发展了一种可见光诱导的活泼烯烃与全氟碘代烷串联加成环化合成多氟异喹啉二酮的反应。 在可见光诱导下,多种 N-丙烯酰基- N-丁基苯甲酰胺衍生物与全氟碘代烷发生自由基串联加成环化反应,以54%~80%的产率合成了一系列的多氟取代异喹啉二酮衍生物。 为具有潜在药用价值的多氟取代异喹啉二酮合成提供了一条高效、条件温和、绿色的新途径。
A visible-light-induced radical cascade addition cyclization reaction of activated alkenes with perfluoroalkyl iodide toward perfluorinated isoquinolinediones was developed. By visible-light photoredox catalysis, various N-alkyl- N-methacryloyl benamides underwent radical cyclization smoothly and afforded a series of synthetically important perfluorinated isoquinolinediones in 54%~80% yields. This work provides a highly efficient, mild condition, “green” means to pharmaceutically important perfluorinated isoquinolinediones.
含氟化合物已在医药、农药和材料等领域得到广泛应用[1]。 据统计,目前约20%的医药和30%农药中至少含有一个氟原子。 最近,在有机分子中,特别是在一些杂环骨架中引入含氟基团(特别是CF3基团)的方法研究吸引了众多化学家的兴趣[2,3,4]。 异喹啉-1,3-二酮及其衍生物广泛存在于天然产物和药物化合物中,是许多潜在生理活性的化合物重要构建骨架(Scheme 1)[5,6,7,8]。 基于含氟有机分子潜在的药用价值,最近在异喹啉-1,3-二酮骨架中引入氟取代基团吸引了众多化学家的关注。
目前,一些研究组通过烯烃的双官能团化已经实现了三氟甲基化异喹啉-1,3-二酮骨架的构筑[9,10,11]。 例如,在2013年,Liu课题组[9]使用PhI(OAc)2/KF/TMSCF3反应体系实现了烯烃的碳基三氟甲基化,合成了一系列三氟甲基化异喹啉-1,3-二酮衍生物。 最近,Xia课题组[11]也报道了一条简单、便捷的可见光诱导的三氟甲基吲哚酮或者异喹啉-1,3-二酮的合成路线。 但是,以上所述合成方法均只限于异喹啉-1,3-二酮骨架中引入三氟甲基基团。 值得一提的是,在Xia报道的光催化例子中,在异喹啉-1,3-二酮合成方面只研究了5例对位取代的异丁烯苯甲酰胺底物的反应情况。 因此,增加引入异喹啉-1,3-二酮骨架的含氟基团(例如,二氟乙酸乙酯基团、全氟基团)的多样化,以及拓宽此类光催化合成含氟异喹啉-1,3-二酮反应的底物范围,目前仍然具有重要的意义。 构筑三氟甲基化异喹啉-1,3-二酮所使用的亲电或自由基三氟甲基化试剂(例如,Nevado 报道[10]中使用的Togni's试剂,Xia报道[11]中使用的CF3SO2Cl)均价格不菲,而全氟烷基碘大部分能够从商业渠道获得,且比其它常见的全氟烷基化试剂(如Togni's试剂,RfSO2Cl)便宜得多。光催化通常反应条件温和,催化效果优越,使用光敏办法由全氟烷基碘试剂产生全氟烷基自由基是行之有效的方法[12,13,14,15,16]。 所以,我们构思通过可见光诱导 N-丙烯酰基 -N-甲基苯甲酰胺与多氟烷基碘发生串联自由基加成/C-H环化构筑全氟烷基化异喹啉-1,3-二酮是可行的。 然而,在异喹啉二酮骨架中引入多氟烷基基团的迄今还未见报道。 基于我们在合成含氟杂环化合物研究兴趣的拓展[17],本文发展了一种可见光诱导的活泼烯烃与全氟碘代烷自由基环化合成多氟异喹啉二酮的反应。 此反应底物适应范围广,操作简单,反应条件温和,且产率最高可达80%(Scheme 2)。
所用的芳基酰氯、草酰氯、烷基胺和全氟碘代试剂购自阿拉丁试剂公司或百灵威试剂公司,其它试剂除标明外均为分析纯。 实验中所需的原料 N-丙烯酰基- N-丁基苯甲酰胺(1a~1m)参照相关文献[10-11]方法合成得到。 AVANCE 400 MHz型超导傅里叶数字化核磁共振仪(瑞士Bruker公司);GC-MS-QP2010型质谱仪(日本岛津公司);RE-52AA型旋转蒸发仪(上海亚荣生化仪器厂);XT5A型显微熔点仪(北京市科仪电光学仪器厂)。
以产物3a合成为例,在封管中依次加入1.8 mg(0.003 mmol,1 %摩尔分数)三(2-苯基吡啶)合铱( fac-Ir(ppy)3),127.2 mg(0.6 mmol)的K3PO4,73.5 mg(0.3 mmol)的 N-丙烯酰基- N-丁基苯甲酰胺(1a),207.6 mg(0.6 mmol)全氟碘代丁烷,2 mL DMF( N, N-二甲基甲酰胺),然后在N2气保护下,5 W LED 蓝光灯照射常温下搅拌24 h。 经TLC检测反应完全后,经柱层析分离,石油醚-乙酸乙酯(体积比10:1)洗脱,得到最终目标产物3a,为一种淡黄色油状液体。

产物3a:微黄油状物。1H NMR(400 MHz,CDCl3), δ:8.31(d, J=7.9 Hz,1H),7.67(t, J=7.8 Hz,1H),7.54~7.44(m,2H),4.11~3.96(m,2H),3.46(dd, J=33.6,15.4 Hz,1H),2.87~2.69(m,1H),1.69(s,3H),1.65~1.57(m,2H),1.45~1.35(m,2H),0.96(t, J=7.3 Hz,3H);13C NMR(101 MHz,CDCl3), δ:174.3,163.5,140.7,133.6,129.4,128.0,125.7,124.2,120.9 ~103.1(m),43.3,40.6,40.4(t, J=20.2 Hz),32.1,29.6,20.2,13.7;19F NMR(376 MHz,CDCl3), δ:-81.1(t, J=9.9 Hz,3F),-108.0(d, JF-F=273.4 Hz,1F),-112.8(d, JF-F=274.2 Hz,1F),-124.9(br,2F),-125.1~-126.8(m,2F);HRMS m/z(ESI)计算值C19H19F9NO2[M+H]+:464.1267,实测值:464.1266。

产物3b:微黄油状物。1H NMR(400 MHz,CDCl3), δ:8.29(dd, J=7.9,1.2 Hz,1H),7.69~7.62(m,1H),7.53~7.45(m,1H),7.42(d, J=7.9 Hz,1H),5.24(hept, J=6.9 Hz,1H),3.51~3.34(m,1H),2.83~2.65(m,1H),1.68(s,3H),1.50(dd, J=6.9,2.7 Hz,6H);13C NMR(101 MHz,CDCl3), δ:174.4,163.8,140.6,133.4,129.4,127.9,125.6,124.7,118.7~105.4(m),45.7,43.6,40.5(t, J=20.2 Hz),31.9,19.3,13.7;19F NMR(471 MHz,CDCl3), δ:-81.1(t, J=12.2 Hz,3F),-107.7(d, JF-F=342.9 Hz,1F),-112.8(d, JF-F=343.2 Hz,1F),-124.9(br,2F),-125.0~-126.9(m,2F);HRMS m/z(ESI)计算值C18H17F9NO2[M+H]+:450.1111,实测值:450.1109。

产物3d:微黄油状物。1H NMR(400 MHz,CDCl3), δ:8.14(d, J=8.1 Hz,1H),7.25(d, J=8.2 Hz,1H),7.17(s,1H),4.05~3.91(m,2H),3.39(dd, J=33.7,15.1 Hz,1H),2.80~2.65(m,1H),2.43(s,3H),1.62(s,3H),1.55(dd, J=15.3,7.6 Hz,2H),1.35(dq, J=14.8,7.4 Hz,2H),0.92(t, J=7.3 Hz,3H);13C NMR(101 MHz,CDCl3), δ:174.4,163.5,144.5,140.7,129.3,129.1,126.0,121.7,118.5~105.8(m),43.3,40.5(t, J=10.1 Hz),32.1,30.9,29.6,21.8,20.2,13.7;19F NMR(376 MHz,CDCl3), δ:-81.2(t, J=9.8 Hz,3F),-108.0(d, JF-F=273.4 Hz,1F),-112.8(d, JF-F=274.1 Hz,1F),-124.9(br,2F),-125.1~ -126.9(m,2F);HRMS m/z(ESI)计算值 C20H21F9NO2[M+H]+:478.1424,实测值:478.1427。

产物3e: 微黄油状物。1H NMR(400 MHz,CDCl3), δ:8.23(d, J=8.8 Hz,1H),7.00(dd, J=8.8,2.4 Hz,1H),6.84(d, J=2.1 Hz,1H),5.22(hept, J=6.9 Hz,1H),3.91(s,3H),3.49~3.31(m,1H),2.76~2.60(m,1H),1.66(s,3H),1.48(dd, J=6.9,2.0 Hz,6H);13C NMR(101 MHz,CDCl3), δ:174.5,163.7,142.8,131.7,119.5~109.8(m),117.7,113.5,111.0,110.9,55.6,45.5,43.7,40.3(t, J=20.2 Hz),32.0,19.3,19.3;19F NMR(471 MHz,CDCl3), δ:-80.3(t, J=12.2 Hz,3F),-108.5(d, JF-F=342.8 Hz,1F),-113.6(d, JF-F=342.4 Hz,1F),-127.2~-129.1(m,2F);HRMS m/z(ESI)计算值C18H19F7NO3[M+H]+:430.1248,实测值:430.1246。

产物3f:微黄油状物。1H NMR(500 MHz,CDCl3), δ:8.25(d, J=8.5 Hz,1H),7.48(d, J=8.5 Hz,1H),7.43(s,1H),4.08~3.95(m,2H),3.47(dd, J=33.6,15.4 Hz,1H),2.81~2.67(m,1H),1.69(s,3H),1.60(p, J=7.5 Hz,2H),1.44~1.34(m,2H),0.96(t, J=7.3 Hz,3H);13C NMR(126 MHz,CDCl3), δ:173.6,162.6,142.3,140.3,131.0,128.7,125.9(d, J=2.4 Hz),122.7,118.3 - 105.5(m),43.3(d, J=2.6 Hz),40.7,40.5(t, J=19.7 Hz),31.9,29.5,20.1,13.7;19F NMR(376 MHz,CDCl3), δ:-81.2(t, J=9.9 Hz,3F),-108.0(d, JF-F=273.6 Hz,1F),-112.8(d, JF-F=274.3 Hz,1F),-124.9(br,2F),-125.1~-126.9(m,2F);HRMS m/z(ESI)计算值C19H18ClF9NO2[M+H]+:498.0877,实测值:498.0874。

产物3g:微黄油状物。1H NMR(400 MHz,CDCl3), δ:7.48(t, J=7.7 Hz,1H),7.28(t, J=6.6 Hz,2H),5.19(hept, J=6.9 Hz,1H),3.49~3.31(m,1H),2.83~2.62(m,4H),1.67(s,3H),1.49(dd, J=6.9,1.2 Hz,6H);13C NMR(101 MHz,CDCl3), δ:174.0,164.4,142.8,141.8,132.2,132.0,123.9,123.2,119.2-109.8(m),45.7,43.6,40.5(t, J=20.2 Hz),32.2,24.1,19.4,19.3;19F NMR(471 MHz,CDCl3), δ:-80.3(t, J=12.2Hz,3F),-108.6(d, JF-F=341.9 Hz,1F),-113.5(d, JF-F=341.9 Hz,1F),-126.6~ -129.0(m,2F);HRMS m/z(ESI)计算值C18H19F7NO2[M+H]+:414.1299,实测值:414.1297。

产物3h: 微黄油状物。1H NMR(400 MHz,CDCl3), δ:8.32(dd, J=7.9,1.3 Hz,1H),7.64(dd, J=7.9,1.3 Hz,1H),7.42(t, J=7.9 Hz,1H),4.06~3.77(m,3H),3.36(dd, J=35.4,15.2 Hz,1H),1.86(s,3H),1.61~1.52(m,2H),1.41~1.30(m,2H),0.93(t, J=7.3 Hz,3H);13C NMR(101 MHz,CDCl3), δ:174.5,162.4,137.0,136.8,132.8,129.1,127.1,118.4~105.8(m),44.3,41.4,36.7(t, J=20.2 Hz),29.4,26.6,20.2,13.7;19F NMR(376 MHz,CDCl3), δ:-81.1(t, J=9.8 Hz,3F),-111.6(d,JF-F = 272.6 Hz,1F),-113.6(d, JF-F=272.6 Hz,1F),-125.0(br,2F),-125.2~-126.9(m,2F);HRMS m/z(ESI)计算值C19H18ClF9NO2[M+H]+:498.0877,实测值:498.0875。

产物3h':微黄油状物。1H NMR(400 MHz,CDCl3), δ:8.24(d, J=2.3 Hz,1H),7.59(dd, J=8.5,2.3 Hz,1H),7.35(d, J=8.4 Hz,1H),4.07~3.91(m,2H),3.41(dd, J=33.7,15.3 Hz,1H),2.79~ 2.62(m,1H),1.63(s,3H),1.55(dd, J=15.3,7.6 Hz,2H),1.40~1.30(m,2H),0.92(t, J=7.3 Hz,3H);13C NMR(101 MHz,CDCl3), δ:173.8,162.3,139.0,134.4,133.8,129.1,127.3,125.8,118.4~105.6(m),43.1,40.8,40.4(t, J=10.1 Hz),32.0,29.5,20.1,13.7;19F NMR(376 MHz,CDCl3), δ:-81.2(t, J=9.8 Hz,3F),-107.4(d, JF-F=272.5 Hz,1F),-112.7(d, JF-F=272.6 Hz,1F),-124.8(br,2F),-125.0~-126.9(m,2F);HRMS m/z(ESI)计算值C19H18ClF9NO2[M+H]+:498.0877,实测值:498.0879。

产物3i:微黄油状物。1H NMR(400 MHz,CDCl3), δ:8.40(d, J=8.2 Hz,1H),7.72(d, J=8.3 Hz,1H),7.64(s,1H),4.07~3.94(m,2H),3.47(dd, J=33.2,15.2 Hz,1H),2.85~2.68(m,1H),1.68(s,3H),1.56(dd, J=15.0,7.3 Hz,2H),1.36(td, J=14.8,7.2 Hz,2H),0.93(t, J=7.3 Hz,3H);13C NMR(101 MHz,CDCl3), δ:173.5,162.3,141.4,135.1(q, J=30.3 Hz),130.3,128.6,127.1,124.8(q, J=10.1 Hz),122.9,119.8~105.4(m),43.5,40.9,40.5(t, J=20.2 Hz),31.9,29.5,20.1,13.6;19F NMR(376 MHz,CDCl3), δ:-63.4(s,3F),-81.2(t, J=9.8 Hz,3F),-107.3(d, JF-F=273.3 Hz,1F),-112.6(d, JF-F=273.0 Hz,1F),-124.9(br,2F),-125.1~-126.9(m,2F);HRMS m/z(ESI)计算值C20H18F12NO2[M+H]+:532.1141,实测值:532.1144。

产物3j:微黄油状物。1H NMR(400 MHz,CDCl3), δ:8.29(dd, J=8.8,5.8 Hz,1H),7.16(td, J=8.7,2.4 Hz,1H),7.10~7.05(m,1H),4.05~3.91(m,2H),3.42(dd, J=33.6,15.3 Hz,1H),2.75~2.59(m,1H),1.64(s,3H),1.60~1.51(m,2H),1.35(dd, J=15.2,7.5 Hz,2H),0.92(t, J=7.3 Hz,3H);13C NMR(101 MHz,CDCl3), δ:173.7,166.0(d, J=205.6 Hz),162.5,143.7(d, J=10.1 Hz),132.5(d, J=5.1 Hz),130.8(d, J=5.1 Hz),120.7,116.1(d, J=5.1 Hz),112.7(d, J=10.1 Hz),118.2~105.7(m),43.5,40.6(t, J=10.1 Hz),32.0,29.5,20.1,13.7;19F NMR(376 MHz,CDCl3), δ:-81.2(t, J=9.4 Hz,3F),-103.5(s,1F),-107.3(d, JF-F=273.2 Hz,1F),-112.7(d, JF-F=273.7 Hz,1F),-124.8(br,2F),-125.1~-126.9(m,2F);HRMS m/z(ESI)计算值C19H18F10NO2[M+H]+:482.1173,实测值:482.1175。

产物3k:微黄油状物。1H NMR(400 MHz,CDCl3), δ:8.31(dd, J=7.9,1.3 Hz,1H),7.67(td, J=7.8,1.4 Hz,1H),7.48(ddd, J=17.1,12.1,4.5 Hz,2H),4.11~3.97(m,2H),3.46(dd, J=33.6,15.3 Hz,1H),2.89~2.69(m,1H),1.69(s,3H),1.64~1.57(m,2H),1.46~1.35(m,2H),0.97(t, J=7.3 Hz,3H);13C NMR(101 MHz,CDCl3), δ:174.3,163.5,140.7,133.6,129.4,128.0,125.7,124.2,120.9~103.1(m),43.4,40.6,40.5(t, J=20.2 Hz),32.1,29.6,20.2,13.7;19F NMR(471 MHz,CDCl3), δ:-80.9(t, J=13.6 Hz,3F),-107.6(d, JF-F=341.2 Hz,1F),-112.4(d, JF-F=341.7 Hz,1F),-121.8(br,2F),122.9(br,2F),123.9(br,2F),-125.2~-127.0(m,2F);HRMS m/z(ESI)计算值C21H19F13NO2 [M+H]+:564.1203,实测值:564.1200。

产物3l:微黄油状物。1H NMR(400 MHz,CDCl3), δ:8.13(d, J=8.1 Hz,1H),7.25(d, J=7.7 Hz,1H),7.17(s,1H),4.15~3.78(m,2H),3.38(dd, J=33.4,15.4 Hz,1H),2.86~2.57(m,1H),2.43(s,3H),1.64~1.57(m,5H),1.64~1.48(m,7H),1.35(dq, J=14.5,7.1 Hz,3H),0.92(t, J=7.3 Hz,4H);13C NMR(400 MHz,CDCl3), δ:174.4,163.5,144.5,140.7,129.3,129.1,126.0,121.8,43.3,40.5,40.2(t, J=19.8 Hz),32.1,29.6,21.8,20.2,13.7;19F NMR(276 MHz,CDCl3), δ:-80.4(t, J=12.1Hz,3F),-108.6(d, JF-F=341.5 Hz,1F),-113.5(d, JF-F=341.7 Hz,1F),-126.6~-129.1(m,2F);HRMS m/z(ESI)计算值C21H19F13NO2[M+H]+:428.1456,实测值: 428.1459。

产物3m:微黄油状物。1H NMR(400 MHz,CDCl3), δ:8.30(dd, J=7.9,1.2 Hz,1H),7.68(m,1H),7.50(td, J=8.0,1.1 Hz,1H),7.43(d, J=7.9 Hz,1H),4.11~3.94(m,2H),3.39(dq, J=15.1,10.4 Hz,1H),2.82(dq, J=15.1,9.8 Hz,1H),1.67(s,3H),1.61(m,2H),1.41(dq, J=14.8,7.4 Hz,2H),0.97(t, J=7.3 Hz,3H);13C NMR(101 MHz,CDCl3), δ:174.3,163.5,140.4,133.7,129.3,128.0,125.6(q, J=90.9 Hz),124.4,44.2(q, J=20.2 Hz),43.5,40.6,31.4,29.6,20.2,13.8;19F NMR(471 MHz,CDCl3), δ:-61.4(t, J=12.7 Hz,3F);HRMS m/z(ESI)计算值C16H19F3NO2[M+H]+:314.1363,实测值:314.1360。
最佳反应条件筛选以化合物1a与全氟碘代丁烷(2a)的加成环化反应为模板反应来探索最佳反应条件(表1)。 使用1%(摩尔分数) fac-Ir(ppy)3作为光催化剂[12,13,14],DMF( N, N-二甲基甲酰胺)作为溶剂,K2CO3作为添加剂,并使用N2气保护,在5 W蓝色LED灯照射下反应生成化合物3a,且产率达到58%(entry 1)。 尝试了几种典型的光催化剂,如Ru(bpy)3Cl2、Ru(bpy)3Cl2·6H2O和Eosin Y,其催化效果明显不如 fac-Ir(ppy)3(entries 2~4)。 此外,还发现偶氮二异丁腈(AIBN)也能引发全氟碘代丁烷产生全氟烷基自由基,促使反应生成产物3a,尽管产率相对较低(entry 5)。 考察了碱对反应的影响,实验结果表明,K3PO4的催化效果最佳(entry 6)。 还检测了其它无机碱的催化效果,如CsCO3、K2CO3、NaOAc,这些碱的使用一般得到更低的产率(entries 7~9)。 溶剂筛选发现DMF为溶剂反应效果最佳 (entries 10~13)。 还考察了两个控制实验(entries 14~16),结果表明撤去光催化剂或者暗反条件下环化反应几乎不能发生。 此外,还发现延长反应时间并不能进一步提高产率(entry 17)。
表1 优化反应条件摸索 Table 1 Screening of optimal reaction conditions a![]() |
综上所述,最佳反应条件为: N-丙烯酰基 -N-丁基苯甲酰胺1a(0.3 mmol)、C4F9-I(2倍化学计量)、K3PO4(2倍化学计量)、 fac-Ir(ppy)3(1%摩尔分数)为光催化剂,DMF为溶剂,5 W LED蓝光灯照射下反应24 h。
得到最佳反应条件后,考察了反应底物的适用范围(Scheme 3)。 初步筛选表明: N-二取代甲基丙烯酰基苯甲酰胺的取代基团对此环化反应有着明显的影响,例如,氮原子上 n-Bu和i-Pr取代的异丁烯酰基苯甲酰胺与优化反应条件是相容的,但 N-原子未保护的甲基丙烯酰基苯甲酰胺(R2 = H) 不能发生反应。 考察了底物苯环上各种取代基的对反应条件的兼容性,结果表明,这些取代基团(Me,MeO,Cl)对该条件均表现较好的兼容性,分别以中等以上的产率得到产物3d、3e和3f。 此反应对底物取代基的位阻效应也表现较好的兼容性。 例如,邻位甲基取代的底物1g能顺利参与反应,以67%的产率得到目标产物3g。 间氯取代的 N-二取代甲基丙烯酰基苯甲酰胺也是合适的底物,其与全氟碘代丁烷反应以约2:1的比率得到两种区域异构体3h和3h'。 一些具有拉电子效应的含氟取代基团,如CF3和F表现较好的反应活性,这为多氟取代的异喹啉二酮制备提供了更丰富途径。 此外,在此优化反应条件下能CF3I能作为氟源,与 N-二取代甲基丙烯酰基苯甲酰胺1a顺利发生自由基环化反应,以73%产率得到相应的异喹啉二酮(3l)。
为了探测反应机理,我们做了控制试验(详见Scheme 4 所示)。 结果显示在反应加入过量自由基清除剂TMEPO(2,2,6,6-四甲基哌啶-氮氧化物),此环反应几乎不能发生,此现象表明此反应应该经历了一个自由历程。
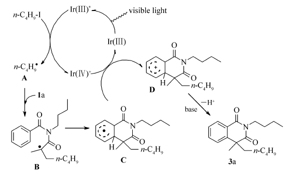
基于上述实验结果和相关的文献报道,提出以下可能的反应机理过程(如Scheme 5 所示):光催化剂 fac-Ir(ppy)3在LED蓝光灯照射下转化为其激发态[ fac-Ir(Ⅲ)(ppy)3]*,然后被氟试剂C4F9-I氧化生成[ fac-Ir(Ⅳ)(ppy)3]+以及C4F9·自由基A,接着自由基C4F9·加成到底物1a的C=C双键,生成中间体B。 接着中间体B发生分子内自由基环化得到中间体C。 然后自由基中间体C被[ fac-Ir(Ⅳ)(ppy)3]+氧化形成环己二烯基阳离子D,并再生 fac-Ir(ppy)3。 最后,中间体D由基的一个质子被无机碱脱去,得到目标产物的全氟化异喹啉-1,3-二酮(3a)。
发展了一种可见光诱导的烯烃串联自由基环化合成多氟异喹啉二酮的反应。 在可见光诱导下,多种 N-丙烯酰基 -N-丁基苯甲酰胺衍生物与全氟碘代烷发生自由基串联加成环化反应,以54%~80%的产率合成了一系列的潜在生理活性的多氟取代异喹啉二酮。 此工作为潜在药用价值的多氟取代的异喹啉二酮提供了一条高效、条件温和、绿色的新途径。 此反应底物适应范围广、反应操作简单、原料易得,其将为合成含氟异喹啉二酮,特别是多氟取代异喹啉二酮,提供了一条高效、简单、“绿色”的新途径。
| [1] |
|
| [2] |
|
| [3] |
|
| [4] |
|
| [5] |
|
| [6] |
|
| [7] |
|
| [8] |
|
| [9] |
|
| [10] |
|
| [11] |
|
| [12] |
|
| [13] |
|
| [14] |
|
| [15] |
|
| [16] |
|
| [17] |
|


