变材料的ln Φ-ln t均具有较好的线性关系,说明PEG/BN相变材料的非等温结晶过程可以由莫志深法较好地描述。 F( T)值可以通过图6线性拟合的截距来确定,如表2所示。 从表2中可知, F( T)随着相对结晶度的增大而增大,说明相变材料的结晶速率随着相对结晶度的提高而逐渐变慢,即 F( T)越大,结晶速率越慢, t1/2越大。 在相同的相对结晶度下,添加了片径为50 μm BN的相变复合材料的 F( T)值最小,说明PEG60/BN40-50 μm相变复合材料的结晶速率最高,这与 t1/2的结果一致。
| 图6 (A)PEG、(B)PEG60/BN40-0.5 μm、(C)PEG60/BN40-5 μm和(D)PEG60/BN40-50 μm的ln Φ-ln t曲线Fig.6 ln Φ-ln t curve of (A)PEG, (B)PEG60/BN40-0.5 μm, (C)PEG60/BN40-5 μm, and (D)PEG60/BN40-50 μm |
| 表2 PEG/BN相变复合材料不同相对结晶度下的 F( T)值 Table 2 F( T) values of PEG/BN phase change composites under different relative crystallinity |
本文研究了不同尺度氮化硼(BN)填充聚乙二醇(PEG)的导热相变性能及其结晶行为。 在添加相同质量分数BN填料的情况下,大尺寸氮化硼能够更加有效地提升PEG的导热系数。 当添加50 μm BN的质量分数为40%时,导热系数可以达到5.04 W/(m·K),其较高的导热系数归因于大尺寸BN能够在PEG内部形成导热通路。 同时,根据DSC数据计算与莫志深法分析可知:50 μm的BN能够诱导PEG结晶,在较高的降温速率下,添加片径为50 μm的BN填料可以缩短相变复合材料的半结晶时间、提高相变复合材料的结晶速率,使相变复合材料具有较大的相变焓。
| [1] |
|
| [2] |
|
| [3] |
|
| [4] |
|
| [5] |
|
| [6] |
|
| [7] |
|
| [8] |
|
| [9] |
|
| [10] |
|
| [11] |
|
| [12] |
|
| [13] |
|
| [14] |
|
| [15] |
|
| [16] |
|
| [17] |
|
| [18] |
|
| [19] |
|
| [20] |
|

