设计合成了2个1,3-硒唑酰腙分子(SAF1和SAF2),并通过红外光谱(IR)和核磁共振谱(NMR)等对其进行了结构表征。 通过紫外-可见光谱(UV-Vis)和荧光光谱,利用探针SAF1和SAF2分别对9种常见的阴离子进行了监测。 结果发现,当加入醋酸根离子(AcO-)时,在UV-Vis中,探针SAF1和SAF2分别在500 nm和414 nm处出现一个新的吸收峰,探针SAF1对应的溶液颜色由淡黄色变为红色,探针SAF2对应的溶液颜色由浅黄色变为黄色,可实现裸眼识别;在荧光光谱中,417 nm附近产生强的荧光发射峰,且具有荧光开启(turn-on)功效,AcO-的最低检测限达10-5 mol/L,2个分子与AcO-的结合常数分别为3.03×104和1.42×104 L/mol,说明化合物SAF1和SAF2有望作为AcO-的特性荧光识别探针。
Two novel 1,3-selenazole carbonyl hydrazones(SAF1, SAF2) were synthesized and their structures were confirmed by infrared spectrometry and nuclear magnetic resonance. Monitoring of nine common anions using probes SAF1 and SAF2 was performed via ultraviolet-visible and fluorescent spectra. When acetate ions(AcO-) were added, a new absorption peak of SAF1 and SAF2 was found at 500 nm and 414 nm, respectively. The color of SAF1 and SAF2 solutions changed from pale yellow to red and yellow, respectively. These results show naked eye identification of AcO-. In fluorescent spectra, a strong emission peak at 417 nm is found with the turn-on effect. The lowest limit of detection for AcO- reaches 10-5 mol/L. The binding constants of SAF1 and SAF2 with AcO- are 3.03×104 and 1.42×104 L/mol, respectively. SAF1 and SAF2 are expected to be specific fluorescent probes toward AcO-.
醋酸根阴离子(AcO-)与人体内的代谢反应具有重要关联[1,2]。 AcO-在血液中主要起调节pH值、稳定酸度的作用。 AcO-含量过高,在体内蓄积过多,超过人体自身代谢能力,在临床上常发生恶心、疲倦、肌肉痛性痉挛等不良反应。 因此,对于AcO-监测识别具有重要意义[3]。
酰腙类分子中具有独特的酰亚胺键(—CONHN=CH—),尤其是当其与杂环拼合时,可提供附加的O、N和S等杂原子,增加其与生物体内大分子的相似性。 一方面杂环对分子电子迁移的影响以及杂原子可能产生附加的与阴离子间的氢键作用,导致荧光变化或颜色改变,有望对阴离子发生特异性的荧光识别或裸眼检测[4,5,6,7,8,9],另一方面可发挥其本身具有的优良的抗癌、抗结核、抗病毒和抗菌等活性[10,11],而且酰腙类分子的活性基团(—CONHN=CH—)能降低细胞毒性。
含有噻唑和噁唑组块的分子具有良好的细胞膜通透性,已成为许多抗癌和抗菌临床药物的主体骨架[12,13]。 硒是硒蛋白的组成元素,尤其是在某些硒酶的活性中心发现含有硒半胱氨酸,说明硒与生物大分子和硒酶活性密切相关[14]。 根据生物电子等排原理,将噻唑或噁唑化合物中的氧、硫元素换成硒元素形成硒唑,可以保持分子的构型和电子云分布,同时发挥硒元素的活性[15],进而获得安全性和活性俱佳的新型含硒酰腙分子,借助硒唑杂环对酰腙共轭体系中电子移动的影响,有望发现新型高选择性阴离子受体,作为阴离子荧光识别探针。
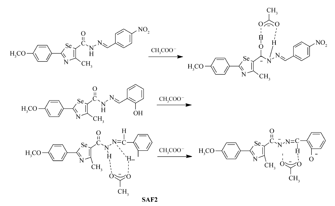
基于上述观点,本文设计了2个1,3-硒唑酰腙分子,在分子中引入酚羟基和硝基,一方面考察羟基作为附加氢键识别位点,另一方面考察强吸电基团硝基的吸电诱导作用,期望达到优化酰腙分子中阴离子的识别位点,通过协同作用提高设计分子对阴离子的识别能力,发现新型、高效和安全的,具有药用功能和作为阴离子荧光探针的分子。2个新型分子的合成路线Scheme 1所示。
对甲氧基苯腈、硒粉、硼氢化钠、2-氯乙酰乙酸乙酯、水合肼、对硝基苯甲醛、邻对羟基苯甲醛、无水乙醇、无水甲醇、二氧六环、氟化钾、氯化钾、四丁基溴化铵、碘化钾、无水乙酸钠、磷酸二氢钾、碳酸氢钠、磷酸氢二钠、硫酸钠和二甲基亚砜(DMSO),均为市售分析纯试剂。
AVANCE 500 MHz NMR型核磁共振波谱仪(瑞士布鲁克公司);Agilent-6224型高分辨质谱仪(HRMS,美国Agilent公司);傅里叶变换红外光谱仪(FTIR,德国Bruker AXS公司);X-5型显微熔点测定仪(北京泰克仪器有限公司),温度未校正;WFH-203B型三用紫外分析仪(上海精科实业有限公司);PEλ-17型紫外-可见分光光度计(UV-Vis,美国PE公司);RF-540型荧光光谱仪(日本岛津公司)。
1.2.1 化合物SA1(4-甲氧基-硒代苯甲酰胺)SA3的合成
化合物SA1根据文献[16,17]方法合成,所得表征数据与文献值一致。 在N2气气氛、温度控制在05 ℃,向1.185 g(0.015 mmol) Se粉和0.0757 g(0.018 mmol)NaBH4的混合物中缓慢滴加30 mL的绝对无水乙醇,然后在室温搅拌下,得无色悬浊液。 升温至78 ℃后体系转变为无色溶液,加入1.31 g(0.02 mmol)对甲氧基苯腈,搅拌溶解后得红色溶液。 向反应体系中加入1.62 mL(0.02 mmol)无水吡啶,搅拌14 h。 向反应体系中滴加2 mol/L的盐酸溶液,调节pH值为7,继续搅拌约30 min,加入20 mL水,搅拌1 h。 趁热过滤,滤液冷却至室温,倒入60 mL冰水混合物中搅拌,过滤,粗产品用20 mL环己烷重结晶,得深黄绿色固体,产率45%,mp 151153 ℃。1H NMR(500 MHz,DMSO-d6), δ:9.06(s,1H,NH),8.76(s,1H,NH),7.80(d, J=8.80 Hz,2H,PhH),7.23(d, J=8.80 Hz,2H,PhH),2.54(s,3H,CH3);13C NMR(125 MHz,DMSO-d6), δ:204.6(C=Se),140.7(Ph),138.4(Ph),129.7(Ph),127.2(Ph),55.62(OCH3);HRMS计算值C8H9NOSe(M+1)+ 214.9849,实测值214.9853。
2-(4-甲氧苯基)-4-甲基-1,3-硒唑-5-羧酸乙酯(SA2)的合成 称取0.4 g(1.9 mmol)化合物SA1于三颈瓶中,加入15 mL绝对无水乙醇搅拌溶解后,滴加0.265 mL(1.9 mmol)2-氯乙酰乙酸乙酯,室温下搅拌15 min,缓慢升温至78 ℃反应,反应完全后趁热过滤,将滤液倒入50 mL冰水混合物中搅拌,过滤后用乙醇重结晶得浅粉色针状晶体,收率82%,mp 95.1 96.0 ℃。 IR(KBr), σ/cm-1:3080,2936,1670,1599,1465,1250 841;1H NMR(500 MHz,DMSO-d6), δ:7.86(d, J=8.80 Hz,2H,PhH),6.94(d, J=8.80 Hz,2H,PhH),4.34(q, J=7.10 Hz,2H,CH2),3.86(s,3H,OCH3),2.74(s,3H,CH3),1.38(t, J=7.15 Hz,3H,CH3)。
2-(4-甲氧苯基)-4-甲基-1,3-硒唑-5-碳酰肼(SA3)的合成 称取0.972 g(0.003 mol)化合物SA2于三颈瓶中,加入10 mL乙醇搅拌溶解后升温至78 ℃,缓慢滴加7 mL水合肼后回流反应14 h,无色溶液逐渐变红,反应完全后趁热过滤,滤液于冰箱中冷冻过夜,过滤得粗产品,用乙醇重结晶后得白色针状晶体,收率60%, mp 192.1 193.2 ℃。 IR(KBr), σ/cm-1:3440,3288,3010,2924,1673,1599,1500,1465,1240,845;1H NMR(500 MHz,DMSO-d6), δ:7.86(d, J=8.80 Hz,2H,PhH),6.94(d, J=8.80 Hz,2H,PhH),6.93(s,1H,NH),4.82(s,2H,NH2),3.86(s,3H,OCH3),2.74(s,3H,CH3);13C NMR(125 MHz,DMSO-d6), δ:175.32(硒唑),168.43(C=O),163.59(硒唑),160.02(硒唑),130.19(Ph),128.88(Ph),128.05(Ph),115.31(Ph),56.02(OCH3),18.18(CH3);HRMS计算值C12H13N3O2Se(M+1)+ 311.0173,实测值311.0181。
1.2.2 探针分子SAF1和SAF2的合成
取0.01 mol中间体SA3于三颈瓶中,加入15 mL无水乙醇搅拌溶解,温度缓慢升至78 ℃,滴加0.015 mmol芳香醛,滴加完毕后回流反应,用TLC监测,反应时间约为5 h后,滴加3、4滴冰乙酸,继续搅拌反应1 h。 反应停止后,静置冷却至室温,有固体析出,抽滤,固体粗产品用二氧六环重结晶,得纯品。
2-(4-甲氧苯基)-4-甲基- N'-(4-硝基苯亚氨基)-1,3-硒唑-5-碳酰肼(SAF1)的合成 黄色固体,收率78%,mp 279 283 ℃。 IR(KBr), σ/cm-1:3432( ν N—H),3080( ν=C—H),2936( ν C—H),1663( ν C=O),1599( ν=C—H),1500( ν=C—H),1465( ν=C—H),1240( ν C—H),841( δ C—H);1H NMR(DMSO-d6,500 MHz), δ:11.99(s,1H,NH),8.37(t, J=8.35 Hz,2H,PhH),8.24(s,1H,N=CH),8.03(d, J=8.50 Hz,4H,PhH),7.07(d, J=8.75 Hz,2H,PhH),3.85(s,3H,OCH3),2.76(s,3H,CH3);13C NMR(125 MHz,DMSO-d6), δ:178.34(硒唑),172.47(C=O),162.23(硒唑),159.95(硒唑),148.63(C=N),138.95(Ph),129.57(Ph),129.15(Ph),128.28(Ph),122.46(Ph),117.81(Ph),117.59(Ph),115.20(Ph),55.99(OCH3),18.26(CH3);HRMS计算值C19H16N4O4Se(M+1)+ 444.0337,实测值444.0328。
2-(4-甲氧苯基)-4-甲基-N'-(2-羟基苯亚氨基)-1,3-硒唑-5-碳酰肼(SAF2)的合成 黄色固体,收率: 78%,mp 231 233 ℃。 IR(KBr), σ/cm-1: 3430(ν N—H),3080( ν=C—H),2936( ν C—H),1643( ν C=O),1599( ν=C—H),1500( ν=C—H),1465( ν=C—H),1240( ν C—H),823( δ C—H);1H NMR(DMSO-d6,500 MHz), δ:11.64(s,1H,NH),10.06(s,1H,OH),8.48(s,1H, —CH=N—),7.96(q, J=6.80 Hz,3H,PhH),7.27(s,1H,PhH),7.07(d, J=8.75 Hz,2H,PhH),6.95 (q, J=8.75 Hz,2H,PhH),3.84(s,3H,OCH3),2.76(s,3H,CH3);13C NMR(125 MHz,DMSO-d6), δ:174.94(硒唑),166.48(C=O),162.50(硒唑),160.04(硒唑),146.80(C=N),137.58(Ph),130.28(Ph),129.89(Ph),129.38(Ph),128.06(Ph),123.64(Ph),121.2(Ph),116.72(Ph),115.26(Ph),115.18(Ph),56.02(OCH3),18.18(CH3);HRMS计算值C19H17N3O3Se(M+1)+ 415.0435,实测值415.0428。
首先将探针SAF1和SAF2分别溶解在干燥的DMSO中,配制成浓度分别为1×10-4、2×10-4、5×10-4、1×10-5、2×10-5、5×10-5、1×10-6和5×10-6 mol/L等8种浓度的待测溶液A。 选取了9种阴离子F-、Cl-、Br-、I-、AcO-、H2P
由测试结果发现:1)探针SAF1在345 nm处有一个强的吸收峰,分别在主体化合物中加入不同种阴离子后,F- 和AcO- 在345 nm的吸收峰强度降低并发生红移,在500 nm处出现一个新的吸收峰,而对其它被测离子Cl-、Br-、I-和H2P
为了检验AcO-浓度变化所产生的影响,向浓度 c=2×10-5 mol/L的探针SAF1和SAF2溶液中分别加入等体积216倍不同浓度的AcO-并测定紫外-可见光谱如图2所示。
| 图2 随着AcO-浓度不断增大探针SAF1( A)和SAF2( B)的紫外-可见光谱Fig.2 UV-Vis spectra of probes SAF1( A) and SAF2( B) as AcO- concentration increases |
研究结果发现,随着AcO-浓度的增大,吸收峰逐渐增强,尤为重要的是溶液的颜色发生显著变化,探针SAF1对应的溶液颜色由淡黄色变为红色,探针SAF2对应的溶液颜色由浅黄色变为黄色,实现了裸眼识别。 这是因为AcO-的加入引起探针SAF1和SAF2分子内电荷转移且产生氢键,相互作用显著增强,并在500和414 nm出现新峰,对AcO-均具有高选择性识别和明显的颜色变化。 此外,探针SAF1和SAF2分别在412和345 nm处出现了一个明显的等吸收点,通过最小二乘法曲线拟合计算探针SAF1和SAF2的相关系数 R2分别为0.998和0.995(如图3),这一现象进一步表明:探针SAF1和SAF2与AcO-分别形成了一个新的的主客体配合物(氢键配合物)。
根据紫外-可见确定的最佳浓度2×10-5 mol/L,将与不同的阴离子离子的样品(3.2×10-4 mol/L)等体积混合,加入AcO-后,探针分子SAF1由淡黄色变为红色,探针分子SAF2由浅黄色变为黄色(如图4),该结果表明:探针分子SAF1和SAF2在DMSO溶剂中对AcO-均具有较好的选择性和明显的颜色变化,实现了裸眼识别。
在发现探针SAF1和SAF2对AcO-能裸眼识别的基础上,我们利用荧光光谱做了进一步的验证。探针SAF1和SAF2对阴离子的荧光光谱响应如图5所示。
| 图5 主体化合物SAF1和SAF2与不同阴离子的荧光光谱图Fig.5 Fluorescence spectra of the main compounds SAF1 and SAF2 with different anions |
由测试结果发现,探针在417 nm附近产生强的荧光发射峰,尤其是针对AcO-,荧光峰显著增大,具有荧光开启(turn-on)功效,进一步表明AcO-与探针分子间发生了氢键的作用,结果与紫外-可见一致。 SAF1荧光开启结果产生的原因可归属为光诱导的电子转移(PET)机制[18],分子中—CONHN=CH—电子给体(NH作为结合位点)与荧光信号基团(硝基苯)形成大的共轭体系,硝基的强亲电作用,使整个共轭体系的电子流动,伴随着荧光基团的偶极矩发生变化,增强了结合位点与AcO-氢键作用,导致荧光显著增强;SAF2荧光开启结果产生的原因一方面是结合位点与AcO-的氢键作用,同时分子中酚羟基在相对具有强碱性的AcO-的作用下,结合位点和羟基与AcO-共同作用,这从SAF2对具有弱碱性的阴离子如Br-、Cl-及I-等的光谱响应不明显的结果也得到了验证。
为确定探针分子对AcO-的最低检测限,固定SAF1和SAF2的浓度,改变AcO-的浓度,进行荧光测试,结果见图6。 随AcO-浓度增加(浓度范围为探针分子浓度的116倍),荧光峰强度不断增大,AcO-的最低检测限分别可达8×10-5和4×10-5 mol/L,表明SAF1和SAF2可作为AcO-的荧光探针。
| 图6 主体化合物SAF1( A)和SAF2( B)的荧光光谱随不同AcO-浓度的变化Fig.6 Fluorescence spectra of guest compounds SAF1( A) and SAF2( B) with different AcO-concentrations |
| 图7 探针分子SAF1( A)和SAF2( B)加入16倍AcO-不同时间荧光光谱Fig.7 The fluorescence spectra of probe molecules SAF1( A) and SAF2( B) at different times after adding 16 times AcO- |
为体现实验重现性,测试探针分子的光稳定性,测定了加入16倍AcO-后探针分子在不同时间的荧光光谱,如图7所示。 随滴定时间增加,荧光强度几乎不变,结果证明探针分子具有较好的光稳定性。
利用公式 Y=Y0 +( Ylim- Y0)| cH+ cG+1/ Ka-[( cH+ cG+1/ Ka)2-4 cH cG]l/2|/2 cH可计算主客体作用结合常数[19],其中, cG和 cH分别是客体和主体的浓度; Y0为紫外可见或荧光光谱的强度; Y和 Ylim分别为在阴离子存在下主体分子紫外可见或荧光光谱的强度及其极限值; Ka是主体分子和阴离子的结合常数。通过计算结果得出SAF1和SAF2与AcO-的结合常数( Ka)分别为3.03×104和1.42×104 L/mol,远大于它们与其它阴离子的结合。 这一结果说明SAF1和SAF2对AcO-具有较好的选择性识别作用,原因是探针分子对阴离子的选择性不仅与阴离子的碱性有关,而且还与主客体之间构型是否匹配以及主客体之间是否形成多重氢键有很大关系[20]。 由于AcO-碱性较强并且空间构型为平面三角形,两个参与配位的氧原子与SAF1和SAF2的氢键供体在空间构型上更为匹配。 另外,尽管F-和H2P
为了探究探针分子与阴离子之间的识别机理,通过核磁共振氢谱(1H NMR),以DMSO- d6为溶剂,通过在SAF1溶液和SAF2溶液中不断增加AcO-,对二者相互作用的情况进行了追踪,结果如图8所示,
| 图8 DMSO- d6中SAF1( A)和SAF2( B)及其在AcO-存在时的1H NMR谱图Fig.8 1H NMR spectra of SAF1( A) and SAF2( B) in DMSO- d6 with(top) and without(bottom) two times AcO- |
| 图9 在溶液中SAF1( A)和SAF2( B)与阴离子之间的可能作用模式Fig.9 The proposed binding modes of SAF1( A) and SAF2( B) with anions in solution |
同时拟定了AcO-与SAF1溶液和SAF2溶液的结合方式(如图9所示)。测试结果发现,SAF1分子中的NH质子的信号峰为11.99,随着AcO-浓度的增加,信号峰减弱,当加入2倍量的AcO-时NH质子峰消失,说明NH发生了脱质子过程,荧光信号基团(硝基苯)与电子给体C=N(NH作为结合位点)形成大的共轭体系,在结合位点与阴离子相互作用下受体颜色加深;SAF2在11.64和10.06处分别出现的NH峰和OH峰随着AcO-的加入也逐渐消失,这说明NH和OH也同样发生了脱质子过程。二者配合比例均为1:1。
设计合成了2个新型含硒唑的酰腙类主体分子,发现其在二甲基亚砜(DMSO)溶液中对醋酸根阴离子(AcO-)具有良好的选择性和明显的显色性,可裸眼识别,也可实现荧光识别,两个分子对AcO-的识别具有荧光开启的功效。 设计分子有望成为对AcO-具有选择性的探针,适用于生物化学和环境化学中AcO-的检测,这为临床因血液中AcO-含量过高导致的恶心、疲倦和肌肉痛性痉挛等不良反应的监测和控制提供了重要的方法。
| [1] |
|
| [2] |
|
| [3] |
|
| [4] |
|
| [5] |
|
| [6] |
|
| [7] |
|
| [8] |
|
| [9] |
|
| [10] |
|
| [11] |
|
| [12] |
|
| [13] |
|
| [14] |
|
| [15] |
|
| [16] |
|
| [17] |
|
| [18] |
|
| [19] |
|
| [20] |
|

