共同通讯联系人:李云辉,教授; Tel:0431-85582361; E-mail:liyh@cust.edu.cn; 研究方向:无机环境友好材料
聚甲基丙烯酸甲酯(PMMA)是一种重要的透明高分子材料,但是PMMA的易燃性限制了其应用。 本工作在纳米二氧化硅表面接枝含磷阻燃剂9,10-二氢-9-氧杂-10-磷杂菲-10-氧化物(DOPO),并用于聚甲基丙烯酸甲酯(PMMA)的改性。 极限氧指数(LOI)、垂直燃烧(UL-94)和锥形量热(CCT)测试结果表明,制备的PMMA复合材料的阻燃性能大幅度提高,这主要归因于纳米粒子和含磷阻燃剂的协同阻燃作用,形成致密的炭保护层结构。 同时,二氧化硅接枝DOPO的加入可以保持PMMA良好的透明性,这有利于材料在光学透明性要求较高的领域的应用。
Co-corresponding author:LI Yunhui, professor; Tel:0431-85582361; E-mail:liyh@cust.edu.cn; Research interests:environment-friendly inorganic materials
Polymethyl methacrylate(PMMA) is one of important polymer materials with good transparency, but the poor flame retardancy of PMMA greatly limits its application. In this work, 9,10-dihydro-9-oxa-10-phosphaphenanthrene-10-oxide(DOPO) was grafted onto the surface of silica nanoparticles that were employed to prepare PMMA nanocomposites. The results from limiting oxygen index(LOI), vertical burning(UL-94) and cone calorimeter test(CCT) indicate that the modified silica can effectively improve the flame retardancy of PMMA, which is mainly attributed to the synergistic effect between nanoparticles and phosphorous flame retardant to form compact protective carbon layer. Meanwhile, similar to pure PMMA, the as-prepared PMMA nanocomposites keep good transparency, which is positive to the wide applications of PMMA with high demand of optical transparency.
高分子材料被广泛应用于建筑、汽车、生物、航天和日常生活等诸多领域[1],然而大多数高分子材料具有易燃性,燃烧时放出大量的热量和有毒气体,严重危害到人们的生命和财产安全,因此高分子材料的阻燃改性研究至关重要[2]。 聚甲基丙烯酸甲酯(PMMA) 是由甲基丙烯酸甲酯聚合而成的高分子化合物,是一种开发较早的重要热塑性塑料,又称为有机玻璃、亚克力,具有较好的透明性、化学稳定性,力学性能和耐候性,易染色,易加工,外观优美等优点,广泛应用在灯饰、通讯、交通等领域。 但是PMMA阻燃性能差,极限氧指数(LOI)很低,易燃烧,并且有着很高的最大热释放速率,这极大地限制了其应用[3]。 通过添加常规阻燃剂,如金属氢氧化物,膨胀阻燃剂等,可以提高PMMA阻燃性,但是添加量较大,阻燃效率低[4,5],而且大多数阻燃剂会大幅度降低PMMA的透明性,因此研发兼具阻燃性与透明性的高性能PMMA复合材料,是当前阻燃领域面临的一个具有挑战性的课题[6,7]。
伴随着纳米科学与技术的发展,纳米粒子作为一类重要的纳米阻燃剂,是阻燃技术的一次革命性进展,添加极少量的纳米阻燃剂便能大幅度降低材料的热释放速率,延缓燃烧的进行,同时还可以提升材料的热稳定性、力学等综合性能[8,9,10]。 但是,单单在高分子材料中添加纳米阻燃剂,对材料极限氧指数和垂直燃烧等级的提升效果不明显,不能满足实际应用中的阻燃要求。 有机磷系阻燃剂同样作为一类重要的环保型阻燃剂,具有无毒、无卤、低烟等优点,符合现阶段阻燃剂发展的方向,具有很好的应用与发展前景。 9,10-二氢-9-氧杂-10-磷杂菲-10-氧化物(DOPO)及其衍生物作为新型的含磷阻燃剂,与其它有机含磷阻燃剂相比,表现出优异的热稳定性和阻燃性能,其阻燃性能持久不迁移,可作为反应型或添加型阻燃剂[11,12]。
纳米二氧化硅是一种重要的纳米阻燃剂,具有资源丰富、价格低廉等优点,其折光指数与PMMA非常接近[13]。 DOPO在聚酯中具有良好的阻燃效果,而且分子中含有活性基团,可以化学接枝到纳米粒子表面。 因此,本工作拟在二氧化硅表面接枝DOPO(SiO2- g-DOPO)制备新型含磷纳米阻燃剂,并通过熔融共混法制备PMMA纳米复合材料,在此基础上,探讨有机磷与纳米粒子的协同阻燃作用,并进一步研究阻燃剂的加入对材料透明性的影响。
VERTEX70型红外光谱仪(IR,德国BRUKER公司);SDTQ600型热重分析仪(TGA,美国TA Instruments),测试条件25~800 ℃,N2气氛围,10 ℃/min;ZKF040型真空干燥箱(上海市实验仪器厂);XSS-300型转矩流变仪(上海科创橡塑机械设备有限公司);HB-300×300型平板硫化仪(青岛华博机械科技有限公司);HC-2C型极限氧指数测定仪(南京江宁分析仪器有限公司),按照ISO4589-1999标准,样品的尺寸130 mm×6.5 mm×3 mm;FTT型锥形量热仪(英国FTT公司),按照ISO5660-1标准,辐射量为50 kW/m2,样品的尺寸100 mm×100 mm×6 mm;UV3600型紫外可见光谱仪(UV-Vis,日本岛津公司);XL30ESEM型场发射扫描电子显微镜(FSEM,荷兰FEL公司)。
9,10-二氢-9-氧杂-10-磷杂菲-10-氧化物(≥97%,梯希爱(上海)化成工业发展有限公司);乙烯基三甲氧基硅烷(化学纯,北京伊诺凯科技有限公司);二氧化硅(粒径(30±5) nm,上海麦克林试剂有限公司);无水乙醇(分析纯,北京化工厂);聚甲基丙烯酸甲酯(CM-211,中国台湾奇美公司)。
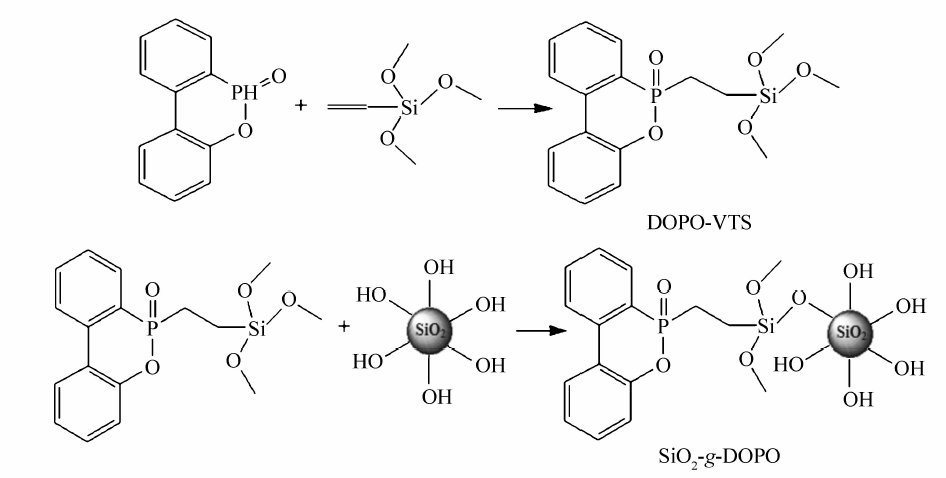
SiO2- g-DOPO的合成 合成分两步进行(如Scheme 1所示),首先参考文献[14], 取88.8 g(0.6 mol)DOPO和129.6 g(0.6 mol)乙烯基三甲氧基硅烷(VTS)于500 mL三口烧瓶中,加入200 mL甲苯,将三口烧瓶移入油浴锅,在N2气保护,机械搅拌下,升温至80 ℃。 待DOPO完全溶解,将0.6 g偶氮二异丁腈(AIBN)溶于50 mL甲苯中,2 h内滴于反应体系。 12 h后停止反应,旋蒸除去甲苯,得到产物DOPO-VTS。 然后,将纳米SiO2在105 ℃真空烘箱干燥8 h待用。 称取干燥后的SiO2和已合成的DOPO-VTS各60 g,放入到2000 mL三口烧瓶中,随后向三口烧瓶中加入1000 mL无水乙醇。 将三口烧瓶移入油浴锅中,在N2气保护,在乙醇回流温度下反应12 h。 反应完成后,抽滤得到固体产物,用无水乙醇多次洗涤除去未反应的DOPO-VTS,洗涤后放入80 ℃真空烘箱干燥8 h,得到产物SiO2- g-DOPO。
PMMA/SiO2- g-DOPO复合材料的制备 将PMMA颗粒在85 ℃真空干燥箱中干燥8 h待用。 采用熔融共混法,将干燥好的PMMA和已制得的SiO2- g-DOPO按一定比例加入到密炼机中,总质量为50 g。 将所制备的样品记为PMMA xSiO2- g-DOPO,其中 x代表SiO2- g-DOPO在复合体系中的质量分数,从质量分数2%逐步增加到10%。 同时作为对比,我们密炼了SiO2和DOPO直接物理混合的PMMA样品,质量分数为10%,其中 m(SiO2): m(DOPO)=68.21:31.79,记为PMMA10SiO2-DOPO。 密炼机温度设置为180 ℃,转速设置为两段:第1段在60 r/min的转速下混合180 s;第2段在100 r/min的转速下混合420 s。 最后,将密炼所得的PMMA复合材料样品放入模具中,在180 ℃的平板压片机下热压10 min后冷压3 min,然后剪裁成测试所需的样条。
为了验证DOPO与VTS之间的化学反应,将反应物DOPO与生成物DOPO-VTS分别进行了核磁磷谱表征,如图1所示,14.7对应DOPO中磷原子的化学位移信号; 而在DOPO-VTS中这一位置无化学位移信号,同时在39.2处出现的新化学位移信号与DOPO-VTS中的磷原子相对应[14],这说明DOPO反应完全,DOPO-VTS合成成功。
为了验证成功制备了SiO2- g-DOPO,对反应得到的固体产物进行了多次洗涤提纯,以除去SiO2表面可能物理吸附的DOPO分子。 然后对其进行了红外透过光谱测试。 如图2A所示,通过与纯SiO2对比,接枝阻燃剂后的纳米SiO2在2980和2891 cm-1(—CH2—CH2—),1594(P—Ph)和1210 cm-1( P=O),1095和912 cm-1(P—O—Ph)出现了新的吸收峰,这些对应于DOPO的特征吸收峰[15],因此,DOPO接枝到了纳米SiO2表面,SiO2与DOPO之间存在稳定的化学键连接。
| 图2 SiO2和SiO2- g-DOPO的红外透过光谱(A)和在N2氛围下的热失重曲线(B)Fig.2 FTIR spectra(A) and TGA curves under N2 atmosphere(B) of SiO2(a) and SiO2- g-DOPO(b) |
图2B为SiO2和SiO2- g-DOPO在N2条件下的热失重(TGA)曲线,当达到800 ℃时,纯SiO2失重为1.36%,而SiO2- g-DOPO的失重为33.15%。 通过25到800 ℃的热失重质量分数[16],可以计算出DOPO在SiO2表面的接枝率为31.79%。
为了表征材料的阻燃性能,首先进行了LOI测试。 如表1所示,纯PMMA的LOI较低,仅为17.0%。 当加入质量分数2%的SiO2- g-DOPO后,复合材料的LOI提升至19.4%。 随着阻燃剂含量的逐步增加,材料的LOI明显提高。 当加入10%的SiO2- g-DOPO后,复合体系具有最高的LOI数值(25.6%),这表明接枝含磷阻燃剂的纳米粒子大幅度提升了PMMA材料的阻燃性能。 随后对PMMA复合材料进行了垂直燃烧测试(UL-94)。 在PMMA复合材料中,SiO2- g-DOPO含量增加至8%时,复合材料的垂直燃烧等级由无等级变为V2等级。 继续增加含量至10%,垂直燃烧级别仍为V2。 这可能归因于PMMA燃烧热释放量太大,需要更多的阻燃剂添加量才能进一步提高阻燃级别。 考虑到材料的透明性等综合性能要求,本工作中没有进一步增加阻燃剂含量。作为对比的PMMA10SiO2-DOPO(SiO2与DOPO直接物理共混),LOI为22.7%,UL-94没有级别,这表明其阻燃效果远远不及化学接枝的PMMA10SiO2- g-DOPO。
| 表1 PMMA/SiO2- g-DOPO复合材料的阻燃性能和透明性参数 Table 1 Flame retardancy and transparency results of PMMA/SiO2- g-DOPO composites |
锥形量热测试可以模拟燃烧的真实情况,提供点燃时间(TTI)、热释放速率(HRR)、热释放速率峰值(PHRR)和热释放总量(THR)等重要燃烧参数。图3为SiO2- g-DOPO复合材料的热释放速率曲线,
具体燃烧数据见表1。 结果表明,SiO2- g-DOPO的加入推迟了材料的点燃时间,在实际火灾中,有利于获取较长的逃生时间。 纯PMMA的最大释放速率(PHRR)高达1056.2 kW/m2,而在PMMA/SiO2- g-DOPO复合体系中,随着SiO2- g-DOPO含量的增加,PHRR逐渐减小。 PMMA10SiO2- g-DOPO的PHRR为505.1 kW/m2,与纯PMMA相比下降幅度为52.2%。 同时由图可以看出,PMMA10SiO2- g-DOPO热释放速率曲线变得非常平缓,这表明SiO2- g-DOPO的加入,大幅度减小了火势传播与蔓延,这对人员疏散和消防灭火具有积极作用。 然而,直接物理共混的样品PMMA10SiO2-DOPO,不仅点燃时间有所降低(TTI=41 s),而且PHRR数值较大(679.0 kW/m2),阻燃性能明显低于化学接枝的PMMA10SiO2- g-DOPO。
图4为PMMA样品锥形量热测试后的残炭的数码照片,纯PMMA完全燃烧,无残炭生成,当加入SiO2- g-DOPO后,样品表面有黑色固体残留物,这些黑色固体主要是来自DOPO燃烧后产生的无定型炭,SiO2作为这些炭颗粒的载体,有利于提高炭强度,形成连续结构的炭层。 随着SiO2- g-DOPO含量的增加,残余固体物质含量随之增加,颜色变深,逐渐铺满整个表面,形成连续致密的炭层,其阻隔作用可以有效抑制热量传递,保护内部材料,延缓甚至阻止其燃烧。 而直接混合的PMMA10SiO2-DOPO,炭颗粒尺寸较大,炭层连续性较差,这对应于其PHRR较大,LOI和UL-94中阻燃效果较差。
高透明性是PMMA材料的一个应用亮点,通过紫外可见光谱仪表征了PMMA/SiO2- g-DOPO复合材料的透过率。 如表1所示,纯PMMA的透光率为92.2%,当加入2%的SiO2- g-DOPO后,透光率为90.6%,透光率仅下降1.6%。 当加入10%SiO2- g-DOPO,复合材料的透光率为78.7%,虽然有一定下降,但仍保持着较好的透光性。 同时我们发现,直接物理混合的样品PMMA/10SiO2-DOPO与化学接枝的样品PMMA/10SiO2- g-DOPO相比,其透明性较差。 这可能与纳米粒子在聚合物中的分散性有关。 如图5A、5B所示,扫描电子显微镜下观察,图5A中看不到明显的球形纳米粒子(对应PMMA/10SiO2- g-DOPO),而图5B中可以看到一些亮点颗粒(对应PMMA/10SiO2-DOPO)。 进一步通过硅元素的分布图来分析纳米粒子的分散性,如图5C、5D所示,PMMA/10SiO2- g-DOPO中Si均匀分散在整个视野中,而PMMA/10SiO2-DOPO中Si团聚严重,甚至出现了微米尺寸的大颗粒。 这表明通过化学接枝提高了SiO2的分散性,因此透明性较好。
PMMA是目前透明性最好的聚合物材料之一,多数添加型阻燃剂会大幅度降低其透明性。 PMMA的折射率为1.49,本文中选择的纳米SiO2,其折射率为1.46,与PMMA非常相近。 同时通过对SiO2进行接枝改性,如上所述,可以提高其在聚合物基体中的分散性,进而增强纳米粒子与聚合物之间的界面作用。 为了更直观的对比材料的透明性,拍摄了同一厚度的PMMA样品的数码照片。 如图6所示,添加SiO2- g-DOPO的样品(图6B~6E),复合材料下面的图形文字清晰可见,与图6A中纯PMMA差别不大, 而直接物理混合的样品PMMA10SiO2-DOPO(图6F),虽然也能看清材料下面的图案,但清晰度较差。 这进一步证明接枝改性后的PMMA样品具有较好的透明性。 因此,这里制备的PMMA复合材料可以应用于同时要求透明性和阻燃性的领域。
通过在SiO2表面接枝含磷阻燃剂9,10-二氢-9-氧杂-10-磷杂菲-10-氧化物(DOPO),获得高效阻燃的改性纳米粒子,提升了聚甲基丙烯酸甲酯(PMMA)的极限氧指数,极大降低了热释放速率。 有机改性的纳米粒子和PMMA有着良好的相容性,使复合材料依然保持透明性。 纳米粒子和有机磷阻燃剂协同阻燃,使复合材料燃烧后形成连续的炭层,有效抑制了热量的传递。 同时材料具有较好的透明性。 因此,制备的PMMA纳米复合材料无毒无卤,环境友好,兼具良好的透明性,易于加工生产,具有良好的发展前景与应用价值。
| [1] |
|
| [2] |
|
| [3] |
|
| [4] |
|
| [5] |
|
| [6] |
|
| [7] |
|
| [8] |
|
| [9] |
|
| [10] |
|
| [11] |
|
| [12] |
|
| [13] |
|
| [14] |
|
| [15] |
|
| [16] |
|

