为解决聚天冬氨酸(PASP)在高钙离子质量浓度下阻垢效果不佳及分散氧化铁效果差的问题,通过对中间体聚琥珀酰亚胺(PSI)开环改性将酪氨酸(Tyr)接枝到PASP的侧链,合成了具有羧基、氨基、酰胺基、酚羟基等多种功能性官能团的环保型阻垢剂——酪氨酸/聚天冬氨酸共聚物(Tyr-PASP)。 静态阻垢实验表明Tyr-PASP对水垢的抑制能力明显优于PASP。 当 n(Tyr): n(PSI)=1:1时,Tyr-PASP对CaCO3表现出最佳的抑制效果,且质量浓度为4 mg/L时阻垢效率达到了100%,在5 mg/L时,对CaSO4的抑制效率也达到100%。 添加Tyr-PASP后,水垢晶形从稳定的方解石和文石变成了不稳定的球霰石,形貌也变得松散。 分子动力学模拟表明,Tyr-PASP和方解石之间的相互作用是放热的,并且远高于传统的吸附能,静电力在Tyr/PASP和方解石之间的结合中起主要作用。 此外,Tyr-PASP对氧化铁的分散效果显著提高。
In order to solve the problem that polyaspartic acid (PASP) has poor scale inhibition effect at high Ca2+ concentration and poor effect of dispersing iron oxide, tyrosine (Tyr) was grafted to the side chain of PASP by ring-opening modification of the intermediate polysuccinimide (PSI). An environmentally friendly scale inhibitor of tyrosine-polyaspartic acid copolymer (Tyr-PASP) was synthesized and possessed a plurality of functional groups such as carboxyl group, amino group, amide group and phenolic hydroxyl group. The static scale inhibition experiment proved that Tyr-PASP possessed a better scale inhibition ability than PASP. When the molar ratio of n(Tyr): n(PSI)=1:1, Tyr-PASP showed the best scale inhibition effect against CaCO3, and the inhibition efficiency reached up to 100% with a mass concentration of 4 mg/L. At 5 mg/L, the inhibition efficiency against CaSO4 also achieved 100%. After the addition of Tyr-PASP, the crystal form of scale changed from stable calcite and aragonite to unstable vaterite, and the morphology became loose. Molecular dynamics simulations show that the binding between Tyr/PASP and calcite is exothermic and the binding energy is much higher than that of conventional adsorption energy. Electrostatic forces play a major role in the binding between Tyr-PASP and calcite. In addition, the dispersion effect of Tyr-PASP on iron oxide is also significantly improved.
工业生产中对水资源的需求量越来越大,为节约和保护水资源,通常对其进行重复使用。 工业循环冷却水在重复利用的过程中,其中的Ca2+易与其他阴离子反应形成难溶的水垢并粘附在管壁上,这不仅会降低传热效率,而且会加速管道的腐蚀[1,2]。 每年由于水垢所产生的非生产性费用数额巨大[3]。 现已经开发了各种工业阻垢剂来抑制水垢的生成。 但目前广泛使用的氨基三亚甲基磷酸和聚醚聚氨基亚甲基磷酸盐等含磷抑制剂在排放后会导致水体富营养化,不符合绿色化学的要求[4]。 出于人们对美好生活环境的强烈愿望,迫切需要研发绿色高效的无磷阻垢剂[5]。
聚天冬氨酸(PASP)含有大量羧基,具有良好的螯合和分散能力,是一种环保型多功能聚合物,已广泛应用于水处理领域[6]。 虽然PASP对CaCO3和CaSO4具有较好的抑制效果,但在高Ca2+质量浓度下对水垢的抑制能力较差,限制了其在工业冷却水中的应用[7]。 为了提高其阻垢性能,人们通常采用开环改性的方法在PASP上接枝侧链以引入羟基和羧基等功能性官能团[8]。 例如,Sun等[9]合成的聚天冬氨酸-色氨酸共聚物在PASP的侧链引入了羧基和不饱和氮杂环,增强了对水垢的抑制能力。
本文利用酪氨酸(Tyr)中的氨基对聚琥珀酰亚胺(PSI)进行开环反应将Tyr中的羧基和酚羟基接枝到聚天冬氨酸的侧链以提高PASP的阻垢和分散氧化铁的能力。 首先用红外(FTIR)和核磁(1H NMR)对合成的酪氨酸/聚天冬氨酸共聚物(Tyr-PASP)进行了表征。 然后通过静态阻垢实验测试了Tyr-PASP对水垢的抑制效率。 分别用X射线衍射仪(XRD)和扫描电子显微镜(SEM)对水垢的晶形和形貌的变化进行了表征。 并通过分子动力学模拟研究了Tyr-PASP和方解石相互作用体系的结合能和作用机理。 最后探究了Tyr-PASP对Fe2O3的分散性能。
vertex 70型傅里叶变换红外光谱仪(FTIR,德国FEI公司);AVANCE400型核磁共振波谱仪(NMR,布鲁克biospin AG有限公司);Nova Nano SEM450型扫描电子显微镜(SEM,德国FEI公司);D8 FOCUS型多晶衍射仪(布鲁克AXS有限公司)。
酪氨酸购自天津希恩斯生化科技有限公司;马来酸酐购自天津希恩斯生化科技有限公司;二水氯化钙购自阿拉丁试剂有限公司;碳酸氢钠购自阿拉丁试剂有限公司;无水硫酸钠购自天津市化学试剂六厂;六水硫酸亚铁铵购自天津市化学试剂六厂。 以上试剂纯度均为分析纯。 聚琥珀酰亚胺(PSI)用马来酸酐和氨水在180 ℃下发生聚合反应生成。
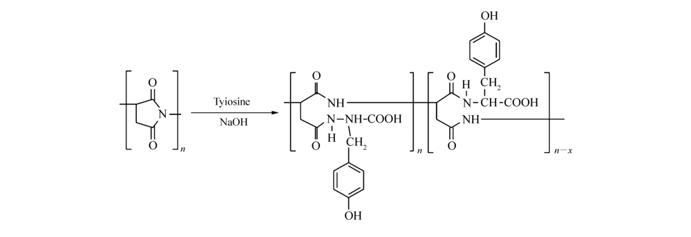
在三口烧瓶中将1 g PSI溶于去离子水并于40 ℃下搅拌成悬浮液。然后根据物质的量比称量1.83 g酪氨酸溶于2 mol/L的氢氧化钠溶液,用恒压滴液漏斗将其缓慢加入到PSI的悬浮液中,并在40 ℃下反应3 h。 用稀盐酸将反应后溶液的pH值调至中性,倒入乙醇中沉淀,最终的黄褐色沉淀即为Tyr-PASP(Scheme 1)。 直接在碱性条件下对PSI进行水解可获得PASP。
分别称取0.25 g PASP和Tyr-PASP溶于DMF中并定容于50 mL容量瓶中,配制成质量浓度为0.005 g/mL的溶液,分别用乌氏粘度计测试DMF、PASP溶液、Tyr-PASP溶液的流出时间,做3次取平均值,则产物的聚合度(DP)可用下列公式计算。
式中, η为溶液粘度(Pa·s), t为溶液流出时间(s), t0为溶剂DMF的流出时间(s), ρ为溶液质量浓度(g/mL)。
分别根据GB/T 16632-2008和SY/T 5673-1993,通过静态阻垢实验测试Tyr-PASP对CaCO3和CaSO4的抑制效率[10]。 设计CaCO3试样为
式中, V2是添加阻垢剂并加热后滴定滤液所用的EDTA体积(mL), V0和 V1是在不加阻垢剂的情况下加热前后分别滴定滤液所用的EDTA体积(mL)。
模拟中涉及的计算利用Materials Studio 8.0完成。采用可视化模块建立分子模型,利用Forcite模块和COMPASS Ⅱ力场对方解石与Tyr/PASP之间的相互作用进行分子动力学模拟。 Tyr-PASP设计为不同聚合度(DP=2、4、6),在DP=2时设计不同链数(Chain=1、2、3),单体之间的扭转角设定为0°、±45°、±90°、±135°和180°,利用几何优化来优化Tyr-PASP的配置并找到最小能量配置。 方解石晶体的晶格参数为: a= b=0.499 nm, c=1.706 nm, α= β=90°, γ=120°。 沿特定晶向切割方解石晶体的104和110表面并构建4×8的超晶胞。 设置2.0 nm的真空层以消除其他周期性原子的影响。 最上面两层方解石晶体从303 K至1 053 K进行退火,步长为50 K。 将最小能量配置的Tyr-PASP放置在退火后得到的具有最低能量的方解石表面,距离为0.3~0.4 nm。 进行几何优化后在NVT系统中于353 K下进行分子动力学模拟,总模拟时间100 ps,时间步长为1 fs。 计算Tyr-PASP和方解石晶体之间的结合能[11]。 结合能按式(4)计算:
式中, Etotal代表动力学计算后系统的能量(kJ/mol), Ecalcite和 ETyr-PASP分别代表动力学计算后方解石和Tyr-PASP分子的能量(kJ/mol)。
将CaCl2·2H2O和(NH4)2FeSO4·6H2O溶于去离子水配置实验水样为
Tyr-PASP的NMR和FTIR谱图如图1所示。在图1A中,4.8处为D2O的溶剂峰,2.4~2.8为PASP中亚甲基的共振峰,4.1~4.6处为PASP中次甲基的共振峰,2.8~3.2处为侧链酪氨酸中亚甲基的共振峰,3.9处为酪氨酸中次甲基的共振峰,7.0左右为酪氨酸中苯环的次甲基的共振峰,由此表明PASP和Tyr-PASP被成功合成。
在图1B中,3400 cm-1处为二级酰胺中N—H键的伸缩振动峰,1585 cm-1处为酰胺中C=O键的伸缩振动峰,1400 cm-1处为仲酰胺的N—H键的变形振动和C—N键的伸缩振动吸收峰,表明PASP的成功合成。 3203 cm-1处为苯环中—OH的伸缩振动峰,1510 cm-1处为苯环中C=C键的伸缩振动吸收峰,表明酪氨酸成功地接枝到了PASP的侧链。
直接采用合成的阻垢效果最好的PASP进行试验,通过计算PASP的DP为75左右。图2为合成的Tyr-PASP的DP。 在开环反应中并不是所有的酪氨酸均会接枝在PASP上,但当 n(Tyr): n(PSI)增加时,反应会向正向进行。 从图2中可以看出,随着 n(Tyr): n(PSI)的增加,Tyr-PASP的DP明显增加。 当 n(Tyr): n(PSI)=1:1时,Tyr-PASP的DP为120左右。
Tyr-PASP的对水垢的抑制效率如图3所示。图3A为不同物质的量比的酪氨酸和PSI合成的Tyr-PASP对CaCO3的抑制效率。 随着酪氨酸物质的量比的增加合成的Tyr-PASP阻垢效率明显提高,当 n(Tyr): n(PSI)=1:1时,合成的Tyr-PASP表现出最好的阻垢效果,且质量浓度为4 mg/L时阻垢效率就达到100%,明显高于PASP。 Ca2+质量浓度对Tyr-PASP 抑制CaCO3的影响如图3B所示,Tyr-PASP质量浓度均为2 mg/L。 随着Ca2+质量浓度的增加抑制效率呈现出明显的下降趋势。 这是因为Ca2+与阴离子的碰撞几率增加,加快了水垢晶体的形成。 但Tyr-PASP的抑制效率还是明显高于PASP,Ca2+质量浓度达到900 mg/L时,Tyr-PASP的阻垢效率仍然高于60%,表明Tyr-PASP完全可以应用于高硬度冷却水。 Tyr-PASP对CaSO4的抑制效率如图3C所示。 PASP展现出非常好的阻垢效率并在3 mg/L时达到了90%以上。 相比PASP,Tyr-PASP对CaSO4的阻垢效率更加优异,并于5 mg/L时达到了100%。 阻垢效率的提高是由于侧链中引入的酪氨酸结构中的酚羟基和羧基,并且在氨基开环反应中生成了大量的酰胺基,能够产生协同效应,有效地解决了PASP作为阻垢剂存在的阈值效应问题。 酰氨基中的氮原子和酚羟基中的氧原子也含有孤对电子并具有电负性,可以螯合水中的Ca2+,并且引入酚羟基后分子链间的排斥作用增强,使螯合物更加均匀的分散在溶液中,从而增加了Ca2+的溶度积[13]。 另一方面,Tyr-PASP会附着在已经成核的水垢晶体表面,导致晶体晶格发生畸变,抑制了水垢晶体生长[14]。 但随着反应物中酪氨酸摩尔量继续增加,会增大Tyr-PASP的接枝率,PASP中原本的羧基过多地反应形成酰胺,协同效应减弱,所以对水垢的抑制能力会有所下降。
加入Tyr-PASP前后水垢的XRD谱图如图4所示。图4A是CaCO3的谱图,在加入Tyr-PASP之前,CaCO3主要以性质稳定的文石和方解石的晶型存在,而且衍射峰强度较高。加入Tyr-PASP之后,CaCO3出现了不稳定的球霰石特征峰,且文石的特征峰强度明显降低。 Tyr-PASP能够附着在水垢表面的活性位点上,使晶格发生畸变,从而抑制晶体的生长,另外,Tyr-PASP能够掺杂在已经形成的水垢内部,使水垢晶格发生位错,分子间作用力减小,使CaCO3从致密的硬垢变成了松散的软垢,容易被水流冲走[15]。图4B是CaSO4的XRD谱图,虽然加入Tyr-PASP后晶体衍射峰的位置没有发生变化,但衍射峰的强度明显减弱。 可以推测出CaSO4的晶体强度减弱,也变成了相对松散的结构。
添加Tyr-PASP前后CaCO3和CaSO4的形貌变化如图5所示。图5A是没有添加Tyr-PASP获得的CaCO3晶体,整体结构比较致密,呈现为比较规则的块状和柱状晶体。 加入Tyr-PASP之后,获得的CaCO3晶体如图5B所示,形貌发生了较大的变化,表现为比较松散的粉末状和块状固体。图5C是没有添加Tyr-PASP获得的CaSO4晶体,呈现为表面光滑致密的细柱状单斜晶体。 加入Tyr-PASP之后,获得的CaSO4晶体如图5D所示,表面被刻蚀严重,被水流冲刷容易发生断裂而被带走。 由此表明添加Tyr-PASP对晶体形貌产生了很大影响,从致密坚硬的结构变成了松散的结构[16]。
动力学计算前后Tyr-PASP在方解石表面上的变化如图6所示。 在进行分子动力学模拟后,Tyr-PASP向方解石表面移动并吸附在表面上,这表明Tyr-PASP与方解石产生了强烈的相互作用。 从表1中可以看出,Tyr-PASP与方解石系统的结合能为负,证明Tyr-PASP和方解石之间的相互作用是放热的,并且远高于传统的吸附能。 结合能越负,Tyr-PASP和方解石之间的相互作用越强烈。 在相同相对分子质量下,多条低DP的Tyr-PASP分子链与方解石表面的结合能大于一条高DP的Tyr-PASP分子链,在一定程度上表明并不是DP越高阻垢效果就越好。 Tyr-PASP和110表面之间的结合能高于和104表面之间的结合能,表明Tyr-PASP和110表面之间的相互作用更强,这与方解石表面活性一致[17]。
| 图6 动力学计算前后Tyr-PASP到方解石表面距离的变化Fig.6 The change of the distance between the Tyr-PASP and the calcite surface before and after dynamic calculation |
| 表1 Tyr-PASP和方解石相互作用系统的结合能 Table 1 Binding energy of the Tyr-PASP and calcite interaction system |
Tyr-PASP与方解石间的相互作用如图7所示。 羧基、氨基和酚羟基中的H原子与方解石中的氧原子形成许多分子间氢键。 Tyr-PASP中的氧原子与方解石中的钙原子之间的距离在0.22~0.28 nm之间,与方解石的内部结构相似,其产生的静电力在Tyr-PASP和方解石之间的相互作用中起到了重要作用[18]。 此外,羧基和酚羟基中的
Tyr-PASP对氧化铁的分散效果如图7所示,分散效果越好则溶液的透光率越低。 随着阻垢剂质量浓度的增加,溶液的透光率均呈现明显的下降趋势。 Tyr-PASP的分散效果明显优于PASP,当Tyr-PASP质量浓度为60 mg/L时,溶液的透光率下降到30%,氧化铁已经被均匀地分散在溶液当中。 这表明引入的羧基和酚羟基提升了PASP的分散能力。 氧化铁附着在阻垢剂表面形成双电层,晶粒之间因静电作用而相互排斥,减小了氧化铁之间碰撞团聚的可能性,从而将其均匀分散在溶液中。
将酪氨酸接枝在聚天冬氨酸的侧链上成功地制备了Tyr-PASP。 引入了羧基、酚羟基并在开环反应中生成了大量的酰胺基。 Tyr-PASP对CaCO3和CaSO4均表现出优异的抑制效率。 酰氨基中的氮原子和酚羟基中的氧原子含有大量的孤对电子,与羧基起到协同效应,螯合水中的钙离子形成稳定的络合物,并均匀地分散在水中。 当溶液中Ca2+质量浓度达到900 mg/L时,Tyr-PASP对CaCO3的抑制效率仍高于60%,表明Tyr-PASP完全可用于高硬度冷却水。 Tyr-PASP使水垢晶体发生了晶格畸变从而改变了水垢的晶型和形貌,将水垢从容易附着在管壁的硬垢变为容易被水流冲走的软垢,避免了传热效率的降低和垢下腐蚀对设备造成的损害。 分子动力学模拟表明氢键和静电力在Tyr-PASP与方解石的相互作用中起到了重要作用,并且在相互作用的过程中放出的能量远高于传统的吸附能。 Tyr-PASP对氧化铁具有良好的分散性,使氧化铁不易附着在管壁上,减小了对热传递造成的影响。
| [1] |
|
| [2] |
|
| [3] |
|
| [4] |
|
| [5] |
|
| [6] |
|
| [7] |
|
| [8] |
|
| [9] |
|
| [10] |
|
| [11] |
|
| [12] |
|
| [13] |
|
| [14] |
|
| [15] |
|
| [16] |
|
| [17] |
|
| [18] |
|

