为降低催化剂流失率,以聚乙二醇为主链、双键取代咪唑型离子液体为交联剂,采用自由基聚合方式设计合成出酸性聚合型离子液体。 该离子液体可与甲苯形成优良的温控两相体系,并用于苯胺和苯甲醛的缩合反应。 结果表明,聚合离子液体具有催化活性高、流失量小、回收方便的优点。 产物 N-亚苄基苯胺收率93.4%,离子液体平均单次流失率约2.5%。 底物拓展试验表明,该温控体系对含不同取代基的芳胺和芳醛缩合反应具有良好的普适性,产物收率57.2%~82.9%。
Acidic polymeric ionic liquid was synthesized with polyethylene glycol as the main chain and imidazole-based ionic liquid as crosslinking agent through the free radical polymerization to reduce the loss rate of catalyst. The thermoregulated biphasic system comprised of ionic liquid and toluene was used for the condensation reaction of aniline and benzaldehyde. The catalytic results show that the catalyst has advantages of high catalytic activity, small loss and easy recycling. The yield of N-benzalaniline is 93.4%, and the average loss rate of ionic liquid is about 2.5%. Further tests show that the system has good universality for the various substrates, and the yield of the products is 57.2%~82.9%.
温控两相[1,2,3]是利用温度变化,使体系在高温下互溶为一相,在低温时则呈两相的混合体系。 “高温均相反应、低温两相分离”[4]的特点使其具有催化活性高、组分易分离的优势。 目前,对温控两相体系的研究[5,6,7]主要致力于温控自分离效果、催化活性、催化剂流失问题等方面[8,9,10]。 胡玉林等[11]将PEG-1000中性双子型离子液体(PEG-1000DIL)/甲苯温控体系用于催化芳烃的氯甲基化反应,产物收率75%~88%,催化剂循环使用6次,催化活性无明显变化;职慧珍等[12,13,14]将聚乙二醇型离子液体/甲苯温控两相体系用于催化缩醛、酯化反应,催化效果明显,但催化剂流失量高达6%~9%;邢昙昙等[15]将[PEG-800DPIL]Cl/环己烷-异丙醇温控体系用于催化Knoevenagel缩合反应,产物收率84%~99%,但催化体系易失活,循环使用4次后产率降低9%。
由此可见,温控体系虽具有较强的催化活性和较好的温控自分离特点,但体系中的离子液体仍存在流失大、易失活的缺陷。 本文结合温控两相离子液体的自分离特性[16,17]及聚合物大分子[18]在反应体系中不易流失的优点,以聚乙二醇为主链,双键取代咪唑型离子液体为交联剂,采用自由基聚合方法,设计合成出一种具有温控两相功能、催化活性高、流失量小的酸性聚合型离子液体(PIL),并验证了其在胺醛缩合反应中的催化效果。
Nicolet IS-10型傅里叶红外光谱(美国Thermo公司);DPX 500MHz型核磁共振波谱仪(瑞士Bruker公司);DAWN HELEOS型18角度激光光散射仪(MALLS)与Waters 515型凝胶色谱(GPC)联用系统(美国Wyatt公司和美国Waters公司);Angient 1200型高效液相色谱仪(日本岛津公司)。
PEG-1000、偶氮二异丁腈(AIBN)、苯甲醛、苯胺(成都市科龙试剂有限公司);甲苯(南京化学试剂有限公司);1,3-丙磺酸内酯、吡啶(上海申博化工有限公司);1-乙烯基咪唑(萨恩化学技术(上海)有限公司);氯化亚砜、盐酸、硫酸(上海凌峰化学试剂有限公司),均为分析纯试剂。 蒸馏水自制。
反应方程式Scheme 1所示。
1.2.1 氯代聚乙二醇(PEG1000-Cl2)的制备 取50 mmol PEG-1000,100 mL甲苯置于250 mL三口烧瓶中,共沸除水2 h。 加入100 mmol吡啶,N2气保护,升温到86~88 ℃,滴加100 mmol二氯亚砜,反应体系由黄色逐渐变成红色。 88 ℃反应24 h,冷却至室温;再缓慢滴加2 mL浓盐酸和4 mL水的混合液,有固体沉淀物出现,搅拌后沉淀物消失。 静置,分层,上层为黄色甲苯层,下层为红色吡啶盐层。 分出下层,用甲苯萃取2次,与上层合并。 减压蒸馏除去甲苯,产物收率92%[19,20]。
1.2.2 [PEG-1000VIL][HSO4]的合成 取20 mmol 1-乙烯基咪唑、10 mmol PEG1000-Cl2和25 mL的无水乙醇加入100 mL的三口瓶中,N2气保护,混合物在80 ℃搅拌,回流,反应96 h。 反应后减压蒸馏除去乙醇,剩余固体溶解在少量二氯甲烷中并在大量的冷乙醚中析出。 65 ℃真空条件下干燥得到[PEG-1000VIL][Cl2],收率90%。
将[PEG-1000VIL][Cl2]溶于25 mL水中,缓慢滴加2倍化学计量硫酸进行酸化,室温搅拌5 h,旋蒸得到粘稠[PEG-1000VIL][HSO4],真空干燥12 h。
[PEG-1000VIL][HSO4]:1H NMR(500 MHz,CDCl3), δ:10.20(s,2H),7.85(s,2H),7.65(s,2H),7.26(s,2H),5.78(d, J=7.8 Hz,4H),5.08(d, J=7.4 Hz,4H),4.36(d, J=7.8 Hz,4H),3.25~3.64(m,86.9H)。
1.2.3 1-乙烯基-3-(3-磺丙基)咪唑鎓硫酸氢([VSim][HSO4])的合成 0 ℃下,在50 mL的圆底烧瓶中,将3.50 g 1,3-丙磺酸内酯缓慢地加入到2.50 g 1-乙烯基咪唑中,将混合物搅拌24 h(HPLC进行分析)。 生成的固体用乙醚冲洗3次并真空干燥[21,22]。
在50 mL的圆底烧瓶中将固体溶解在2 mL水中,在0 ℃缓慢滴加等摩尔量的硫酸。 滴加结束,升温至60 ℃,持续搅拌12 h。 最后将酒红色溶液用乙醚冲洗3次,并在50 ℃下真空干燥5 h得到产物。
[VSim][HSO4]:酒红色粘稠液体,产率98%;1H NMR(500 MHz,DMSO), δ:2.13(t, J=7.6 Hz,2H),2.49(t, J=7.4 Hz,2H),4.33(t, J=7.8 Hz,2H),5.40(d, J=7.8 Hz,1H),7.29(dd, J=7.4 Hz,1.2 Hz,1H),7.94(s,1H),8.20(s,1H),9.49(s,1H);13C NMR(500 MHz,DMSO), δ:135.2,129.4,123.6,119.3,108.7,48.4,47.1,25.8。
1.2.4 PIL的合成 室温下,取10 mmol [PEG-1000VIL][HSO4]交联剂与20 mmol [VSim][HSO4]单体置于100 mL三口烧瓶中,加入20 mL水搅拌溶解。 采用N2气保护,逐渐升温至60 ℃,加入12 mg引发剂AIBN进行聚合反应6 h。 旋蒸除水后真空干燥12 h得到产物PIL。
1.2.5 催化性能研究 在25 mL三口烧瓶中,加入10 mmol苯甲醛,12 mmol苯胺,4 mL甲苯以及一定量的PIL,接上回流冷凝管及分水器,将混合物搅拌加热升温至100 ℃,反应2 h。 反应结束后,降温至室温,分液,将下层液体用少量甲苯进行萃取2~3次,与上层液体合并。 旋蒸分离出甲苯,即得目标产物 N-亚苄基苯胺。
N-亚苄基苯胺:1H NMR(500 MHz,CDCl3), δ:7.19(d, J=8.2 Hz,3H),7.38(s,2H),7.44(d, J=7.8 Hz,3H),7.88(s,2H),8.42((s,1H);13C NMR(500 MHz,CDCl3), δ:160.1,152.1,136.2,129.1,128.8,125.9,120.8。
2.1.1 温控两相特性 考察不同温度下PIL与常用溶剂的互溶性,发现PIL与甲苯存在明显的温控两相特性:室温条件,PIL与甲苯不溶,界面明显,即使剧烈震荡,静置后亦迅速分层;升高温度至60 ℃,溶液震荡后形成稳定均一体系;降温,溶液又立刻分为两层。 溶解性能测试实物图如图1所示。
由PIL的溶解性能测试结果可知,PIL/甲苯体系具有很好的温控两相效果,PIL在甲苯中的临界溶解温度(CST)为60 ℃,满足常见反应所需温度要求。
2.1.2 FT-IR测试 利用FT-IR测试了PIL及其中间产物的特征官能团,FT-IR谱图如图2所示。
| 图2 PEG-1000( a)、PEG-1000Cl2( b)、PEG-1000VIL( c)和PIL( d)的FT-IR谱图Fig.2 FT-IR spectra of PEG-1000( a), PEG-1000Cl2( b), PEG-1000VIL( c) and PIL( d) |
由图2谱线 c可看出,PEG-1000VIL在1651、839cm-1出现C=C的红外峰特征,而谱线 d中在1651和839 cm-1中没有出现C=C的红外峰特征;谱线 a、 b、 c和 d中在2872和2750 cm-1出现属于脂肪族C—H振动峰及1298、1251、1102和951 cm-1醚键的振动峰;谱线 c和 d中在3132和3058cm-1出现咪唑环上的C—H伸缩振动峰,在1552、1455和655 cm-1出现咪唑环C=N[23]伸缩振动峰。 表明中间产物交联剂[PEG-1000VIL][HSO4]与单体[VSim][HSO4]在不破坏聚乙二醇链的线性高分子性能的基础上发生了自由基聚合交联生成PIL。
2.1.3 凝胶色谱(GPC)测试 PEG凝固点随相对分子质量的增大而升高,相对分子质量过大的PEG链或聚合过程中聚合度过大都会造成PIL凝固点过高,故PEG相对分子质量的选择和反应聚合度的控制是制备具有温控性质离子液体的关键。
采用多角度激光光散射仪与GPC联用系统测试PIL的相对分子质量。 PIL水溶液浓度为0.5%(g/L),流动相为0.5 mol/L的NaNO3水溶液,流速0.8 mL/min。 实验测得PIL的数均相对分子质量为1.220×104,质均相对分子质量为1.903×104,Z均相对分子质量为4.060×104,说明PIL通过可控的自由基聚合反应,相对分子质量得到适度的提高。 在保持良好的温控两相特性及酸催化特性的基础上,利用聚合物大分子在反应体系中不易流失的优点,大幅度降低其流失率。
以苯胺与苯甲醛的胺醛缩合为探针反应考察PIL的催化特性。 采用单因素法考察了催化剂用量、配料比、反应时间、反应温度等因素对反应的影响。反应方程式如Scheme 2所示。
2.2.1 PIL用量的影响 固定苯甲醛10 mmol,苯胺12 mmol,溶剂甲苯4 mL,100 ℃下反应2 h,PIL用量对 N-亚苄基苯胺收率的影响如表1所示。
| 表1 PIL用量的影响 Table 1 Effect of dosage of PIL |
由表1可知,随着PIL加入量增加, N-亚苄基苯胺收率增加,当PIL的添加量为1 g时, N-亚苄基苯胺最高收率93%;继续增大PIL添加量, N-亚苄基苯胺收率呈现下降的趋势。 由于伯胺与醛缩合生成 N-取代亚胺需要在酸催化条件下进行,而酸度过高会导致伯胺质子化而失去亲核活性,故PIL的添加量存在最佳值,通常反应体系pH值控制在4~5[24]。 同时,考虑到PIL添加量过多会导致反应体系的黏度增大,不利于传质传热,影响反应的进行,故PIL最佳的添加量为1 g。
2.2.2 反应物配料比的影响 固定PIL 1 g,溶剂甲苯4 mL,100 ℃下反应2 h,反应物配料比对产物收率的影响如表2所示。
| 表2 配料比的影响 Table 2 Effect of charge ratio |
由表2可知,目标产物 N-亚苄基苯胺的收率随着反应物苯甲醛与苯胺的配料摩尔比减小而增大,当减小至1:1.2时,产率开始降低。 这是由于苯胺用量增加,溶液的pH值增加,降低了PIL的酸性催化效果,苯甲醛易发生聚合反应,导致产品收率下降。故苯甲醛与苯胺的最佳配料摩尔比为1:1.2。
2.2.3 反应时间的影响 固定PIL 1 g,苯甲醛10 mmol,苯胺12 mmol,溶剂甲苯4 mL,反应温度为100 ℃,反应时间对产物收率的影响如表3所示。
| 表3 反应时间的影响 Table 3 Effect of reaction time |
由表3可知,苯甲醛与苯胺反应时间为2 h时,产物 N-亚苄基苯胺最高收率93%,反应时间继续增加,产率无明显变化。故苯甲醛与苯胺的反应最佳反应时间为2 h。
2.2.4 反应温度的影响 固定PIL 1 g,苯甲醛10 mmol,苯胺12 mmol,溶剂甲苯4 mL,反应时间为2 h,反应温度对产物收率的影响如表4所示。
| 表4 反应温度的影响 Table 4 Effect of reaction time |
由表4可知,随着反应温度增加,收率逐步提高。 当温度增至90 ℃,高于溶剂甲苯与水的共沸点,水随甲苯回流至分水器。随着反应副产物离开反应体系,反应向正方向进行,产物收率进一步提高。 考虑到甲苯沸点的限制,反应温度控制为100 ℃。
2.2.5 催化剂的分离及循环使用 反应结束后分液,PIL层用甲苯溶液萃取1~2次除去有机小分子,减压蒸馏除去少量水及甲苯。 在不补加离子液体的情况下,循环进行胺醛缩合反应。 产物 N-亚苄基苯胺的收率随循环次数的变化如图3所示。
测试条件:PIL 1 g,苯甲醛10 mmol,苯胺12 mmol,溶剂甲苯4 mL,100℃下反应2 h。
由图3可知,PIL重复使用6次,PIL的催化活性基本保持不变,产物 N-亚苄基苯胺的收率稳定在89%~93%;PIL流失率较低,约为2.5%。
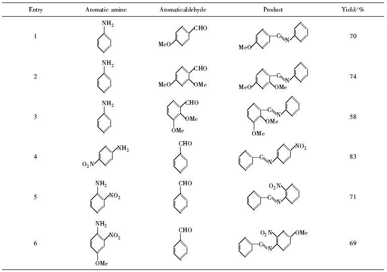
2.2.6 底物拓展 选取含不同取代基的芳胺与芳醛,考察PIL/甲苯温控体系对胺醛缩合反应的普适性,结果如表5所示。
| 表5 不同反应底物的胺醛缩合反应 Table 5 Different substrates of amine aldehyde condensation reaction |
由表5可知,在PIL/甲苯温控体系中,含不同取代基的芳胺与芳醛的缩合反应均能顺利进行且可达到较高收率,说明该体系对芳胺与芳醛缩合反应具有广泛的适用性。
以PEG为主链,双键取代咪唑型离子液体为交联剂,设计并制备出具有网状结构的酸性聚合离子液体;聚合离子液体能与甲苯形成温控两相体系,临界溶解温度为60 ℃,满足常见反应所需温度要求。
PIL/甲苯温控两相体系催化胺醛缩合反应表明:该体系具有较高的催化活性, N-亚苄基苯胺的收率为93%;循环使用6次,催化效果无明显降低,PIL流失率仅为2.5%。 底物拓展试验中,不同取代产物的收率为57%~93%,表明该温控体系对缩合反应具有广泛的适用性。
| [1] |
|
| [2] |
|
| [3] |
|
| [4] |
|
| [5] |
|
| [6] |
|
| [7] |
|
| [8] |
|
| [9] |
|
| [10] |
|
| [11] |
|
| [12] |
|
| [13] |
|
| [14] |
|
| [15] |
|
| [16] |
|
| [17] |
|
| [18] |
|
| [19] |
|
| [20] |
|
| [21] |
|
| [22] |
|
| [23] |
|
| [24] |
|


