共同通讯联系人:赵晓礼,副研究员; Tel:0431-85262134; Fax:0431-85262028; E-mail:zhaoxiaoli@ciac.ac.cn; 研究方向:聚合物太阳能电池
设计合成了一种中等带隙共轭聚合物,聚[ N-(2-己基癸基)-2,2'-二噻吩-3,3'-二甲酰亚胺-交替共聚-5,5-(2,5-双(3-癸氧基噻吩)-2-噻吩基)-噻吩)](PBTI3T-O),其光谱吸收覆盖波长从400 nm到720 nm,具有较宽的吸收范围,同时易溶于氯苯溶剂,利于溶液加工。 PBTI3T-O与[6,6]-苯基-C71-丁酸异甲酯(PC71BM)复合薄膜的空穴迁移率为5.90×10-3 cm2/(V·s),该迁移率高于其它大部分聚合物电池给体材料。 由于PBTI3T-O较高的空穴迁移率,基于PBTI3T-O/PC71BM的器件在活性层厚度为237 nm时,效率可以达到5.56%。 即使活性层膜厚进一步增加到约300 nm时,器件的效率仍能够保持其最高器件效率的97%,可见其具有在大面积加工工艺中的应用潜力。
Co-corresponding author:ZHAO Xiaoli, associate professor; Tel:0431-85262134; Fax:0431-85262028; E-mail:zhaoxiaoli@ciac.ac.cn; Research interests:polymer solar cell
One of the important prerequisites of large-area production is that the power conversion efficiency of polymer solar cells is insensitive to the active layer thickness. A novel donor-acceptor copolymer, named poly[ N-(2-hexyldecyl)-2,2'-bithiophene-3,3'-dicarboximide-alt-5,5-(2,5-bis(3-(decyloxy)thiophene-2-yl)-thiophene)](PBTI3T-O),with a moderate band gap has been designed and synthesized. PBTI3T-O shows a broad absorption range of 400~720 nm and good solubility in chlorobenzene(CB). The hole mobility of PBTI3T-O and [6,6]-phenyl-C71-butyric acid methyl ester(PC71BM) blend is 5.90×10-3 cm2/(V·s), which is higher than those of most other materials. The excellent charge transport property leads to a power conversion efficiency of 5.56% with a thick active layer of 237 nm. Furthermore, PBTI3T-O based device retains 97% of the highest efficiency with a thickness of ca. 300 nm, indicating its potential application in large-area production.
在过去的十年中,聚合物太阳能电池(Polymer solar cells,PSCs)因其低成本、质量轻、柔性和易大面积加工等优点引起科学界和工业界的广泛关注[1,2,3]。 目前,聚合物太阳电池的活性层主要是由聚合物给体和富勒烯衍生物受体共混构成的体相异质结结构。 聚合物给体材料主要通过分子内的给体单元(D)和受体单元(A)以交替共聚的方式构成,通过选择合适的给体单元和受体单元,能够有效地调节聚合物的能级结构、空穴迁移率、吸收范围、结晶性等一系列聚合物的性质[4,5,6]。 目前,实验室条件下基于D-A型聚合物太阳能电池器件的能量转换效率(Power conversion efficiencies,PCEs)已经超过10%[7,8]。 由于迁移率的限制,大部分太阳能电池最优化器件的活性层厚度约为100 nm,随着膜厚的增加,电荷的传输距离、空间电荷的累计和电荷的复合概率会大幅增加,导致器件性能急剧下降,不能满足喷墨打印(Inkjet-printing)、丝网印刷(Silk-screen process)和卷对卷(Roll-to-roll)等大面积加工工艺的需求[9,10]。 因此,通过分子设计合成出高迁移率的聚合物光伏材料,解决器件效率对活性层厚度(200~300 nm)的严重依赖性,减小大面积加工工艺过程中由于活性层针孔缺陷或者厚度的变化导致的器件短路概率或器件整体效率的下降,满足大面积加工工艺需求,推动聚合物光伏材料的设计合成向实际应用的方向发展,解决限制器件大面积化的这一关键因素[11]。 此外,增加膜厚不仅可以提高器件加工的可重复性,而且可以增加活性层对太阳光的利用率,提高短路电流(Current density, Jsc)。 因此,通过分子设计合成出高效、膜厚不敏感的聚合物光伏材料,具有重要的意义[12]。
目前只有少数给体材料在活性层厚度大于200 nm时最高的能量转换效率超过5%。 本文合成一种具有高空穴迁移率的太阳能电池给体材料,满足上述条件,并符合大面积喷涂加工的要求。 本工作拓宽了大面积加工工艺研究领域对材料的选择范围,对聚合物太阳能电池由实验室到商业化的进程具有积极的推动作用。
Bruker AV 400M型核磁共振波谱仪(德国布鲁克公司);PL-GPC 220型高温凝胶渗透色谱(英国Polymer Laboratories公司);METTLER TOLEDOTGA/DSC1/1100 LF型热重分析仪(瑞士梅特勒-托利公司);JASCO V-500型紫外可见光分光光度计(日本JASCO公司);CHI600D型电化学工作站(上海辰华公司),Fc/Fc+作为内标,铂碳电极作为工作电极,Ag/AgCl电极作为参比电极;JEOL JEM-1011型透射电子显微镜(TEM,日本电子株式会社),操作电压100 KV;电池器件在手套箱中使用Keithley-2400型数字源表(美国吉时利源表公司)在AM 1.5G光强照射下测试。
二氯甲烷、DMF、甲苯和THF等溶剂均购自于国药集团化学试剂,均为分析纯。 二氯甲烷和 N, N-二甲基甲酰胺(DMF)用氢化钙除水后蒸馏;甲苯和四氢呋喃(THF)用金属钠除水,二苯甲酮为指示剂;四(三苯基膦)钯[Pd(PPh3)4]购自于安耐吉化学,纯度99%;富勒烯衍生物[6,6]-苯基-C71-丁酸异甲酯(PC71BM)购自于American Dye Source Inc,纯度99%;2,5-双(三甲基锡基)噻吩购自于睿迅光电,纯度98%;化合物4根据文献[13,14]方法合成。
聚合物的合成路线见Scheme 1,具体的合成步骤如下:
化合物1:将3-甲氧基噻吩(7.43 g,65.1 mmol),1-癸醇20.6 g(130 mmol)和NaHSO4·H2O 1.8 g(13 mmol)溶于30 mL的甲苯中,115 ℃加热10 h后停止反应。减压蒸馏提纯产物,0.1 MPa下收集120 ℃组份。 产品为无色液体,产率70%。1H NMR(400 MHz,CDCl3,TMS), δ:7.15(dd, J=4.9 Hz,1H), 6.75(d, J=5.1 Hz,1H),6.22(s,1H),3.93(t, J=6.5 Hz,2H),1.86~1.63(m,2H),1.58~1.39(m,2H),1.27(s,12H),0.88(t, J=6.5 Hz,3H)。
化合物2:取化合物1(3.93 g,16.4 mmol)溶于30 mL氯仿和10 mL乙酸的混合溶液中,加入 N-溴代琥珀酰亚胺(NBS)(2.91 g,16.4 mmol),室温搅拌反应24 h。 反应完毕用水和三氯甲烷萃取,收集有机相,用无水硫酸镁干燥后除去溶剂,剩余混合物采用柱层析提纯,石油醚为淋洗剂。 产品为无色液体,产率92%。1H NMR(400 MHz,CDCl3,TMS), δ:7.19(d, J=5.9 Hz,1H),6.75(d, J=5.9 Hz,1H),4.04(t, J=6.6 Hz,2H),1.88~1.66(m,2H),1.45(d, J=7.4,2H),1.29(s,12H),0.89(t, J=6.5 Hz,3H)。
化合物3:将1 g镁条用稀盐酸处理,然后将处理好的镁条加入到20 mL的THF中,加入一粒碘作引发剂,无水无氧条件下,缓慢将化合物2(4.93 g,15.5 mmol)滴加到体系中,室温反应8 h。 在-78 ℃条件下,将上述制备的格式试剂滴加到2-三丁基氯化锡(5.04 g,15.5 mmol)的THF溶液中,滴加完毕升到室温,然后搅拌12 h。 反应体系用去离子水和乙醚萃取,收集有机相,用无水硫酸钠干燥后除去溶剂,产物没有提纯直接进行下一步反应。 产品为无色液体,产率83%。1H NMR(400 MHz,CDCl3,TMS), δ:7.46(d, J=4.9 Hz,1H),6.95(d, J=4.7 Hz,1H),3.93(t, J=6.4 Hz,2H),1.85~1.07(m,34H),0.89(t, J=7.3 Hz,12H)。
化合物5:无水无氧条件下,将化合物3(3.18 g,6 mmol)、化合物4(615 mg,1 mmol)和四(三苯基膦)钯(115 mg,0.1 mmol)溶于16.5 mL纯化过的 V(甲苯): V( N, N-二甲基甲酰胺)=10:1的混合溶剂,120 ℃反应20 h。 反应结束后真空除去溶剂,用柱层析提纯, V(二氯甲烷): V(石油醚)=1:2为淋洗剂。 产物为红色固体,产率77%。1H NMR(400 MHz,CDCl3,TMS), δ:7.78(s,2H),7.17(d, J=5.4 Hz,2H),6.86(d, J=5.5 Hz,2H),4.26(d, J=7.1 Hz,2H),4.17(t, J=6.4 Hz,4H),1.94(m,4H),1.56(m,5H),1.47~1.13(m,48),0.85(m,12H)。
化合物6:取化合物5(779 mg,0.83 mmol)溶于40 mL的 V(氯仿): V(乙酸)=4:1混合溶液,然后加入295 mg的NBS,室温搅拌反应12 h。 将反应体系倾入水中,用氯仿萃取3次,收集氯仿相,用无水硫酸镁干燥后除去溶剂,剩余混合物采用柱层析提纯, V(二氯甲烷): V(石油醚)=1:2为淋洗剂。 产品为红色固体,产率91%。1H NMR(400 MHz,CDCl3,TMS), δ:7.66(s,2H),6.87(s,2H),4.24(d, J=7.0 Hz,2H),4.12(t, J=6.3 Hz,4H),1.87(m,4H),1.52(m,5H),1.45~1.06(m,48H),0.84(t, J=4.4 Hz,12H);13C NMR(100 MHz,CDCl3,TMS), δ:162.04,152.74,135.11,132.62,132.34,126.98,120.29,115.43,111.57,72.46,49.45,
36.48,31.94,31.87,31.82,31.77,30.13,29.80,29.68,29.66,29.61,29.45,29.38,26.53,25.97,22.69,14.11。
聚合物PBTI3T-O:无水无氧条件下,将2,5-双(三甲基锡基)噻吩(81.9 mg,0.2 mmol)、化合物6(218.9 mg,0.2 mmol)和四(三苯基膦)钯(3.4 mg,0.003 mmol)溶于22 mL的 V(甲苯): V( N, N-二甲基甲酰胺)=10:1的混合溶剂中。 反应体系在90 ℃搅拌11.5 h后加入0.3 mL的2-三丁基锡基噻吩封闭聚合物链含溴一端,维持90 ℃搅拌6 h,再加入0.5 mL的2-溴噻吩封闭聚合物链含锡基一端,继续反应6 h完成封端后停止加热。 反应完毕后将混合物沉降到甲醇中,然后过滤。 将产物放入索氏提取器中,分别用甲醇、丙酮、正己烷、二氯甲烷和氯仿为淋洗剂提纯聚合物。 收集氯仿相,浓缩后将聚合物沉降到甲醇中,过滤和干燥得到产品。 聚合物为蓝黑色固体,产率56%。1H NMR(400 MHz,1,2-Dichlorobenzene-d4,100 ℃,TMS), δ:7.79(br,2H),7.0~6.6(br,4H),4.34(br,6H),2.17(br,4H),2.0~1.3(br,53H),1.03(br,12H)。 Mn=1.45×104 Da,多分散性指数(Polymer dispersity index,PDI)=1.81。
采用循环伏安法测试PBTI3T-O的电化学性能,以浓度为0.1 mol/L的四丁基高氯酸铵的乙腈溶液为电解质溶液,采用三电极体系:其中玻碳电极为工作电极,Ag/AgCl电极为参比电极,铂丝电极为辅助电极。 将聚合物PBTI3T-O涂在玻碳电极上进行测试,Fc/Fc+为内标,扫描速度为50 mV/s,能级计算公式为:
式中,
聚合物太阳能电池的器件结构是:氧化铟锡(ITO)/聚(3,4-亚乙二氧基噻吩)-聚(苯乙烯磺酸)(PEDOT:PSS)/Polymer:PC71BM/LiF/Al。 将ITO玻璃依次在洗洁精的水溶液、二次水、异丙醇和丙酮中超声清洗20 min,然后将清洗好的ITO玻片用高纯N2气吹干,放入紫外-臭氧清洗机中处理30 min。 随后使用旋涂仪在清洗后的ITO基底上旋涂一层厚约30 nm 的PEDOT:PSS界面,再将旋涂PEDOT:PSS的ITO玻片在大气环境下置于150 ℃的热台上烘烤15 min,确保薄膜中无水分残留。 将制备好的ITO基底转移到手套箱内,在PEDOT:PSS界面上旋涂事先配制好的PBTI3T-O/PC71BM混合溶液,通过调节旋涂仪的转速控制活性层厚度,聚合物溶液浓度8 g/L。 最后将制备好的活性层玻片放入真空镀膜机中,在小于5×10-4 Pa的高真空环境下依次沉积厚度为0.8 nm的LiF和120 nm的金属铝电极。 利用经过刻蚀的ITO玻璃和电极模板,得到有效面积为0.09 cm2的电池器件。
利用SCLC法测试器件的空穴迁移率,器件结构:ITO/PEDOT:PSS/Polymer:PC71BM/Au(30 nm)/Al(100 nm),其表达式为:
式中, JSCLC为空间电荷限制电流, ε0为真空绝对介电常数(8.85×10-12 F/m), εr为材料的相对介电常数(其值取3), μ为迁移率, V为测试时外加偏压, Vbi为内建电压( Vbi等于电极功函之差,因PEDOT:PSS与Au功函相同,故 Vbi=0), d为薄膜厚度。
如图1 A所示,PBTI3T-O薄膜的最大吸收峰出现在波长666 nm处,聚合物溶液和薄膜具有相似的吸收特征,说明聚合物在溶液中已经形成有序的 π-π堆砌,具有较高的结晶度。 由公式:
式中, λonset为吸收起始波长。 计算得到聚合物的光学带隙为1.73 eV。图1 B为聚合物的循环伏安曲线,测试PBTI3T-O的氧化电势为
首先,在 m(聚合物): m(PC71BM)=1:1,氯苯为溶剂,溶液浓度为8 g/L的条件下制备了初始器件。 器件的能量转换效率(PCE)为2.94%,其开路电压(Open circuit voltage, Voc)为0.66 V,短路电流( Jsc)为8.49 mA/cm2,填充因子(Fill factor,FF)为52.40%。 改变给受体比例后发现 m(聚合物): m(PC71BM)=1:2时器件效率最高[15]。 其次,研究了不同体积分数的添加剂,1,8-二碘辛烷(DIO),对器件活性层形貌和效率的影响。 根据报道,添加剂能够有效地构建聚合物和PCBM的微相分离结构,形成纳米互传网络结构,为空穴和电子的传输提供电荷通路,降低激子复合概率[16]。 实验结果显示, m(聚合物): m(PC71BM)从1:1到1:3,在DIO的体积分数为1%时,器件的能量转换效率最高。 随着添加剂含量的进一步增加(1.5%),器件效率略微下降(表1)。
| 表1 不同条件下PBTI3T-O:PC71BM器件性能数据 Table 1 Devices characteristics of PBTI3T-O:P71CBM conventional PSCs under various conditions |
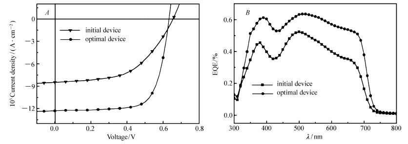
最后,由数据可知,当 m(聚合物): m(PC71BM)=1:2时,DIO体积分数为1%时,器件效率最高为5.56%,其开路电压为0.63 V,短路电流为12.30 mA/cm2,填充因子为71.75,器件效率的提升主要是因为短路电流的提高,这是由于活性层厚度的增加提高了器件对光的利用率。 电池初始和最优器件的 J-V曲线,如图2 A所示。图2 B是初始和最优器件的外量子效率(External quantum efficiency,EQE)曲线,其中最优的器件的EQE曲线在整个光电转化范围内均高于初始器件的EQE曲线,其最高值超过60%。 通过EQE曲线获得的最优器件的电流密度值为12.06 mA/cm2,与 J-V曲线测得的短路电流误差在2%以内,说明测试结果准确、可靠。
活性层微观结构对聚合物太阳能电池器件性能有至关重要的影响,使用透射电子显微镜观察活性层形貌在器件优化过程中的变化情况。 如图3 A所示,初始器件的活性层薄膜出现100~200 nm尺度的相分离。 由于PC71BM相对于共轭聚合物具有较大的电子密度,因此深颜色为PC71BM的聚集体,而浅颜色为共轭聚合物的聚集体。 较大的相分离,减小了给/受体的界面面积,限制了激子的有效解离,增加了激子复合的概率,因此器件具有较低的 Jsc和FF,导致初始器件的效率仅有2.94%[15]。 加入DIO后,器件形貌变化明显,大尺度的相分离消失,聚合物和PC71BM形成有效的纳米互穿网络结构,增加了两相界面,实现了激子的有效分离和电荷的高效传输。 因此,器件的FF和PCE明显提高。图3C是 m(聚合物): m(PC71BM)=1:2时,器件活性层加入DIO前后的XRD衍射曲线。 可见,加入DIO后,XRD衍射峰强度降低,但衍射峰位置没有变化。
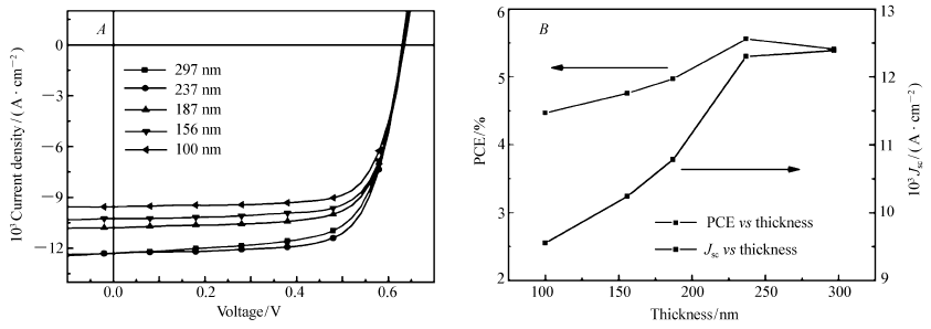
为了进一步研究电池器件能否满足大面积加工工艺的需求,制备了一系列具有不同活性层厚度的器件,图4 A是不同活性层厚度的 J-V曲线。 如图4 B所示,随着膜厚的增加, Jsc逐渐增大,这主要是因为较厚的活性层可以吸收更多的光子转化为短路电流;然而膜厚的增加会增大电荷的传输距离,提高电荷的复合概率,最终导致器件的FF逐渐降低。 本工作中器件的FF随膜厚的增加缓慢下降,电流的增加能够补偿填充因子的降低所带来的对器件效率的影响,因此在活性层厚度100~237 nm,器件效率逐渐上升,虽然当膜厚为297 nm时,器件效率已经下滑,但器件的FF仍接近70%,说明PBTI3T-O/PC71BM共混膜中电荷复合并不严重,活性层具有较好的电荷传输特性。 由表2可知,器件效率在200~300 nm范围内器件效率随着膜厚的变化较小,满足大面积加工工艺的基本需求。虽然现在基于PBTI3T-O的器件效率仍然相对较低,但是随着器件效率的进一步优化,PBTI3T-O具有应用于大面积生产的潜在价值。
| 图4 不同活性层厚度的PBTI3T-O电池器件电流密度-电压曲线( A);能量转换效率和短路电流与活性层厚度变化关系曲线( B)Fig.4 J-V curves of PBTI3T-O devices with different active layer thickness( A); the variations of film thickness with PCE and Jsc( B) |
| 表2 基于不同活性层厚度的PBTI3T-O:PC71BM器件表征数据 Table 2 Devices characteristics of PBTI3T-O:PC71BM with different active layer thickness |
为了研究聚合物和共混膜的电荷传输性质,采用SCLC法测试纯聚合物和聚合物/PC71BM复合薄膜加入DIO前后的空穴迁移率。 台阶仪测试纯膜厚度为55 nm,未加入DIO的共混膜厚度为94 nm,加入DIO的共混膜厚度为196 nm。 根据暗态下的电流与电压曲线(图5 A)和拟合曲线斜率(图5 B),结合SCLC式(2)计算得到纯聚合物空穴迁移率 μh=1.24×10-4 cm2/(V·s),未加入DIO的聚合物/PC71BM复合薄膜空穴迁移率 μh=2.67×10-4 cm2/(V·s),经DIO优化的聚合物/PC71BM复合薄膜空穴迁移率 μh=5.90×10-3 cm2/(V·s)。 聚合物太阳能电池中,大部分器件的最优膜厚约为100 nm,器件的空穴迁移率介于10-5~10-4 cm2/(V·s)量级范围,而PBTI3T-O复合薄膜的迁移率具有较高的空穴迁移率,因此,当活性层厚度超过200 nm以上时,基于PBTI3T-O的电池器件仍然能保持较高的能量转换效率。
设计合成出一种新的D-A型共轭聚合物PBTI3T-O。 经过优化添加剂含量、给受体比例,基于PBTI3T-O的器件效率能够达到5.56%。该聚合物较高的空穴迁移率( μh=5.90×10-3 cm2/(V·s)),能够实现电荷的高效传输,即使在较高的膜厚条件下仍然能够保证较高的FF。 因此,当器件的活性层的厚度增加到297 nm时,器件效率仍然能够保持5.4%以上(初始器件效率的97%),表现出其在大面积加工工艺过程中潜在的应用价值。
| [1] |
|
| [2] |
|
| [3] |
|
| [4] |
|
| [5] |
|
| [6] |
|
| [7] |
|
| [8] |
|
| [9] |
|
| [10] |
|
| [11] |
|
| [12] |
|
| [13] |
|
| [14] |
|
| [15] |
|
| [16] |
|
| [17] |
|

