研究2-(5-溴-2吡啶偶氮)-5-二乙氨基酚(5-Br-PADAP)试剂显现镀锌工具遗留印迹的方法。 考察接触时间、时间间隔、试剂浓度、是否洗手等因素对印迹强度及分辨率的影响,并对该方法的可靠性进行验证。 实验结果表明,试剂浓度1 g/L、接触时间10 s以上,间隔时间不超过4 h条件下,均能显出较好的印迹。 该方法可以灵敏地显现镀锌工具遗留印迹,对非铁金属工具遗留印迹检测进行了很好地补充。
The detection of imprint left by zinc coatings on human skins was studied. The affecting factors such as contact time, time elapse from the contact to the reaction, concentration of 2-(5-bromo-2-pyridylazo)-5-(diethylamino)phenol(5-Br-PADAP) reagent and washing on the intensity and resolution of imprints were studied and the reliability of this method was verified. As shown in experimental results, good imprints can be obtained with a concentration of 1 g/L of 5-Br-PADAP, contact time of 10 s, time elapse of less than 4 h. This method can develop imprints left by zinc coatings sensitively as a good supplement for the detection of imprints left by nonferrous metal tools.
在涉及枪支、管制刀具等金属工具的刑事案件中,调查取证的重点往往集中在对金属工具上DNA、指纹以及射击残留物的收集、保存、鉴定上,却很少关注与金属客体相接触部位表面皮肤上的微量金属遗留物。 根据埃蒙德·洛卡德交换原理[1],作案人和金属客体发生接触后,会在接触部位遗留微量的金属。 利用特定显色试剂与这些微量金属反应生成的有色络合物,可以反映出工具的外形轮廓和细节特征,从而可以证明金属工具与作案人关联性,此种方法称为微量金属检测实验(Trace Metal Detection Test)[2]。 其中,铁质工具是其主要的研究对象。 显现铁质工具通常应用亚铁灵类试剂,包括3-(2-吡啶)-5,6-二苯基-1,2,4-三嗪(简称“PDT”)[3]及其同系物[4],2,4,6-三(2-吡啶基)-1,3,5三嗪(简称“TPTZ”)[5],这些试剂与Fe2+发生特异性络合反应生成有色配合物,从而反映出铁质工具的外形轮廓及细节特征。
但在实际案件中,除最常见的铁质工具外,镀锌工具等非铁质工具在案件中的使用频率也非常之高。 2010年,Olejniczak等[6]在水溶液环境以及模拟生理环境中,用PDT以及其它4种新合成的显色剂对Zn2+进行了显现。 其中,可见光谱实验结果表明,这些络合物的最大吸收波长均在400 nm左右,仅有微弱的黄色出现。 同样地,在经模拟汗液浸泡过纱布上也只有微弱的黄色印迹出现,不能用于镀锌工具遗留印迹的显现。 因此,寻找一种可以与皮肤表面形成较大反差、灵敏度高、价格低的镀锌工具遗留印迹显色试剂成为了一个亟待解决的问题。
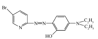
本文采用2-(5-溴-2吡啶偶氮)-5-二乙氨基酚(简称“5-Br-PADAP”,如图1所示)作为镀锌工具遗留印迹的显色剂。 它是一种优良的分析试剂,已广泛用于光度分析、色谱分析以及电化学分析[7]。 在水溶液中,Zn2+与5-Br-PADAP会发生配合反应,生成配合比为1:2的品红色配合物,如图2所示。 在5-Br-PADAP中,N=N是生色团,强吸电子基-Br与强斥电子基—N(C2H5)2为2个助色团,助色团上的孤对电子也参与了整个分子的配合,使外层电子的流动性增大,从而使反应的灵敏度增加。 其中,—N(C2H5)2对配合物的配合以及稳定性起到了非常重要的作用[8]。 本文通过考察接触时间、时间间隔、试剂浓度、是否洗手等影响因素,初步建立5-Br-PADAP溶液显现镀锌工具遗留印迹的方法。 此外,通过考察显出率对其可靠性进行了统计学验证。
5-Br-PADAP(98%,阿拉丁试剂公司)、无水乙醇、去离子水等均为分析纯试剂。
镀锌管;镀锌零件(北京鑫旺达钢材公司);Nikon D7000数码照相机(尼康公司);AF-S DX Nikkor 18-135mm镜头(尼康公司);白光灯(40 W,飞利浦公司);按压型试剂瓶;Adobe Photoshop CS5图像处理软件。
志愿者手握镀锌工具,达到预定时间间隔后,在接触部位喷洒试剂,喷洒距离控制在距手掌面大约15 cm,按压喷瓶3次,间隔2 min后拍照固定实验结果。 其中,为了保持拍照条件的一致性,用于 a值测定的印迹均是在实验室条件进行,即在暗室中,将两只白光灯的灯光对准手掌面,色温手动设置为7690 K。 而未用于 a值测定的印迹均是在每天同一时间段、同一地点,自然光条件下拍照固定。 两种拍照方法固定的实验结果存在一定的差异。
本实验采用Lab色彩模式中的 a值来评价镀锌工具遗留印迹的强度。 操作步骤如下:在Photoshop中打开待测图片后,在界面右侧的信息栏中用右键单击取样管图标,选择Lab颜色,将“+”箭头置于显出印迹区域,均匀选取5个点,在信息栏中读出相应 a值并求平均值。
1.4.1 接触时间的影响 5名志愿者分别手握镀锌管10、30、60、180和300 s,然后移除镀锌管并立即向接触部位喷洒1 g/L的5-Br-PADAP溶液,2 min后在实验室条件下拍照固定实验结果。
1.4.2 时间间隔的影响 5名志愿者握手镀锌零件3 min,然后移除镀锌零件,在间隔0、1、4、7 h后分别向接触部位喷洒1 g/L的5-Br-PADAP溶液,2 min后在自然光下拍照固定实验结果。 在预定间隔时间内,志愿者除了不能洗手以及再接触其它金属客体外,可以进行任何日常活动。
1.4.3 试剂浓度的影响 分别配制0.5、1.0、1.5、2.0 g/L的5-Br-PADAP溶液。 5名志愿者手握镀锌管1 min,然后移除镀锌管并立即向接触部位喷洒不同浓度的5-Br-PADAP溶液,2 min后在实验室条件下拍照固定实验结果。
1.4.4 洗手的影响 5名志愿者手握镀锌零件3 min,然后将其移除,分别在间隔0、1、4 h后用去离子水以及香皂对接触部位进行清洗,自然蒸干后,向接触部位喷洒1 g/L的5-Br-PADAP溶液,2 min后在自然光下拍照固定实验结果。
1.4.5 显出率的考察 28名志愿者,其中男性20名,女性8名,手握镀锌零件3 min,然后移除镀锌零件,并立即向接触部位喷洒1 g/L的5-Br-PADAP溶液,2 min后在自然光条件下拍照固定显现结果,根据所得到有关印迹强度和分辨率(细节特征的清晰度)的结果计算出两种显色剂的显出率。
虽然接触时间等影响因素在铁质客体显现方法中已经进行了系统地研究[9],但是由于锌离子与铁离子在核外电子排布、配位能力等方面存在差异,尤其是在皮肤表面这样复杂的客体上进行显色反应差异可能更为明显。 因此,有必要去验证它们之间是否遵循相同的规律。
本实验设置了10~300 s的系列接触时间。 由图3可知,当接触时间仅为10 s时,就可以清晰地显出镀锌工具的遗留印迹。图4为显现强度随接触时间增加的变化情况,在10 s到60 s之间, a值不断增大,即印迹的强度增强,但增强的速度较为平缓。 在60~180 s之间,印迹强度急剧增加。 但是在180~300 s之间,增长的幅度变缓,印迹强度差别减小,即将达到饱和的状态。镀锌工具遗留印迹系列接触时间变化规律与铁质客体遗留印迹相同。
时间间隔是指在接触镀锌工具后到喷洒显色剂前所经历的一段时间。在这段时间内,志愿者可以进行除洗手以及接触其它金属客体外任何日常活动。图5为不同时间间隔的显现效果图。 从图5可以看出,随着时间间隔的增大,显现强度逐渐降低。 7 h后镀锌工具的外形仍可见,但具体的细节特征已非常微弱,很难辨认。 虽然以上变化规律与铁质工具遗留印迹相同,但是由于5-Br-PADAP显现镀锌工具遗留印迹的颜色为品红色,在减弱后与皮肤表面颜色相近,故其最大显出时限应小于TPTZ试剂显现铁质客体遗留印迹的最大显出时限[5]。
| 图5 不同时间间隔镀锌工具遗留印迹显现效果Fig.5 Effect of time elapse from the contact to the reaction on the results A.0 h; B.1 h; C.4 h; D.7 h |
与在水溶液环境不同,在手面皮肤这样复杂的生物基质中,显色反应机理非常复杂,Zn2+与5-Br-PADAP络合反应可能只是众多络合反应中的一部分。 手面皮肤表层最基本的蛋白质是角蛋白。 角蛋白分子由19个 α-氨基酸按不同顺序排列而成,含有较多的二硫键、氢键以及疏水性氨基酸,尤其含有较多的胱氨酸残基[10]。 当锌元素以Zn2+形式转移到手面皮肤后,除了以游离的Zn2+形式存在于汗液以外,Zn2+可能会与皮肤表面的角蛋白进行配合,形成Zn2+-角蛋白配合物。 其中,Zn2+与角蛋白中N端、C端游离的—NH2、—COO-、肽链中氨基酸残基侧链上的基团(—NH2、—COO-、—HS-等)有较强配合能力。 同时,氨基酸残基上羰基C=O、肽键上酰胺基以及水分子中的氧也可能参与配合反应,但配合的强度较弱[11]。 与此对应,在接触后未洗手的情况下,当向手面皮肤上喷洒5-Br-PADAP试剂后,5-Br-PADAP一方面会像在水溶液中一样与游离态的Zn2+配合形成1:2品红色配合物,在手面皮肤上显现出强烈的品红色印迹。 另一方面,5-Br-PADAP与Zn2+具有特异的、较强的配合作用,可以竞争性地从角蛋白夺取Zn2+而显色[12]。
随着间隔时间增大,蛋白质可能与更多的Zn2+进行配合,并且生成更加稳定的配合物。 因此,游离的Zn2+以及可从角蛋白上夺取的Zn2+数量减少,从而导致印迹强度降低。 此外,部分Zn2+随金属转运蛋白穿过表层皮肤进入真皮[13]以及部分与蛋白质结合的Zn2+通过自然脱落的方式损失[14],也会导致印迹强度下降,这就解释了随着间隔时间的增大印迹强度下降的原因。
从图6可以看出,接触时间1 min,浓度为0.5 g/L就可以显现出清晰的印迹。 随着5-Br-PADAP浓度的增大, a值不断上升,即5-Br-PADAP溶液显现印迹的强度不断增强,但在1.5 g/L后, a值的增加幅度变缓,印迹的强度相差不大。 因此,本着节省试剂的原则,1 g/L的5-Br-PADAP溶液用于喷洒显现即可。
Almog等[15]曾对握过铁质工具的手掌面进行过洗手实验,结果表明,接触铁质客体后,若立即用水和香皂洗手,将不会观察到任何有色印迹。 但对于镀锌工具遗留印迹而言,接触后立即洗手,只是在强度上比未洗手的印迹有所减弱,但仍能看清晰地看到镀锌零件的外形轮廓和细节特征,如图7 A和7 B所示。 随着洗手间隔时间的增大,印迹的强度越来越弱,如图7 C和7 D所示。 以上实验结果与时间间隔影响因素的实验结果相似,说明洗手对镀锌工具遗留印迹的影响要小于铁质客体遗留印迹。 此外,通过与图5中间隔1 h(图5 B)和4 h(图5 C)比较可知,洗手使印迹的强度以及分辨率均有一定程度的下降,但是仍然能够显现出微弱的印迹。 因此,若作案人在作案后进行洗手,也无法彻底除去与镀锌工具接触留下的印迹。
| 图7 各个间隔时间洗手前后效果对比图Fig.7 Imprints with different intervals after washing A.0 h interval without washing; B.0 h interval with washing; C.1 h interval with washing; D.4 h interval with washing |
发生上述现象可能的原因是:洗手可能将游离态的Zn2+除去,但是并不能将与角蛋白结合的Zn2+完全除去。 若接触后立即进行洗手,仍有部分与角蛋白结合的Zn2+存在于皮肤表面,在喷洒后仍能显出较强的印迹,但由于大量游离态Zn2+被除去,印迹的强度与未洗手相比有一定程度的减弱。 若间隔一定时间后进行洗手,游离态的Zn2+被除去,可从角蛋白上夺取的Zn2+减少,再加上金属蛋白转运以及自然脱落的影响,遗留印迹的强度下降。
由于每个人的手掌面湿度、汗液组成等有所差异,因此,显现效果也有所不同[12]。 为了验证该方法的可靠性与可重现性,共对28名志愿者进行了测试。 其中,“显出”的标准是 a值在30以上,且细节特征清晰可见。 显出率的算法为认定“显出”的人数除以总人数。 通过统计数据计算得出5-Br-PADAP显现镀锌工具遗留印迹的总显出率为85.7%,其中女性显出率为87.5%,高于男性的显出率85%,这可能是由于男性与女性之间皮肤类型差异,或者仅仅是样本数过少造成的,还需要做相关实验进一步验证。
与铁离子相比,除显现锌离子所需的接触时间更短,洗手对其影响更小外,其余的均遵循相同的规律。 实验结果表明,试剂浓度1 g/L、接触时间10 s以上,间隔时间不超过4 h条件下,均能显出较强印迹。 该方法可以灵敏地显现镀锌工具遗留印迹,对非铁金属工具遗留印迹检测是很好的补充。
此外,角蛋白对于游离态的Zn2+来说是良好的络合剂,它们形成Zn2+-角蛋白二元配合物。 在喷洒显色剂后,5-Br-PADAP既可与游离态的Zn2+络合显色,又可以竞争性地从角蛋白夺取Zn2+而显色。 但随着时间的延长,更多的Zn2+与手面皮肤上角蛋白结合,并且形成更加稳定的配合物。 因此,游离态的Zn2+以及可夺取的Zn2+减少,从而导致印迹强度降低。 但在实验过程中发现,向接触部位喷洒些水或者用水蒸气进行熏蒸,可以增加印迹的强度,相关研究及解释将在接下来进行。
| [1] |
|
| [2] |
|
| [3] |
|
| [4] |
|
| [5] |
|
| [6] |
|
| [7] |
|
| [8] |
|
| [9] |
|
| [10] |
|
| [11] |
|
| [12] |
|
| [13] |
|
| [14] |
|
| [15] |
|

