合成2种双8-羟基喹啉配体:3,5-二[4-(8-羟基喹啉-5-亚甲氨基)苯氧基]苯甲酸辛酯(B8HQO)和3,5-二[4-(8-羟基喹啉-5-亚甲氨基)苯氧基]苯甲酸十六酯(B8HQH),进一步与Zn(Ⅱ)、Al(Ⅲ)配位,得到4种金属配位聚合物(B8HQO-Zn、B8HQH-Zn、B8HQO-Al和B8HQH-Al)。 通过元素分析、红外光谱(FIIR)、紫外可见光谱(UV-Vis)、核磁共振氢谱(1H NMR)、电感耦合等离子体发射光谱(ICP-OES)、热重分析(TGA)及荧光光谱等测试手段对配体及金属配位聚合物进行结构表征和性能研究。 结果表明,与配体B8HQO和B8HQH相比,4种配位聚合物的溶解性降低,但可部分溶于 N, N-二甲基甲酰胺(DMF)、 N, N-二甲基乙酰胺(DMAC)、二甲基亚砜(DMSO)和 N-甲基吡咯烷酮(NMP)中。 锌、铝配位聚合物的5%失重温度分别在378和364 ℃附近,具有较好的热稳定性。 4种配位聚合物的DMF溶液(3×10-5 mol/L)在478~502 nm发射绿色荧光,荧光量子效率28%~37%,固体在528~553 nm发射强绿色荧光,具有良好的发光性能。
Two novel ligands, 3,5-bis(4-(8-hydroxyquinoline-5-methyleneamino)phenoxy)octyl benzoate(B8HQO) and 3,5-bis(4-(8-hydroxyquinoline-5-methyleneamino)phenoxy)hexadecyl benzoate(B8HQH) were synthesized and coordinated with Zn(Ⅱ) and Al(Ⅲ), respectively, to get the four corresponding coordination polymers(B8HQO-Zn, B8HQH-Zn,B8HQO-Al and B8HQH-Al). Their structures and properties were characterized by elemental analysis, Fourier transform infrared spectrometer(FTIR), UV-visible absorption(UV-Vis), proton nuclear magnetic resonance spectroscopy(1H NMR), inductively coupled plasma optical emission spectroscopy(ICP-OES), thermal gravimetric analyzer(TGA) and fluorescence spectroscopy. The results indicate that compared with B8HQO and B8HQH, the solubility of the four coordination polymers is reduced, but can be partially soluble in N, N-dimethyl formamide(DMF), N, N-dimethyl acetamide(DMAC), dimethylsulfone(DMSO), N-methylpyrrolidone(NMP). The 5% mass loss temperatures of zinc and aluminum coordination polymers at around 378 and 364 ℃, respectively, show that they have good thermal stability. The fluorescence measurement shows that they emit green luminescence at 478~502 nm in DMF solution(3×10-5 mol/L) and their fluorescence quantum efficiency is 28%~37%. The four coordination polymers emitting strong green luminescence at 528~553 nm in the solid state show that they have good luminescent properties.
8-羟基喹啉金属配合物在光致和电致发光[1,2,3]、光学传感[4,5]、染料敏化太阳能电池[6,7]等领域具有广泛的应用前景。 特别是其优异的发光性能备受人们的关注,8-羟基喹啉金属配合物作为发光材料在制备有机发光二极管(OLED)等领域已得到实际应用[8,9,10]。 但小分子8-羟基喹啉金属配合物有难加工成型、易结晶、难成膜等缺点,在一定程度上限制其应用[11]。 金属离子与聚合物直接掺杂制备光电功能材料的方法简便、材料易于加工成型,但金属离子简单掺杂易发生聚集而导致光电性能下降[12]。 含8-羟基喹啉结构配体与金属离子形成配位聚合物,金属离子能够均匀分布于配位聚合物体系中,克服了金属离子与聚合物简单掺杂导致金属离子聚集的缺点,同时具有小分子8-羟基喹啉金属配合物优异的发光性能及聚合物良好的热稳定性和加工性能[13,14,15]。 8-羟基喹啉及其衍生物的锌、铝配合物具有优良发橙、黄、绿光性能,是得到实际应用的重要发光材料[8,16]。 小分子8-羟基喹啉锌、铝配合物有小分子金属配合物同样的缺点,为了弥补其缺陷,设计合成综合性能优良的8-羟基喹啉锌、铝配位聚合物,在光电功能材料研究领域具有重要意义。
本文设计合成了2种双8-羟基喹啉配体:3,5-二[4-(羟基喹啉-5-亚甲氨基)苯氧基]苯甲酸辛酯(B8HQO)和3,5-二[4-(羟基喹啉-5-亚甲氨基)苯氧基]苯甲酸十六酯(B8HQH),进一步与Zn(Ⅱ)和Al(Ⅲ)配位得到4种金属配位聚合物(B8HQO-Zn、B8HQH-Zn、B8HQO-Al和B8HQH-Al)。 对所合成的配体及配位聚合物进行了结构表征,研究其溶解性、热稳定性和荧光性能,期望得到具有较好溶解性、良好热稳定性和荧光性能的功能材料。
Vario EL Cube CHN/O型元素分析仪(德国Elementar公司); Nicolets50型傅里叶变换红外光谱仪(FTIR,美国Nicolet公司),KBr压片;Cary-300型紫外-可见分光光度计(UV-Vis,美国Agilent公司);Brucker-AVANCE 500 MHz型核磁共振仪(NMR,瑞士Bruker公司),TMS为内标,氘代二甲基亚砜(DMSO- d6)为溶剂;ICP-OES 7300DV型电感耦合等离子体发射光谱仪(ICP,美国Perkin Elmer公司);Diamond TGA型热重-差热综合热分析仪(TG-DTC,美国Perkin Elmer公司),N2气气氛下,升温速度为10 ℃/min;F-7000型荧光光谱仪(日本日立公司)。
3,5-二羟基苯甲酸、对氟硝基苯、无水醋酸锌、六水氯化铝购自阿拉丁试剂公司,辛醇、十六醇购自北京百灵威科技有限公司,质量分数10%钯碳购自上海国药公司,8-羟基喹啉、氯化亚砜、三乙胺、四氢呋喃等购自天津市科密欧化学试剂有限公司,所有试剂均为分析纯。
1.2.1 3,5-二(4-硝基苯氧基)苯甲酰氯的合成
3,5-二(4-硝基苯氧基)苯甲酸参考文献[17]合成。 将10.00 g(25.3 mmol)3,5-二(4-硝基苯氧基)苯甲酸、30 mL二氯甲烷(DCM)依次加入100 mL圆底烧瓶中,磁力搅拌溶解,缓慢滴加3.0 mL(41.3 mmol)氯化亚砜,回流反应12 h。 冷却,石油醚(60~90 ℃)中沉淀,过滤,真空干燥得白色固体3,5-二(4-硝基苯氧基)苯甲酰氯。 收率91.5 %,mp 135.2~137.1 ℃。
1.2.2 3,5-二(4-硝基苯氧基)苯甲酸辛酯及3,5-二(4-硝基苯氧基)苯甲酸十六酯的合成
将2.50 g(6.03 mmol)3,5-二(4-硝基苯氧基)苯甲酰氯、0.82 g(6.33 mmol)辛醇、15 mL DCM依次加入50 mL圆底烧瓶中,搅拌溶解,滴加0.61g(6.05 mmol)三乙胺(TEA)。 回流反应3 h,旋蒸溶剂。 四氢呋喃(THF)和乙醇混合溶剂重结晶,得白色固体3,5-二(4-硝基苯氧基)苯甲酸辛酯。 收率78.5%,mp 76.8~78.5 ℃。 3,5-二(4-硝基苯氧基)苯甲酸十六酯的合成方法同上,收率85.2%,mp 70.5~71.6 ℃。
1.2.3 双8-羟基喹啉配体B8HQO和B8HQH的合成
5-甲酰基-8-羟基喹啉参考文献[18]合成。 将2.00 g(3.94 mmol)3,5-二(4-硝基苯氧基)苯甲酸辛酯、10 mL THF加入到50 mL圆底烧瓶中,磁搅拌溶解,加入0.14 g 10%钯碳催化剂,H2气置换空气,通入H2气,磁搅拌过夜。 滤除钯碳,将得到3,5-二(4-氨基苯氧基)苯甲酸辛酯的THF溶液加入50 mL圆底烧瓶中,滴加5 mL含有1.40 g(8.07 mmol)5-甲酰基-8-羟基喹啉的THF溶液和2滴冰醋酸,回流反应4 h。 旋蒸溶剂,得固体粗产物。 THF和乙醇混合溶剂重结晶,得淡黄色针状晶体B8HQO。 收率73.2%,mp 141.1~143.0 ℃。 B8HQH的合成方法同B8HQO,收率67.5%,mp 142.2~145.3 ℃。
B8HQO:1H NMR(500 Hz,DMSO-d6), δ:10.57(s,2H,—OH),9.85(dd, J=8.7,1.5 Hz,2H,Py—H),9.02(s,2H, —CN=N—), 8.94(dd, J=4.1,1.5 Hz,2H,Py—H),8.08(d, J=8.2 Hz,2H,Ph—H),7.71(dd, J=8.7,4.0 Hz,2H,Py—H),7.44(d, J=8.3 Hz,4H,Ph—H),7.22(d, J=2.5 Hz,2H,Ph—H),7.21(d, J=8.5 Hz,4H,Ph—H),7.20(d, J=8.8 Hz,2H,Ph—H),7.00(t, J=2.5 Hz,1H,Ph—H),4.22(t, J=6.3 Hz,2H,—OCH2—),1.65~1.59(m,2H,—OCH2CH2—),1.09~1.27(m,10H,—(CH2)5—CH3),0.82(t, J=7.0 Hz,3H,—CH3);IR(KBr), σ/cm-1:3424( ν —OH),3074( ν ArH),2917、2848( ν —CH2—,—CH3),1718( ν—C=O),1609( νC=N),1568、1497( ν Ar),1442、1379( δ —CH2—,—CH3),1306( ν C—N),1247、1191( ν C—O—C),839、790、699( δ ArH),711( δ —(CH2)7—);元素分析C47H42O6N4(理论值)/%:C 74.33(74.40),H 5.63(5.54),N 7.35(7.38)。
B8HQH:1H NMR(500 Hz,DMSO-d6), δ:10.53(s,2H,—OH),9.83(dd, J=8.5,1.5 Hz,2H,Py—H),9.00(s,2H, —CN=N—),8.91(dd, J=4.5,1.8 Hz,2H,Py—H),8.05(d, J=8.5 Hz,2H,Ph—H),7.69(dd, J=8.5,4.5 Hz,2H,Py—H),7.41(d, J=8.5 Hz,4H,Ph—H),7.19(d, J=2.3 Hz,2H,Ph—H),7.18(d, J=8.2 Hz,4H,Ph—H),7.17(d, J=8.5 Hz,2H,Ph—H),6.99(t, J=2.2 Hz,1H,Ph—H), 4.19(t, J=6.5 Hz,2H,—OCH2—),1.62~1.56(m,2H,—OCH2CH2—),1.04~1.33(m,26H,—(CH2)13—CH3),0.80(t, J=6.6 Hz,3H,—CH3);IR(KBr), σ/cm-1:3428( ν —OH),3080( ν ArH),2923、2854( ν —CH2—,—CH3),1718( ν—C=O),1606( νC=N),1570、1494( ν Ar),1445、1372( δ —CH2—,—CH3),1304( ν C—N),1244、1188( ν C—O—C),841、785、699( δ ArH),749( δ —(CH2)15—);元素分析C55H58O6N4(理论值)/%:C 75.80(75.86),H 6.62(6.67),N 6.55(6.43)。
将1.20 g(1.59 mmol)配体B8HQO、15 mL N, N-二甲基甲酰胺(DMF)依次加入50 mL圆底烧瓶中,磁力搅拌溶解,N2气保护下,滴加10 mL溶有0.29 g(1.59 mmol)无水醋酸锌的DMF溶液,室温搅拌反应8 h。 乙醇重沉淀,得橙黄色粉末状固体B8HQO-Zn,收率76.2%。 B8HQH-Zn的合成方法同B8HQO,收率75.5%。
B8HQO-Zn:IR(KBr), σ/cm-1:3063( ν ArH),2921、2850( ν —CH2—,—CH3),1721( ν—C=O),1602( νC=N),1568、1494( ν Ar),1460、1385( δ —CH2—,—CH3),1329( ν C—O—Zn),1302( ν C—N),1240、1193( ν C—O—C),843、781、662( δ ArH),735( δ —(CH2)7—),529( ν Zn—O),488( ν Zn—N);元素分析(C47H40O6N4Zn) n(理论值)/%:C 68.61(68.69),H 4.94(4.87),N 6.63(6.57)。 ICP Zn(理论值)/%:4.17(4.26)。
B8HQH-Zn:IR(KBr), σ/cm-1:3079( ν ArH),2921、2850( ν —CH2—,—CH3),1721( ν—C=O),1600( νC=N),1565、1499( ν Ar),1454、1378( δ —CH2—,—CH3),1337( ν C—O—Zn),1302( ν C—N),1232、1190( ν C—O—C),838、789、699( δ ArH),744( δ —(CH2)15—),523( ν Zn—O),453( ν Zn—N);元素分析(C55H56O6N4Zn) n(理论值)/%:C 70.80(70.73),H 5.28(5.35),N 5.81(5.78)。 ICP Zn(理论值)/%:6.87(6.96)。
将1.20 g(1.59 mmol)配体B8HQO、15 mL DMF加入50 mL圆底烧瓶中,N2气保护下,滴加10 mL溶有0.26 g(1.05 mmol)AlCl3·6H2O的DMF溶液,室温搅拌反应8 h。 乙醇重沉淀,得黄色粉末状固体B8HQO-Al,收率77.3%。 B8HQH-Al的合成方法同B8HQO-Al,收率76.7%。
B8HQO-Al:IR(KBr), σ/cm-1:3067( ν ArH),2929、2854( ν —CH2—,—CH3),1713( ν—C=O),1598( νC=N),1563、1493( ν Ar),1460、1390( δ —CH2—,—CH3),1323( ν C—O—Al),1303( ν C—N),1254、1195( ν C—O—C),839、780、689( δ Ar—H),735( δ —(CH2)7—),509( ν Al—O),467( ν Al—N);元素分析(C141H120O18N12Al2) n(理论值)/%:C 72.81(72.86),H 5.10(5.16),N 7.27(7.23);ICP Al(理论值)/%:2.65(2.32)。
B8HQH-Al:IR(KBr), σ/cm-1:3049( ν ArH),2917、2848( ν —CH2—,—CH3),1718( ν—C=O),1599( νC=N),1568、1492( ν Ar),1477、1374( δ —CH2—,—CH3),1330( ν C—O—Al),1300( ν C—N),1200、1186( ν C—O—C),833、789、667( δ Ar—H),738( δ —(CH2)15—),523( ν Al—O),495( ν Al—N);元素分析(C165H168O18N12Al2) n(理论值)/%:C 74.60(74.49),H 6.26(6.32),N 6.22(6.32);ICP Al(理论值)/%:2.09(2.03)。
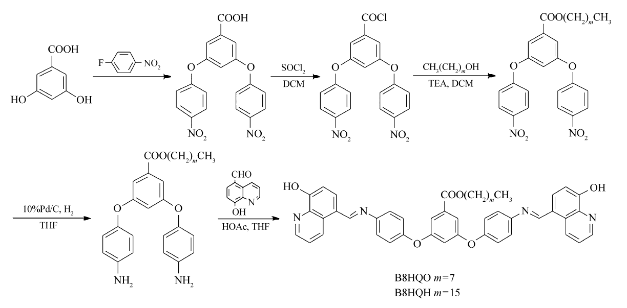
以3,5-二羟基苯甲酸为原料,经5步反应合成了2种双8-羟基喹啉配体,进一步与Zn(Ⅱ)、Al(Ⅲ)配位得到4种金属配位聚合物。 双8-羟基喹啉配体及其锌、铝配位聚合物的合成路线如Scheme 1和Scheme 2所示。
2.2.1 双8-羟基喹啉配体的核磁共振氢谱分析
图1为配体B8HQO的1H NMR谱图。 10.57处单峰为酚羟基氢质子信号峰;9.85处dd峰为吡啶环2号氢质子信号峰;9.02处单峰为希夫碱7号氢质子信号峰;8.94处dd峰为吡啶环4号氢质子信号峰;8.08处双峰为苯环6号氢质子信号峰;7.71处dd峰为吡啶环3号氢质子信号峰;7.44处双峰为苯环9号氢质子信号峰;7.22处双峰为苯环11号氢质子信号峰;7.21处双峰为苯环8号氢质子信号峰;7.20处双峰为苯环5号氢质子信号峰;7.00处三重峰为苯环10号氢质子信号峰;4.22处三重峰为烷基12号氢质子信号峰;1.65~1.59处多重峰为烷基13号氢质子信号峰;1.09~1.27处多重峰为烷基14~18号氢质子信号峰;0.82处三重峰为烷基19号氢质子信号峰。 B8HQH在1.04~1.33处出现的长烷基链—COOCH2CH2(CH)13CH3 26个氢质子信号峰,其它氢质子信号峰的出峰位置与B8HQO基本一致(谱图见辅助材料图S1)。
2.2.2 双8-羟基喹啉配体及其锌、铝配位聚合物的红外光谱分析
图2为B8HQO、B8HQO-Zn和B8HQO-Al的FI-IR谱。 配体B8HQO在3424 cm-1处出现酚羟基伸缩振动吸收峰,3074 cm-1处出现芳环不饱和C—H伸缩振动吸收峰,2917、2848 cm-1处出现饱和C—H伸缩振动吸收峰,1718 cm-1处出现酯基C=O伸缩振动吸收峰,1609 cm-1处出现C=N伸缩振动吸收峰,1568、1497 cm-1处出现芳环骨架振动吸收峰,1442、1379处出现饱和C—H弯曲振动吸收峰,1306 cm-1处出现C—N伸缩振动吸收峰,1247、1191 cm-1处出现C—O—C反对称与对称伸缩振动吸收峰,839、790、699 cm-1处出现芳环C—H弯曲振动吸收峰,711 cm-1处出现长烷基链C—H弯曲振动吸收峰。 B8HQO-Zn、B8HQO-Al与B8HQO相比,1609 cm-1处的C=N伸缩振动吸收峰在配位后,分别红移至1602和1598 cm-1。 在1329和1323 cm-1处分别出现C—O—Zn和C—O—Al伸缩振动吸收峰[19]。 B8HQO-Zn分别在529和488 cm-1处出现Zn—O和Zn—N的伸缩振动吸收峰,B8HQO-Al分别在509和467 cm-1处出现Al—O和Al—N的伸缩振动吸收峰[20],其它吸收峰变化不大。 B8HQH、B8HQH-Zn和B8HQH-Al的红外光谱分别与B8HQO、B8HQO-Zn和B8HQO-Al相似(谱图见辅助材料图S2)。
2.2.3 双8-羟基喹啉配体及其锌、铝配位聚合物的紫外光谱分析
图3为B8HQO、B8HQO-Zn和B8HQO-Al的DMF溶液(3×10-5 mol/L)UV-Vis谱。 配体B8HQO在273、299 nm处的吸收峰分别为两个苯环的 π-π*跃迁吸收峰,318 nm处出
现喹啉环 π-π*跃迁吸收峰,361 nm处出现希夫碱C=N与喹啉环和苯环共轭结构的 π-π*跃迁吸收峰,B8HQO结构中的 n-π*跃迁吸收峰被以上吸收峰掩盖。 形成配位聚合物B8HQO-Zn和B8HQO-Al后,距C=N较远苯环的 π-π*跃迁吸收峰位置变化不大。 B8HQO-Zn是线性结构,与C=N直接相连的苯环及喹啉环的 π-π*跃迁吸收峰分别红移至302、323 nm处,希夫碱C=N与喹啉环和苯环共轭结构的 π-π*跃迁吸收峰强度有所减弱。 B8HQO-Al是体型结构,空阻影响降低了共轭效应,导致与C=N直接相连的苯环及喹啉环的 π-π*跃迁吸收峰分别蓝移至292、316 nm处,希夫碱C=N与喹啉环和苯环共轭结构的 π-π*跃迁吸收峰蓝移至354 nm处且强度明显减弱。 B8HQO-Zn和B8HQO-Al分别在422和400 nm处出现金属向配体的电荷转移(MLCT)跃迁吸收峰[21],表明配体B8HQO与Zn2+、Al3+成功配位。 B8HQH、B8HQH-Zn和B8HQH-Al的UV-Vis谱与B8HQO、B8HQO-Zn和B8HQO-Al相似,B8HQH在272、296、316、361 nm出现吸收峰;B8HQH-Zn在271、300、322、358、420 nm出现吸收峰;B8HQH-Al在269、291、313、352、402 nm出现吸收峰(谱图见辅助材料图S3)。
通过元素分析、ICP、FI-IR、1H NMR、UV-Vis测试结果分析,确定双8-羟基喹啉配体B8HQO和B8HQH的结构。 B8HQO、B8HQH与Zn(Ⅱ)和Al(Ⅲ)配位后,溶解性变差,FI-IR、UV-Vis及荧光光谱都发生了明显变化,元素分析和ICP数据与理论值基本相符,表明成功合成双8-羟基喹啉配体及其锌、铝配位聚合物B8HQO-Zn、B8HQH-Zn、B8HQO-Al和B8HQH-Al。
2.3.1 双8-羟基喹啉配体及其锌、铝配位聚合物的溶解性
配体B8HQO和B8HQH易溶于THF、CHCl3、DMF、 N, N-二甲基乙酰胺(DMAC)、DMSO和 N-甲基吡咯烷酮(NMP)这些常用有机溶剂。 形成锌、铝配位聚合物后,溶解性降低,但B8HQO-Zn、B8HQH-Zn、B8HQO-Al和B8HQH-Al均可部分溶于DMF、DMAC、DMSO和NMP。
2.3.2 锌、铝配位聚合物的热稳定性
图4为配位聚合物热重曲线。 在N2气气氛下,以10 ℃/min的速率升温,B8HQO-Zn、B8HQH-Zn、B8HQO-Al和B8HQH-Al分别在23~264 ℃、23~253 ℃、23~249 ℃、23~251 ℃失重1.6%、1.4%、2.4%、2.3%,样品吸收的水分子逸出;在264~493 ℃、253~552 ℃、246~463 ℃、251~540 ℃迅速失重48.6%、46.6%、42.5%、47.7%,聚合物配位键断裂,同时伴随配体热分解;在493~800 ℃、552~800 ℃、463~800 ℃及540~800 ℃失重6.8%、4.0%、9.1%和7.0%,聚合物失重曲线变缓,当温度达到800 ℃时,配位聚合物完成大部分失重,残留物主要为金属氧化物和焦炭,分别剩余43%、48%、46%、43%。 B8HQO-Zn、B8HQH-Zn、B8HQO-Al和B8HQH-Al的5%失重温度分别为378.2、377.1、364.4和362.3 ℃。 结果表明,4种配位聚合物均具有良好的热稳定性。
2.2.3 锌、铝配位聚合物的荧光性能
图5为配位聚合物的DMF溶液(3×10-5mol/L)荧光光谱。 在室温下,B8HQO-Zn和B8HQH-Zn以395 nm光激发,分别在502和498 nm处发射绿色荧光;B8HQO-Al和B8HQH-Al在375 nm光激发下,分别在488和478 nm处发绿色荧光。 以4.0×10-6 mol/L硫酸奎宁(0.1 mol/L硫酸做溶剂)作参比,测得B8HQO-Zn、B8HQH-Zn、B8HQO-Al和B8HQH-Al的荧光量子效率分别为28%、35%、29%和37%。 表明金属配位聚合物具有较高的发光效率。图6为配位聚合物的固体荧光光谱,B8HQO-Zn和B8HQH-Zn以370 nm光激发,分别在553和549 nm处发射绿色荧光,B8HQO-Al和B8HQH-Al以365 nm光激发,分别在537和528 nm处发射绿色荧光。
双8-羟基喹啉配体B8HQO和B8HQH的DMF溶液及固体均发射极弱荧光,但与Zn(Ⅱ)、Al(Ⅲ)配位形成配位聚合物后,均发射强绿色荧光,达到配位改性的目的。 配位聚合物B8HQO-Zn、B8HQH-Zn、B8HQO-Al和B8HQH-Al是良好的发绿光材料。
本文设计合成2种新型双8-羟基喹啉配体B8HQO和B8HQH,进一步与Zn(Ⅱ)、Al(Ⅲ)配位得到4种配位聚合物B8HQO-Zn、B8HQH-Zn、B8HQO-Al和B8HQH-Al。 所合成的4种配位聚合物可部分溶于 N, N-二甲基甲酰胺、DMAC、二甲基亚砜和 N-甲基吡咯烷酮,具有较好的热稳定性和良好的发绿光性能,为光电功能材料领域提供新的发光材料。
辅助材料(Supporting Information)[B8HQH在DMSO- d6中的1H NMR谱;B8HQH、B8HQH-Zn和B8HQH-Al的FI-IR和UV-Vis光谱]可以免费从本刊网站(http://yyhx.ciac.jl.cn/)下载。
| [1] |
|
| [2] |
|
| [3] |
|
| [4] |
|
| [5] |
|
| [6] |
|
| [7] |
|
| [8] |
|
| [9] |
|
| [10] |
|
| [11] |
|
| [12] |
|
| [13] |
|
| [14] |
|
| [15] |
|
| [16] |
|
| [17] |
|
| [18] |
|
| [19] |
|
| [20] |
|
| [21] |
|

