报道了一种从卤代邻二甲苯偶联和液相氧化制备2,3,3',4'-联苯四甲酸二酐(3,4'-BPDA)的简便方法。 以NiF2-PPh3(PPh3:三苯基膦)为催化体系,高效地实现了4-溴邻二甲苯格氏试剂与3-氯代邻二甲苯的交叉偶联反应,合成了2,3,3',4'-四甲基联苯(3,4'-TMDP),后者经液相氧化、高温脱水成酐制备了3,4'-BPDA,两步总产率达到74%。 这条路线与从邻苯二甲酸二甲酯或混合氯代邻苯二甲酸二甲酯制备3,4'-BPDA相比,不涉及酯的水解及异构体的分离等过程,因此分离及环保方面具有非常明显的优势,同时合成路线更简便。
A facile synthesis of 2,3,3',4'-biphenyltetracarboxylic dianhydride through cross-coupling of halo-substituted orthoxylene and liquid-phase oxidation of the resulted tetramethylbiphenyl. 2,3,3',4'-Tetramethylbiphenyl(3,4'-TMDP) was synthesized by cross-coupling of 4-bromo-1,2-dimethylbenzene and 3,4-dimethylphenylmagnesium bromide with NiF2-PPh3(PPh3:triphenylphosphine) as the catalyst and which was then converted to 2,3,3',4'-biphenyltetracarboxylic dianhydride(3,4'-BPDA) by the oxidation and dehydration procedures. The overall yield reached to 74%. In comparison with the preparations of 3,4'-BPDA from dimethyl phthalate or chlorinated dimethyl phthalate mixture, the method exhibits advantages in the separation and environmental benign because of the avoidance of the tedious hydrolysis step and the separation of isomers.
联苯型聚酰亚胺作为一种高性能聚合物,具有耐热、耐溶剂、耐辐射以及良好的力学性能和介电性能,在机械电子、航空航天、大型电机、水轮机轴承、耐热滤材等领域具有广泛的应用前景[1,2,3,4]。 与对称结构的3,3',4,4'-联苯四甲酸二酐(4,4'-BPDA)为单体的聚酰亚胺相比,非对称结构异构体—2,3,3',4'-联苯四甲酸二酐(3,4'-BPDA)为单体的聚酰亚胺具有更高的 Tg和较低的熔体粘度,显著提高了材料制备过程中的可加工性[1]250-282[5,6]。 因此,采用3,4'-BPDA代替4,4'-BPDA基体树脂的工作受到越来越多的关注[7,8,9,10,11,12]。 目前,广泛使用的3,4'-BPDA合成方法是以邻苯二甲酸二甲酯或混合氯代邻苯二甲酸二甲酯为原料,经偶联、水解等过程制得[13,14,15]。 但在这类方法中,偶联反应产物为3种异构体(3,3'-、3,4'-和4,4'-联苯四甲酸四甲酯)的混合物,导致分离成本较高且分离产率较低;酯水解过程中涉及浓酸或浓碱,极大增加了环境成本。 因此,通过分子设计,高效、简便地合成非对称结构3,4'-联苯四甲酸二酐(3,4'-BPDA)具有较高的理论意义和实际应用价值。
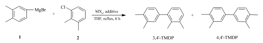
本文报道以卤代邻二甲苯为原料经交叉偶联、氧化等过程高效地制备3,4'-联苯四甲酸二酐(3,4'-BPDA)的一种方法。 如Schmeme 1所示,4-卤邻二甲苯与Mg反应制备格氏试剂,接着在过渡金属催化下进行交叉偶联制得2,3,3'4'-四甲基联苯(3,4'-TMDP)。 最后,过渡金属催化氧化制得目标化合物3,4'-联苯四甲酸二酐(3,4'-BPDA)。
Bruker Avance-300、600 MHz型核磁共振仪(瑞士BRUKER公司),氘代二甲基亚砜(DMSO-d6)或氘代三氯甲烷(CDCl3)为溶剂;RY-1型熔点仪(天津天光光学仪器有限公司),温度计未经校正;GC-2010型气相色谱仪(日本岛津公司)。 4-溴代邻二甲苯和3-氯代邻二甲苯由安耐吉化学提供,混合氯代邻二甲苯(3-、4-氯代邻二甲苯摩尔比为45:55)由长春高琦聚酰亚胺材料有限公司提供,其它溶剂均为市售分析纯。 四氢呋喃进行无水无氧处理,混合氯代邻二甲苯和 N, N, N', N'-四甲基乙二胺(TMEDA)需重蒸处理,其它试剂未经进一步处理直接使用。
1.2.1 以混合氯代邻二甲苯为原料制备四甲基联苯 向500 mL单口烧瓶中,加入混合氯代邻二甲苯(112 g,0.80 mol),四氢呋喃(THF,16 mL,0.20 mmol),镁屑(3.88 g,0.16 mol)和少量I2(0.02 g,0.08 mmol),搅拌混合。 在N2气保护下加热至110 ℃,反应至镁屑全部消失(约为8 h)。 将反应混合物冷却至室温,加入TMEDA(18 mL,0.12 mol)和Ni(acac)2(0.018 g,0.070 mmol,acac:乙酰丙酮),继续搅拌。 将反应体系缓慢升至110 ℃,反应6 h。 反应完毕,冷却至室温,反应混合物中加入500 mL的盐酸溶液(1 mol/L),分液,水层用二氯甲烷萃取(100 mL×2)。 合并有机层,并用无水硫酸镁干燥,滤除硫酸镁、蒸干溶剂,得粗产物。 粗产物用气相色谱进行分析。 转化率为81%,3种异构体比例为 n(3,3'-TMDP): n(3,4'-TMDP): n(4,4'-TMDP)=1:2.7:2。
1.2.2 以单一卤代邻二甲苯为原料制备3,4'-四甲基联苯(3,4'-TMDP) 在N2气保护下,向50 mL三口瓶中加入镁屑(约0.290 g,12.0 mmol),3,4-二甲溴苯(1.85 g,10.0 mmol),无水四氢呋喃(8 mL)。 在搅拌条件下,滴加异丙基氯化镁(1 mol/L,0.5 mL),接着加热引发反应,使反应处于微沸状态。 待反应体系中无明显气泡生成时(约1 h),再加热回流1h,制备3,4-二甲苯基卤化镁。
向25 mL三口瓶中加入NiF2(0.067 g,0.70 mmol)、三苯基膦(PPh3,0.204 g,0.72 mmol)和2 mL无水四氢呋喃,并搅拌30 min制备催化剂。 在N2气保护下,向催化体系中先后加入2,3-二甲基氯苯(0.984 g,7.00 mmol)和上述制备的3,4-二甲苯基卤化镁,回流反应8 h。 停止反应后,将反应液倒入10 mL饱和氯化铵溶液中,分出有机相,水相用乙酸乙酯萃取。 合并有机相,用无水硫酸镁干燥后,蒸除溶剂。 得到2,3,3',4'-四甲基联苯(3,4'-TMDP)的粗产物。 得到的3,4'-TMDP的粗产物用气相色谱分析,产率为93%。1H NMR(DMSO-d6,300 MHz), δ:7.21(d,1H, J=7.2 Hz),7.18(s,1H),7.17(d,1H, J=7.2 Hz),7.12(dd,2H, J=7.2,0.3 Hz),7.05(dd,1H, J=7.2,0.3 Hz)。
1.2.3 2,3,3',4'-四甲基联苯氧化制备2,3,3',4'-联苯四甲酸二酐 向不锈钢耐压反应器中加入3,4'-TMDP(2.10 g,10.0 mmol)、醋酸钴(0.017 g,0.10 mmol)、溴化钠(0.027 g,0.25 mmol)和15 mL醋酸,向反应瓶中加入N2-O2混合气体(分压比=2:1),使压力保持在0.5 MPa。 接着,将反应体系加热至内温达到100 ℃,反应6 h。 反应完毕反应器温度降至室温,接着反应混合物倾入50 mL的水中,静止过夜,有大量白色固体生成。 将白色固体进行过滤、水洗、得到的滤饼在60 ℃下真空干燥,得白色粉末2,3,3',4'-联苯四甲酸。 最后,联苯四甲酸加热到250 ℃熔融脱水12 h,得2.40 g的白色晶体,即是2,3,3',4'-联苯四甲酸二酐,产率为80%,mp 197~199 ℃[15]。1H NMR(DMSO-d6,600 MHz), δ:8.41(s,1H),8.27(dd,1H, J=7.2,1.2 Hz),8.23(d,1H, J=7.8 Hz),8.18(d,1H, J=7.2 Hz),8.11(t,1H, J=7.2 Hz),8.09(dd,1H, J=7.2,1.2 Hz),详细的1H NMR谱图见辅助材料。
Scheme 2所示的是以混合氯代邻二甲苯作为原料和反应溶剂,利用交叉偶联反应制备四甲基联苯的方法。 本研究通过催化剂用量、反应温度等反应条件的优化,有效控制了反应过程中的热效应,同时提高了反应产率(产率可高达84%)。 而且可将反应放大至千克级(氯代邻二甲苯量达到5 kg)。 以邻苯二甲酸二甲酯或混合氯代邻苯二甲酸二甲酯为原料制备3,4'-BPDA[13,14,15]的方法相比,该方法在分离及环保方面具有明显的优势。 但是,由于起始原料为两种氯代邻二甲苯的混合物,得到的是3种四甲基联苯的同分异构体( n(3,3'-TMDP): n(3,4'-TMDP): n(4,4'-TMDP)=1:2.7:2),因此3,4'-TMDP的理论产率仅为40%,分离过程复杂,尽管能够同时制备3种不同的异构体的混合物,但是作为制备3,4'-BPDA的关键步骤使用受到限制[16]。
为了高产率得到3,4'-TMDP,设计了以4-溴邻二甲苯格氏试剂与3-氯代邻二甲苯进行交叉偶联制备3,4'-四甲基联苯的合成路线(如Scheme 3所示)。 考虑到工业化对原料成本的要求,选择了价格相对便宜的镍系金属作为中心金属进行了对反应条件的筛选。 在无配体条件下,NiCl2和NiF2具有一定的反应活性(表1中Entries 1~2),生成交叉偶联产物3,4'-TMDP和氧化偶联产物4,4'-TMDP。其中,NiF2催化下3,4'-TMDP的产率(37%)略高于NiCl2催化剂(24%)。 以NiF2为中心金属筛选配体对反应的影响(表1中Entries 3~7),发现以PPh3为配体时效果最佳,交叉偶联产物可达90 %以上。 最后,以PPh3配体、Ni(Ⅱ)为中心金属探讨了阴离子对反应的影响(表1中Entries 3,8~9),发现阴离子为F-时得到的交叉偶联产物最多。 这可能是F-的独特的电子效应和配位能力引起的[17]。 F-以弱的 σ-键和强的π-π*键形式与过渡金属形成强配位键,使F-以配体形式参与整个催化循环,提高了催化剂的稳定性和催化活性。 接着,探讨不同中心金属对反应的影响(表1中Entries 10~15),发现最佳的催化体系仍为NiF2-PPh3。 考虑到格氏试剂的制备过程中常用溶剂为THF,因此本次研究中没有对反应溶剂进行筛选。 通过中心金属及常用配体等条件的优化,该反应的最优催化体系为NiF2-PPh3,目标物3,4'-TMDP的产率为可达92%。 在此优化条件下,将反应扩大到5 g级目标化合物的产率,略有下降,但仍达到88%。
| 表1 制备3,4'-TMDP交叉偶联反应条件的优化 Table 1 Optimization of cross-coupling reaction for synthesis of 3,4'-TMDP |
通过催化剂的用量和反应温度等条件的筛选,优化和放大了混合氯代邻二甲苯为溶剂和原料制备3,4'-TMDP的反应。 有效控制了反应放大过程中的热效应和反应产率降低等问题,将反应扩大至千克级(投料量可达5 kg)。 但该路线中起始原料为两种氯代邻二甲苯的混合物,经反应后得到的是3种四甲基联苯的混合物( n(3,3'-TMDP): n(3,4'-TMDP): n(4,4'-TMDP)=1:2.7:2),3,4'-TMDP的理论产率仅为40%。 通过以NiF2-PPh3为催化体系,高效地实现了4-溴邻二甲苯格氏试剂与3-氯代邻二甲苯进行交叉偶联反应,制备了3,4'-四甲基联苯,产率达到92%。 最后,3,4'-TMDP经氧化、高温脱水成酐制备了3,4'-BPDA,产率达80%。 与以邻苯二甲酸二甲酯或混合氯代邻苯二甲酸二甲酯为原料制备3,4'-BPDA的方法相比,该方法不仅合成路线更简便,而且不涉及酯的水解及高含量异构体的分离等过程,因此在分离及环保方面具有非常明显的优势。
辅助材料(Supporting Information)[3,4'-TMDP和3,4'-BPDA的1H NMR]可以免费从本刊网站(http://yyhx.ciac.jl.cn/)下载。
| [1] |
|
| [2] |
|
| [3] |
|
| [4] |
|
| [5] |
|
| [6] |
|
| [7] |
|
| [8] |
|
| [9] |
|
| [10] |
|
| [11] |
|
| [12] |
|
| [13] |
|
| [14] |
|
| [15] |
|
| [16] |
|
| [17] |
|

