通过3-氟-4-吗啉基苯胺和取代水杨醛缩合反应,合成了14个含吗啉基片段水杨醛席夫碱类化合物(Ⅰa-Ⅰn)。通过核磁共振波谱仪(NMR)、傅里叶变换红外光谱仪(FTIR)、液相色谱-质谱联用仪(LC-MS)和元素分析等技术手段研究了产物的结构和淬灭1,1-二苯基-2-三硝基苯肼(DPPH)自由基的活性。 结果表明,在0.02~0.10 g/L,所有化合物均表现出一定的淬灭DPPH自由基活性。 其中,化合物Ⅰd和Ⅰf表现出较为优异的性能,化合物Ⅰd的活性在30%~55%,化合物Ⅰf的活性则大于50%。 随着化合物Ⅰd、Ⅰh、Ⅰj和Ⅰn质量浓度的增大,其淬灭DPPH自由基的活性均呈现增强趋势。
Fourteen kinds of salicylaldehyde Schiff bases containing morpholinyl fragments are synthesized by the condensation reaction of 3-fluoro-4-morpholiniline and substituted salicylate and confirmed by nuclear magnetic resonance spectroscopy(NMR), Fourier transform infrared spectrometer(FTIR), liquid chromatography-mass spectrometer(LC-MS) and element analysis. The 1,1-diphenyl-2-picrylhydrazyl(DPPH) radical quenching activities of these Schiff bases are also studied. The results show that all compounds show certain quenching activity of DPPH radicals at concentrations of 0.02 to 0.10 g/L. Among them, the compounds Ⅰd and Ⅰf show excellent properties. The activity of compound Ⅰd is between 30% and 55%, and the activity of compound Ⅰf is more than 50%. With the increase of the concentration of compounds Ⅰd, Ⅰh, Ⅰj and Ⅰn, the DPPH radical quenching activities increase.
席夫碱的特性基团为—RC=N—,可通过醛或者酮与胺类化合物缩合反应而制得[1]。 席夫碱因具有结构多样性、合成操作简单化等优点而受到重视,广泛应用于医学、催化、分析化学、抗腐蚀以及光致变色等领域[2,3,4,5,6,7,8,9,10,11,12,13,14]。 其中,水杨醛系列化合物形成的席夫碱,因其具有广泛的生物活性,更是受到青睐。 对于席夫碱类化合物的抗氧化活性研究,特别是在淬灭1,1-二苯基-2-三硝基苯肼(DPPH)自由基性能方面的研究,已有诸多的报道,Xie等[15]报道了2-氨甲基吡啶缩5-溴水杨醛席夫碱的抗氧化活性,Pan等[16]报道了壳寡糖水杨醛系列席夫碱的抗氧化活性等。 另一方面,吗啉环是一种含有氮、氧原子的六元杂环,作为重要基团已存在于多种药物分子中[17,18,19,20,21]。 本文采用活性亚结构拼接法,将吗啉环引入到水杨醛的席夫碱中,以3-氟-4-吗啉基苯胺和取代水杨醛反应,设计合成了14种含吗啉基团的水杨醛系列席夫碱化合物(Scheme 1),并考察了其淬灭DPPH自由基的活性。
无水乙醇购自国药集团化学试剂有限公司,分析纯;3-氟-4-吗啉基苯胺、水杨醛及各种取代水杨醛购自阿拉丁试剂有限公司,分析纯;1,1-二苯基-2-三硝基苯肼(≥97%)购自思域化工科技有限公司,使用前未进行处理。
Bruker AVII-400型核磁共振波谱仪(NMR,瑞士Bruker公司);NICOLET IS 50型傅里叶变换红外光谱仪(FTIR,美国Thermo Scientific公司);UV-2700型紫外可见光分光光度计(UV-Vis,日本岛津公司);LCQ-Advantage型液相色谱-质谱联用仪(LC-MS,美国Finnigan公司);ELEMENTAR VARIO ELⅢ CHNSO型元素分析仪(德国Elementar公司);WS70-2型红外快速干燥箱(中国英峪予华仪器厂);EF-20D型暗箱紫外分析仪(中国予华仪器有限责任公司)。
1.2.1 2-{[(3-氟-4-吗啉苯基)亚氨基]甲基}苯酚(Ⅰa)的合成
在100 mL三颈烧瓶中加入1.22 g(10 mmol)水杨醛和溶于40 mL无水乙醇中的1.96 g(10 mmol)3-氟-4-吗啉基苯胺,加热,回流反应,TLC监测反应,约1 h反应完毕。 冷却,析出大量固体,过滤,无水乙醇多次洗涤,干燥,得到金黄色透明固体2.76 g,产率:92%;mp 138~139 ℃;1H NMR(400 MHz,CDCl3), δ:13.15(s,1H,OH ),8.57(s,1H, CH=N),6.91~7.38(m,7H,H on benzenes),3.88(t,3 JH—H=4.4 Hz,4H,CH2O),3.10(t,3 JH—H=4.4 Hz,4H,CH2N);13C NMR(100 MHz,CDCl3), δ:161.4,161.0,157.0,154.6,143.0,142.9,139.0,133.1,132.2,119.2,118.9,117.7,109.1,66.9,50.9;IR(KBr), σ/cm-1: ν(O—H)3067, ν(CH2)2963、2891、2853, ν(C=N)1622, ν(C—O—C)1117;元素分析(C17H17FN2O2):理论值/%:C 67.99,H 5.71,N 9.33;实测值/%%:C 67.97,H 5.73,N 9.32;LC-MS(ESI)C17H17FN2O2[M+H]+计算值301.13,实测值301.30。
1.2.2 2-{[(3-氟-4-吗啉苯基)亚氨基]甲基}-4-甲氧基苯酚(Ⅰb)的合成
在100 mL三颈烧瓶中加入0.76 g(5 mmol)5-甲氧基水杨醛和溶于40 mL无水乙醇中的0.98 g(5 mmol)3-氟-4-吗啉基苯胺,加热,回流反应,TLC监测反应,约1 h反应完毕。 冷却,析出大量固体,过滤,无水乙醇多次洗涤,干燥,得到橙黄色针状固体1.38 g,产率:84%;mp 120~121 ℃;1H NMR(400 MHz,CDCl3), δ:12.66(s,1H,OH),8.53(s,1H, CH=N), 6.87~7.26(m,6H,H on benzenes),3.88(t,3 JH—H=4.4 Hz,4H,CH2O),3.80(s,3H,OCH3),3.11 (t,3 JH—H=4.4Hz,4H,CH2N );13C NMR(100 MHz,CDCl3), δ:161.1,157.0,155.3,154.6,152.3,143.1,139.1,120.4,118.9,118.0,117.7,115.3,109.1,108.9,66.9,50.9;IR(KBr), σ/cm-1: ν(O—H)3021, ν(CH2)2963、2890、2855, ν(C=N)1612, ν(C—O—C)1117;元素分析(C18H19FN2O3):理论值/%:C 65.44,H 5.80,N 8.48;实测值/%:C 65.42,H 5.78,N 8.47;LC-MS(ESI)C18H19FN2O3[M+H]+计算值331.14,实测值331.30。
1.2.3 2-{[(3-氟-4-吗啉苯基)亚氨基]甲基}-4-甲基苯酚(Ⅰc)的合成
在100 mL三颈烧瓶中加入0.68 g(5 mmol)5-甲基水杨醛和溶于40 mL无水乙醇中的0.98 g(5 mmol)3-氟-4-吗啉基苯胺,加热,回流反应,TLC监测反应,约2.5 h反应完毕。 冷却,析出大量固体,过滤,无水乙醇多次洗涤,干燥,得到橙黄色针状固体1.17 g,产率:75%;mp 127~128 ℃;1H NMR(400 MHz,CDCl3), δ:12.88(s,1H,OH),8.51(s,1H,CH=N),6.89~7.25 (m,6H,H on benzenes),3.87(t,3 JH—H=4.4 Hz,4H,CH2O),3.10(t,3 JH—H=4.4 Hz,4H,CH2N),2.30 (s,3H,CH3);13C NMR(100 MHz,CDCl3), δ:161.5,158.9,157.0,154.6,143.2,139.9,134.0,132.2,128.2,118.9,117.6,117.0,109.1,67.0,50.9,20.3;IR(KBr), σ/cm-1: ν(O—H)3069, ν(CH2)2966、2895、2853, ν(C=N)1618, ν(C—O—C)1109;元素分析(C18H19FN2O2):理论值/%:C 68.77,H 6.09,N 8.91;实测值/%:C 68.75,H 6.04,N 8.87;LC-MS(ESI)C18H19FN2O2[M+H]+计算值315.14,实测值315.30。
1.2.4 4-氯-2-{[(3-氟-4-吗啉苯基)亚氨基]甲基}苯酚(Ⅰd)的合成
在100 mL三颈烧瓶中加入0.78 g(5mmol)5-氯水杨醛和溶于40 mL无水乙醇中的0.98 g(5 mmol)3-氟-4-吗啉基苯胺,加热,回流反应,TLC监测反应,约1 h反应完毕。 冷却,析出大量固体,过滤,无水乙醇多次洗涤,干燥,得到黄色粉末状固体1.55 g,产率:93%;mp 161~162℃;1H NMR(400 MHz,CDCl3), δ:13.12(s,1H,OH),8.51(s,1H,CH=N),6.94~7.34( m,6H,H on benzenes),3.88(t,3 JH—H=4.4 Hz,4H,CH2O),3.12(t,3 JH—H=4.4 Hz,4H,CH2N);13C NMR(100 MHz,CDCl3), δ:159.9,159.6,157.0,154.5,143.3,139.4,132.8,131.1,123.7,119.9,118.9,117.8,109.2,66.9,50.8;IR(KBr), σ/cm-1: ν(O—H)3041, ν(CH2)2958、2890、2858, ν(C=N)1618, ν(C—O—C)1119;元素分析(C17H16ClFN2O2) :理论值/%:C 60.99,H 4.82,N 8.37;实测值/%:C 61.02,H 4.79, N 8.40;LC-MS(ESI)C17H16ClFN2O2[M+H]+计算值335.09,实测值335.30。
1.2.5 2-{[(3-氟-4-吗啉苯基)亚氨基]甲基}-4-硝基苯酚(Ⅰe)的合成
在100 mL三颈烧瓶中加入0.33 g(2 mmol)5-硝基水杨醛和溶于30 mL无水乙醇中的0.39 g(2 mmol)3-氟-4-吗啉基苯胺,室温搅拌反应,TLC监测反应,约1 h反应完毕。 静止,沉淀出大量固体,过滤,无水乙醇多次洗涤,干燥,得到橙黄色针状固体0.50 g,产率:72%;mp 218~219 ℃;1H NMR(400 MHz,CDCl3), δ:14.28(s,1H,OH),8.67(s,1H,CH=N),8.37(s,1H,3-H on benzene),8.25(d,3 JH—H=8.4 Hz ,1H,5-H on benzene),6.97~7.26(m,4H,H on benzenes),3.89(t,3 JH—H=4.4 Hz,4H,CH2O),3.15(t,3 JH—H=4.4 Hz,4H,CH2N);13C NMR(100 MHz,CDCl3), δ:166.5,159.0,156.9,154.5,140.9,140.1,140.0,128.1,119.0,118.2,117.9,109.5,109.3,66.9,50.7;IR(KBr), σ/cm-1: ν(O—H)3043, ν(CH2)2959、2893、2863, ν(C=N)1619, ν(C—O—C)1120;元素分析(C17H16FN3O4):理论值/%:C 59.13,H 4.67,N 12.17;实测值/%:C 59.14,H 4.69,N 12.20;LC-MS(ESI)C17H16FN3O4[M+H]+计算值346.11,实测值346.30。
1.2.6 4-溴-2-{[(3-氟-4-吗啉苯基)亚氨基]甲基}苯酚(Ⅰf)的合成
在100 mL三颈烧瓶中加入0.40 g(2 mmol)5-溴水杨醛和溶于30 mL无水乙醇中的0.39 g(2 mmol)3-氟-4-吗啉基苯胺,加热,回流反应,TLC监测反应,约3 h反应完毕。 冷却,析出大量固体,过滤,无水乙醇多次洗涤,干燥,得到黄色颗粒状固体0.55 g,产率:72%;mp 147~148 ℃;1H NMR(400 MHz,CDCl3), δ:13.15(s,1H,OH),8.50(s,1H,CH=N),6.89~7.48 ( m,6H,H on benzenes),3.88(t,3 JH—H=4.4 Hz,4H,CH2O),3.12(t,3 JH—H=4.4 Hz,4H,CH2N);13C NMR(100 MHz,CDCl3), δ:160.0,159.7,157.0,154.5,142.3,139.4,135.6,134.1,120.6,118,9,117.8,110.6,109.2,66.9,50.8;IR(KBr), σ/cm-1: ν(O—H)3059, ν(CH2)2954,2895,2870, ν(C=N)1614, ν(C—O—C)1105;元素分析(C17H16BrFN2O2):理论值/%:C 53.84,H 4.25,N 7.39;实测值/%:C 53.85,H 4.28,N 7.41;LC-MS(ESI)C17H16BrFN2O2[M+H]+计算值379.04,实测值379.20。
1.2.7 2-溴-6-{[(3-氟-4-吗啉苯基)亚氨基]甲基}苯酚(Ⅰg)的合成
在100 mL三颈烧瓶中加入0.20 g(1 mmol)3-溴水杨醛和溶于30 mL无水乙醇中的0.20 g(1 mmol)3-氟-4-吗啉基苯胺,加热,回流反应,TLC监测反应,约1 h反应完毕。冷却,析出大量固体,过滤,无水乙醇多次洗涤,干燥,得到橙黄色针状固体0.30 g,产率:79%;mp 163~165 ℃;1H NMR(400 MHz,CDCl3), δ:14.28(s,1H,OH),8.56(s,1H,CH=N),6.82~7.63 ( m,6H,H on benzenes),3.88(t,3 JH—H=4.4 Hz,4H,CH2O),3.13(t,3 JH—H=4.4 Hz,4H,CH2N);13C NMR(100 MHz,CDCl3), δ:160.0,157.9,157.0,154.5,141.7,139.5,136.2,131.2,119.9,118,9,118.0,111.1,109.0,66.9,50.8;IR(KBr), σ/cm-1: ν(O—H)3045, ν(CH2)2967、2899、2873, ν(C=N)1619, ν(C—O—C)1123;元素分析(C17H16BrFN2O2) :理论值/%:C 53.84,H 4.25,N 7.39;实测值/%:C 53.82,H 4.23,N 7.37;LC-MS(ESI)C17H16BrFN2O2[M+H]+计算值379.04,实测值379.20。
1.2.8 5-溴-2-{[(3-氟-4-吗啉苯基)亚氨基]甲基}苯酚(Ⅰh)的合成
在100 mL三颈烧瓶中加入0.20 g(1 mmol)4-溴水杨醛和溶于30 mL无水乙醇中的0.20 g(1 mmol)3-氟-4-吗啉基苯胺,加热,回流反应,TLC监测反应,约1 h反应完毕。 冷却,析出大量固体,过滤,无水乙醇多次洗涤,干燥,得到橙黄色针状固体0.26 g,产率:69%;mp 136~138 ℃;1H NMR(400 MHz,CDCl3), δ:13.41(s,1H,OH),8.53(s,1H, CH=N),6.93~7.26(m,6H,H on benzenes),3.88(t,3 JH—H=4.4Hz,4H,CH2O ),3.12(t,3 JH—H=4.4 Hz,4H,CH2N);13C NMR(100 MHz,CDCl3), δ:161.7,160.3,157.0,154.6,142.4,139.3,133.0,127.3,122.5,120.6,119.0,118.1,109.1,66.9,50.8;IR(KBr), σ/cm-1: ν(O—H)3065, ν(CH2) 2977、2889、2868, ν(C=N)1624, ν(C—O—C)1116;元素分析(C17H16BrFN2O2) :理论值/%:C 53.84,H 4.25,N 7.39;实测值/%:C 53.83,H 4.27,N 7.38;LC-MS(ESI)C17H16BrFN2O2[M+H]+计算值379.04,实测值379.20。
1.2.9 2-氯-6-{[(3-氟-4-吗啉苯基)亚氨基]甲基}苯酚(Ⅰi)的合成
在100 mL三颈烧瓶中加入0.16 g(1 mmol)3-氯水杨醛和溶于30 mL无水乙醇中的0.20 g(1 mmol)3-氟-4-吗啉基苯胺,加热,回流反应,TLC监测反应,约2 h反应完毕。 冷却,析出大量固体,过滤,无水乙醇多次洗涤,干燥,得到淡黄色颗粒状固体0.25 g,产率:75%;mp 148~150 ℃;1H NMR(400 MHz,CDCl3), δ:14.12(s,1H,OH),8.59(s,1H, CH=N),6.87~7.47( m,6H,H on benzenes),3.89(t,3 JH—H=4.4 Hz,4H,CH2O),3.13(t,3 JH—H=4.4 Hz,4H,CH2N);13C NMR(100 MHz,CDCl3), δ:160.2,157.0,156.9,154.3,141.8,139.5,132.1,130.5,121.9,119.1,119.0,118.0,109.9,66.9,50.8;IR(KBr), σ/cm-1: ν(O—H)3055, ν(CH2)2968、2879、2859, ν(C=N)1613, ν(C—O—C)1107;元素分析(C17H16ClFN2O2) :理论值/%:C 60.99,H 4.82,N 8.37;实测值/%:C 60.97,H 4.85,N 8.36;LC-MS(ESI)C17H16ClFN2O2[M+H]+计算值335.09,实测值335.30。
1.2.10 2,4-二氯-6-{[(3-氟-4-吗啉苯基)亚氨基]甲基}苯酚(Ⅰj)的合成
在100 mL三颈烧瓶中加入0.95 g(5 mmol)3,5-二氯水杨醛和溶于40 mL无水乙醇中的0.98 g(5 mmol)3-氟-4-吗啉基苯胺,室温搅拌,TLC监测反应,约0.5 h反应完毕。 静止,沉淀出大量固体,过滤,无水乙醇多次洗涤,干燥,得到黄绿色粉末状固体1.70 g,产率:92%;mp 201~202 ℃;1H NMR(400 MHz,CDCl3), δ:14.14(s,1H,OH),8.52(s,1H, CH=N),6.95~7.45( m,5H,H on benzenes),3.89(t,3 JH—H=4.4 Hz,4H,CH2O),3.14(t,3 JH—H=4.4 Hz,4H,CH2N);13C NMR(100 MHz,CDCl3), δ:158.7,156.9,155.7,154.5,141.1,139.9,132.6,129.6,123.5,122.8,118.9,118.1,109.1,66.9,50.7;IR(KBr), σ/cm-1: ν(O—H)3020, ν(CH2)2958、2869、2833, ν(C=N)1608, ν(C—O—C)1102;元素分析(C17H15Cl2FN2O2):理论值/%:C 55.30,H 4.10,N 7.59;实测值/%:C 55.35,H 4.08,N 7.61;LC-MS(ESI)C17H15Cl2FN2O2[M+H]+计算值369.05,实测值369.30。
1.2.11 2,4-二溴-6-{[(3-氟-4-吗啉苯基)亚氨基]甲基}苯酚(Ⅰk)的合成
在100 mL三颈烧瓶中加入1.39 g(5 mmol)3,5-二溴水杨醛和溶于40 mL无水乙醇中的0.98 g(5 mmol)3-氟-4-吗啉基苯胺,室温搅拌,TLC监测反应,约40 min反应完毕。静止,沉淀出大量固体,过滤,无水乙醇多次洗涤,干燥,得到橙黄色针状固体1.89 g,产率:83%;mp 191~192 ℃;1H NMR(400 MHz,CDCl3), δ:14.33(s,1H,OH),8.49(s,1H, CH=N),6.95~7.74(m,5H,H on benzenes),3.89(t,3 JH—H=4.4 Hz,4H,CH2O),3.14(t,3 JH—H=4.4 Hz,4H,CH2N);13C NMR(100 MHz,CDCl3), δ:158.4,157.1,156.9,154.4,140.9,139.9,137.9,133.3,120.8,118.9,118.1,112.1,119.8,66.9,50.7;IR(KBr), σ/cm-1: ν(O—H)3063, ν(CH2)2966、2878、2856, ν(C=N)1617, ν(C—O—C)1119;元素分析(C17H15Br2FN2O2) :理论值/%:C 44.57,H 3.30,N 6.11;实测值/%:C 44.55,H 3.29,N 6.14;LC-MS(ESI)C17H15Br2FN2O2[M+H]+计算值458.95,实测值459.10。
1.2.12 2-{[(3-氟-4-吗啉苯基)亚氨基]甲基}-4,6-二碘苯酚(Ⅰl)的合成
在100 mL三颈烧瓶中加入1.87 g(5 mmol)3,5-二碘水杨醛和溶于40 mL无水乙醇中的0.98 g(5 mmol)3-氟-4-吗啉基苯胺,室温搅拌,TLC监测反应,约40 min反应完毕。 静止,沉淀出大量固体,过滤,无水乙醇多次洗涤,干燥,得到血红色粉末状固体2.45 g,产率:89%;mp 181~183 ℃;1H NMR(400 MHz,CDCl3), δ: 14.56(s,1H,OH),8.41(s,1H, CH=N),8.09(s,1H,5-H on benzene),6.95~7.76(m,4H,H on benzenes),3.89(t,3 JH—H=4.4 Hz,4H,CH2O),3.14(t,3 JH—H=4.4 Hz,4H,CH2N);13C NMR(100 MHz,CDCl3), δ:160.0,158.1,156.9,154.5,148.9,140.8,140.3,140.0,120.7,118.5,109.1,87.3,80.0,66.9,50.7;IR(KBr), σ/cm-1: ν(O—H)3028, ν(CH2)2979、2899、2870, ν(C=N)1615, ν(C—O—C)1110;元素分析(C17H15FI2N2O2) :理论值/%:C 36.98,H 2.74,N 5.07;实测值/%:C 37.02,H 2.72,N 5.10;LC-MS(ESI)C17H15FI2N2O2[M+H]+计算值552.99,实测值552.30。
1.2.13 4-溴- 2-{[(3-氟-4-吗啉苯基)亚氨基]甲基}-4-甲氧基苯酚(Ⅰm)的合成
在100 mL三颈烧瓶中加入0.46 g(2 mmol)5-溴-3-甲氧基水杨醛和溶于30 mL无水乙醇中的0.39 g(2 mmol)3-氟-4-吗啉基苯胺,加热回流反应,TLC监测反应,约2 h反应完毕。 冷却,沉淀出大量固体,过滤,无水乙醇多次洗涤,干燥,得到棕色颗粒状固体0.62 g,产率:76%;mp 158~160 ℃;1H NMR(400 MHz,CDCl3), δ:13.62(s,1H,OH),8.48(s,1H, CH=N),6.91~7.27( m,5H,H on benzenes),3.91(s,1H,OCH3),3.87(t,3 JH—H=4.4 Hz,4H,CH2O),3.11(t,3 JH—H=4.4 Hz,4H,CH2N);13C NMR(100 MHz,CDCl3), δ:159.8,156.9,154.5,150.6,149.4,141.9,139.5,125.5,119.96,118.9,117.8,109.9,109.1,66.9,56.4,50.8;IR(KBr), σ/cm-1: ν(O—H)3023, ν(CH2)2987、2890、2868, ν(C=N)1611, ν(C—O—C)1113;元素分析(C18H18BrFN2O3):理论值/%:C 52.83,H 4.43,N 6.85;实测值/%:C 52.87,H 4.41,N 6.88;LC-MS(ESI)C18H18BrFN2O3[M+H]+计算值409.05,实测值409.20。
1.2.14 4-溴- 2-{[(3-氟-4-吗啉苯基)亚氨基]甲基}-4-硝基苯酚(Ⅰn)的合成
在100 mL三颈烧瓶中加入0.25 g(1 mmol)5-溴-3-硝基水杨醛和溶于30 mL无水乙醇中的0.20 g(1 mmol)3-氟-4-吗啉基苯胺,加热回流反应,TLC监测反应,约1 h反应完毕。 冷却,沉淀出大量固体,过滤,无水乙醇多次洗涤,干燥,得到血红色颗粒状固体0.36 g,产率:85%;mp 240~241 ℃;1H NMR(400 MHz,CDCl3), δ:15.16(s,1H,OH),8.62(s,1H, CH=N ),6.96~8.55( m,5H,H on benzenes),3.89(t,3 JH—H=4.4 Hz,4H,CH2O),3.15(t,3 JH—H=4.4 Hz,4H,CH2N);13C NMR(100 MHz,CDCl3), δ:160.5,157.4,156.4,154.0,140.3,139.8,138.2,131.7,122.8,119.8,119.2,109.6,106.8,66.5,50.7;IR(KBr), σ/cm-1: ν(O—H)3069, ν(CH2)2999、2896、2876, ν(C=N)1619, ν(C—O—C)1115;元素分析(C17H15BrFN3O4):理论值/%:C 48.13,H 3.56,N 9.91;实测值/%:C 48.11,H 3.59,N 9.94;LC-MS(ESI)C17H15BrFN3O4[M+H]+计算值424.02,实测值424.10。
按照参考文献[16]的方法,研究席夫碱化合物对DPPH自由基的淬灭性能测试。 对测试浓度进行了改变,将0.2 mL不同浓度的样品溶液分别与6.35×10-6 mol/L的DPPH乙醇溶液(3.8 mL)混合均匀,放置在暗处反应30 min后,以无水乙醇为参比,在517 nm处测其吸光度,计算其清除DPPH的清除率( K)。
K=
式中, A0为DPPH乙醇溶液在517 nm处的吸光度, As为不同浓度样品与DPPH溶液反应30 min后在517 nm处的吸光度。
醛和伯胺缩合脱水生成目标化合物的反应是个可逆反应。按照参考文献[22]的方法,两种原料按照摩尔比1:1混合,采用无水乙醇为溶剂,在无催化剂和加热回流条件下进行反应,产率可达69%~93%。 冷却后,过滤,洗涤即可得到纯净的产物,产物易纯化。 另外,发现化合物Ⅰe、Ⅰj、Ⅰk和Ⅰl在室温条件下也可以在很短的时间(0.5~1 h)内完成反应,故采用室温条件下完成反应,这是与参考文献[22]的不同之处。
在1H NMR谱图中,目标化合物的酚羟基氢的化学位移在13~15之间为单峰(Ⅰn在15.16), CH=N基团碳上的氢在8.5左右处也为单峰;吗啉环上的2个CH2相互影响,在3.8和3.1左右均为三重峰,耦合常数是4.4 Hz;2个苯环上的氢重叠在一起而难以区分。 在13C NMR谱图中, CH=N基团上的碳位移在160左右,2个苯环上碳的位移在160.0~109.0之间难以区分,而Ⅰ中两个碘原子相连碳的化学位移分别移动到87.3和80.0;吗啉环上2个CH2中碳的位移分别在66和50附近。 在FTIR谱图中,在3060、1610和3000、2890、2870 cm-1处,分别出现酚—OH、—CH=N和吗啉环中的—CH2基团的特征吸收峰。 LC-MS的实验值与理论值的误差在实验允许的范围内。以上结果表明目标化合物被成功地合成出来。
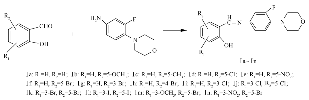
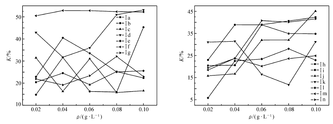
DPPH法已被广泛用于自由基清除剂的筛选工作中[16]。 DPPH是一种很稳定的以氮为中心的自由基,可以捕获("清除")其他的自由基。 因此,通过加入DPPH后观察某一化学反应的速率是否减慢,可作为这一反应是否具有自由基反应本质的指标。 在本文中,DPPH的乙醇溶液在517 nm处有最大吸收峰,若席夫碱能清除它,则说明席夫碱具有降低羟基等自由基和打断脂质过氧化链反应的作用。 系列席夫碱化合物(Ⅰa-Ⅰn)的清除率( K)实验结果列于表1和图1。 从表1和图1可知,化合物Ⅰa-Ⅰn在不同质量浓度时对DPPH自由基均具有一定程度的清除效果, K几乎均大于15%(化合物Ⅰb和Ⅰl在0.02 g/L时除外)。 其中化合物Ⅰd和Ⅰf表现出优异的淬灭DPPH自由基活性,化合物Ⅰd 的活性在30%~55%,化合物Ⅰf的活性都大于50%;化合物Ⅰd、Ⅰh、Ⅰj和Ⅰn,随着质量浓度的增大,淬灭DPPH自由基活性呈现增强趋势;其它化合物,质量浓度的变化对活性的影响不明显或者没有明显的变化规律。
| 表1 目标化合物不同质量浓度时对DPPH的清除率( K) Table 1 Scavenging rates of the title compounds on DPPH |
以3-氟-4-吗啉基苯胺和取代水杨醛为原料,利用活性亚结构拼接原理,设计、合成了14个含吗啉基片段的新型水杨醛席夫碱类化合物。 反应以无水乙醇为溶剂,在无催化剂条件下,加热回流或者室温下反应,反应条件温和,反应时间短,产率高,产物易纯化,且生成的副产物只有水,无环境污染。 DPPH自由基的淬灭测试实验结果表明,所有化合物在不同质量浓度时对DPPH自由基均具有一定程度的清除效果,清除率几乎均大于15%(Ⅰb和Ⅰl在0.02 g/L时除外)。 其中化合物Ⅰd和Ⅰf表现出优异的淬灭DPPH自由基活性,化合物Ⅰd在不同质量浓度的活性在30%~55%之间,化合物Ⅰf在不同质量浓度的活性均大于50%。 这类化合物在淬灭DPPH自由基方面有潜在的应用价值和理论方面的研究价值。
| [1] |
|
| [2] |
|
| [3] |
|
| [4] |
|
| [5] |
|
| [6] |
|
| [7] |
|
| [8] |
|
| [9] |
|
| [10] |
|
| [11] |
|
| [12] |
|
| [13] |
|
| [14] |
|
| [15] |
|
| [16] |
|
| [17] |
|
| [18] |
|
| [19] |
|
| [20] |
|
| [21] |
|
| [22] |
|

