3-硝基胍-6-(3,5-二甲基吡唑)-1,2,4,5-四嗪的晶体结构及热行为
李帅磊
a
, 胡拥鹏
a
, 胡荣祖
b
, 马海霞
a,
*
Crystal Structure and Thermal Behavior of 3-Nitroguanyl-6-(3,5-dimethylpyrazol-1yl)-1,2,4,5-tetrazine
LI Shuailei
a
, HU Yongpeng
a
, HU Rongzu
b
, MA Haixia
a
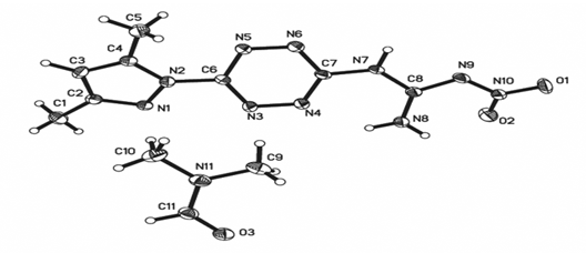
NDT的晶体结构图