将含有不同取代基团的邻炔基苯甲醛腙化合物在乙酸银催化下,以二氯甲烷作溶剂,室温下自身发生环化反应合成 N, N-异喹啉偶极子化合物。 通过质谱(MS)、核磁共振波谱仪(NMR)等技术手段表征化合物的结构。 考察了不同催化剂及其用量、原料配比、溶剂、温度对反应的影响。 在最优条件下,反应收率为60%,在底物适应性上最高可达到85%。 该方法具有操作简单,反应条件简单温和,产物收率高以及底物适用性好等优点。 本文通过对实验条件、底物适用性等方面的探索,解决了以往合成异喹啉偶极子方法学中存在的多步进行、反应温度过高、底物适应性较低等不足与缺点,为制备含此类骨架的化合物提供了新的实验方法。
N, N-Isoquinoline dipole derivatives were synthesized via intramolecular cyclization of o-alkynylbenzaldehyde hydrazones in the presence of silver acetate(AgOAc) in dichloromethane(DCM) at room temperature. The chemical structures of these obtained products were characterized by mass spectrometry and nuclear magnetic resonance spectroscopy(NMR). In addition, the effect of catalysts and their loadings, raw material ratios, solvents and temperatures on the yields was investigated. The target compound (3-(((methoxycarbonyl)oxy)methyl)isoquinolin-2-iu- m-2-yl)(tosyl)-amide is obtained in 60% yield and the substrate adaptability can be up to 85% under optimum conditions. This method has advantages of easy operation, mild reaction condition and functional group tolerance. Through the exploration of experimental conditions and substrate applicability, this paper solves the disadvantages and shortcomings of the method of synthesizing isoquinoline dipole compounds in the past, which provides a new experimental method for the preparation of compounds containing such skeletons.
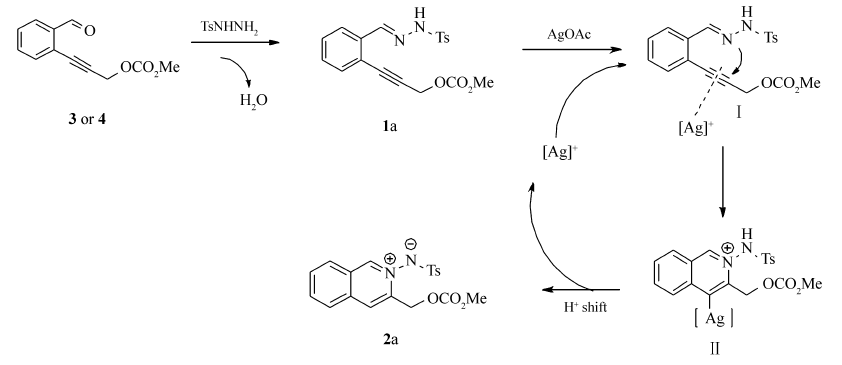
异喹啉类骨架是一种很重要的含氮杂环结构,广泛存在于许多生物活性天然产物[1]和药物的结构中[2,3]。 其中,异喹啉氮杂环偶极化合物作为异喹啉类骨架的一种极重要的延伸,更是受到众多科研工作者的青睐,由它进一步构建的多取代 H-吡唑并[5,1-a]异喹啉衍生物在医学上更是表现出显著的生物活性,对细胞分裂周期蛋白25B(CDC25B),T细胞蛋白酪氨酸磷酸酶(TC-PTP)及蛋白酪氨酸磷酸酶1B(PTP1B)表现出良好的抑制能力[4]。 自2009年起,多种构建多取代异喹啉氮杂环偶极化合物的方法被报道[5,6],通过过渡金属催化环化和交叉偶联的方法来构建官能团化的异喹啉氮杂环偶极衍生物也陆续被报道[7,8]。 我们小组一直研究氮源进攻金属催化剂活化的炔键成环的工作,并取得了一定的成果。 受大量有关偶极化合物和金属催化在有机化学中应用的启发[9,10], 我们提出了以邻炔基苯甲醛为初始原料,通过邻炔基苯甲醛腙合成氮杂环偶极化合物的设想(Scheme 1)。
| Scheme 1 Synthesis route of N, N-isoquinoline derivativesR1,R2:H,CH3,CH2CH3; R3:OH,OAc,CH2OAc,OCO2Me,OCO2Et,CH2OCO2Me,CH2OCO2Et; R4:Ts,CO2OC(CH3)3 |
Bruker AM-400型核磁共振波谱仪(瑞士Bruker公司);QZAB-HS型色-质谱联用仪[70 eV(EI)](英国VG公司);TRACE DSQ型气质联用仪(美国Thermo Electron公司);RE-5299型旋转蒸发仪(巩义市予华仪器公司)。 反应物邻炔基苯甲醛腙1a按文献[11-12]方法合成;乙酸银(AgOAc,≥99.5%,上海晶纯生化科技股份有限公司);二氯甲烷(DCM,≥99.5%,利安隆博华(天津)医药化学有限公司);薄层硅胶(GF254,青岛海洋化工有限公司);柱层析硅胶(48~75 μm,青岛海洋化工有限公司);乙酸乙酯(工业级),石油醚(工业级,沸程60~90 ℃)。
取0.3 mmol邻炔基苯甲醛腙化合物和0.03 mmol乙酸银溶于5 mL二氯甲烷溶液中,室温下搅拌,薄层色谱(TLC)监控直至原料反应完全,停止反应后,减压蒸馏除去溶剂,柱层析分离得关环产物2a~2p。

126.72,126.46,121.76,63.74,55.37,21.32;HRMS(ESI)计算值C23H18N(M+H)+:387.0936,实测值:387.0938。

128.39,127.32,126.95,126.74,121.92,65.07,63.83,21.59,14.42;HRMS(ESI)计算值C23H18N(M+H)+:401.1093,实测值:401.1098。

126.87,121.40,72.31,29.36,21.46;HRMS(ESI)计算值C23H18N(M+H)+:357.1195,实测值:357.1160。

126.95,126.85,126.82,122.57,75.46,33.51,26.55,21.40,8.84;HRMS(ESI)计算值C23H18N(M+H)+:371.1351,实测值:371.1354。

127.05,126.44,126.29,124.94,64.63,54.83,31.28,21.34;HRMS(ESI)计算值C23H18N(M+H)+:401.1093,实测值:401.1097。

128.13,127.03,126.47,126.28,124.91,64.36,64.10,31.29,21.33,14.13;HRMS(ESI)计算值C23H18N(M+H)+:415.1249,实测值:415.1252。

128.13,126.95,126.47,126.20,124.47,61.10,31.04,21.35,20.78;HRMS(ESI)计算值C23H18N(M+H)+:385.1144,实测值:385.1147。

126.78,126.74,121.40,70.84,55.08,21.36,20.39;HRMS(ESI)计算值C23H18N(M+H)+:401.1093,实测值:401.1096。

126.54,121.64,64.01,21.29,19.97;HRMS(ESI)计算值C23H18N(M+H)+:343.1038,实测值:343.1042。

126.79,126.77,121.41,70.60,64.43,21.35,20.41,14.17;HRMS(ESI)计算值C23H18N(M+H)+:415.1249,实测值:415.1253。

126.74,126.66,121.42,67.18,21.29,20.92,20.24;HRMS(ESI)计算值C23H18N(M+H)+:385.1144,实测值:385.1148。

129.19,128.55,128.38,127.69,127.44,127.08,127.02,126.72,124.56,122.79,58.42,31.42,21.39;HRMS(ESI)计算值C23H18N(M+H)+:419.1351,实测值:419.1354。

126.91,126.86,126.58,121.58,73.15,36.17,25.47,21.45,21.31;HRMS(ESI)计算值C23H18N(M+H)+:397.1508,实测值:397.1512。
首先,以化合物1a为模型底物对反应条件进行了优化,分别考察了催化剂及其用量、溶剂、温度等因素对反应产率的影响,如表1所示。 各种金属催化剂中,银催化剂表现出较好的催化活性,其中乙酸银(AgOAc)的效果最好(Entries 1~8)。 对催化剂的用量进行筛选发现,加入摩尔分数为20%的AgOAc时收率略有提高,反应收率为63%(Entries 5,12)。 之后我们又分别考察了溶剂、温度和时间对反应的影响,当采用DCM(二氯甲烷)、Toluene(甲苯)、THF(四氢呋喃)和1,4-dioxane(1,4-二氧六环)作为溶剂时,DCM效果最好(Entries 5,9~11);对温度的考察发现,温度并不是越高效果越好,室温最宜(Entries 5,13~14)。 综上所述,反应合成 N, N-异喹啉化合物的最优条件为:1a(0.3 mmol),AgOAc(5.01 mg,10%(摩尔分数)),DCM(5.0 mL),air,反应温度为室温,反应时间8 h。
表1 反应条件的优化 Table 1 Optimization of the reaction conditions a![]() |
利用最优的反应条件,我们对该反应的底物适用范围进行了探讨,如表2所示。 大多数底物均能以较高的产率得到关环产物。 例如,以2-甲基-3-丁炔-2-醇为原料与邻碘苯甲醛反应制得的底物1d在该条件下反应,可以以85%的产率分离得到目标产物(表2,Entries 4)。 令我们困惑的是,底物1c、1h和1l的羟基保护基都乙酰基,其中底物1h和1l反应均可以顺利得到关环产物2h和2l,然而,底物1c反应后经NMR和MS分析,发现并没有得到相应的异喹啉类化合物,这个现象我们还未能给出合理的解释。 另外,如Entries 13~14所示,这两个反应也没有顺利发生,很可能是空间位阻的影响。
表2 反应底物的拓展 Table 2 Scope of the reaction substrate a![]() |
本文通过邻炔基苯甲醛腙在乙酸银(AgOAc)催化下分子内关环生成氮氮叶立德偶极子的反应,开发了一种合成异喹啉氮杂环偶极化合物的方法。 该方法以邻炔基苯甲醛腙为反应底物,乙酸银为催化剂,二氯甲烷为溶剂,在室温下反应8 h,产物收率可达85%。 该方法过程简单,后处理方便,且底物适用性较好,是一种新的合成异喹啉偶极子衍生物的实验方法,为进一步构建小分子化合物开辟了新思路。
| [1] |
|
| [2] |
|
| [3] |
|
| [4] |
|
| [5] |
|
| [6] |
|
| [7] |
|
| [8] |
|
| [9] |
|
| [10] |
|
| [11] |
|
| [12] |
|
| [13] |
|
| [14] |
|



