以甲苯-2,4-二氨基甲酸甲酯(2,4-TDC)为分子探针模型,构建了一种新的评价金红石二氧化钛颜料紫外屏蔽性能的反应体系,系统地考察了反应条件对分子探针光降解的影响,并对一系列二氧化钛颜料紫外屏蔽性能进行了对比研究。结果表明,金红石二氧化钛作用下,2,4-TDC光降解过程符合一级反应动力学;随着二氧化钛颜料用量的增加,2,4-TDC光降解速率常数呈现指数次下降趋势;紫外光照下表面包覆的金红石二氧化钛颜料不能完全抑制·OH和h+活性物种的产生。根据2,4-TDC的光降解速率常数,能体现一系列工业金红石二氧化钛颜料紫外屏蔽性能差异。该方法具有条件温和、操作简便、实验周期短、结果重现性好等优点,将在二氧化钛颜料的紫外屏蔽性能测试中具有潜在的应用价值。
Dimethyl toluene-2,4-dicarbamate(2,4-TDC) was selected as a model molecule to investigate the UV-shielding properties of TiO2 pigments. The results show that the degradation of 2,4-TDC follows the first-order kinetics at different volume ratios of tetrahydrofuran to n-hexane. The decrease of the degradation kinetics constant of 2,4-TDC shows an exponential power tendency with the increase of the amount of TiO2. Moreover, it is found that the reactive species such as ·OH and holes still play a minor role on the photodegradation of 2,4-TDC in presence of TiO2 pigments. Based on the degradation kinetics constant of 2,4-TDC, the UV-shielding properties of different TiO2 pigments can be directly evaluated within four hours. This study might have potential applications in industrial production and practical use for evaluating the UV-shielding properties of TiO2 particles as it has advantages like mild reaction conditions, simple operation and excellent reproducibility.
二氧化钛因具有优异的白度,遮盖力和紫外屏蔽能力,作为白色颜料被广泛用于涂料、塑料和橡胶等高分子材料制品中[1,2]。但是,二氧化钛在光照下表现出的光催化性能可引起有机聚合物材料的降解和氧化失色[3,4,5],导致材料结构改变及性能降低,缩短使用寿命。为此,二氧化钛颜料通常经无机和有机包覆处理,以抑制其光催化活性[6],但鉴别其工业品在抑制高分子材料光化学降解性能的差异却一直是生产和应用中的难题之一。自然暴露试验或人工加速老化试验是基于固体涂膜的光泽、色差、失重和表面状况等物理变化对二氧化钛颜料性能做出评估[7,8,9,10],其耗时周期长(数百甚至上千小时)、效率低、成本高、并易受到光、热和大气湿度等多因素干扰,在二氧化钛颜料紫外屏蔽性能表征中仍有较大的局限性。近年来,在以水为介质的二氧化钛颜料悬浮体系中,根据探针分子如罗丹明B[11]和过氧化氢[12]的光解情况也可比较二氧化钛颜料光稳定性的强弱,并且利用电子顺磁共振[13]和光电导性[14]等技术也可得到二氧化钛颜料光活性的参比数据。然而这些体系与二氧化钛颜料在高分子材料中所在的介质环境相差甚远,其对二氧化钛颜料在材料中的性能可能做出不可靠的评估,并且在有机液相中探讨二氧化钛颜料紫外屏蔽性能鲜有报道。
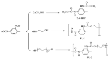
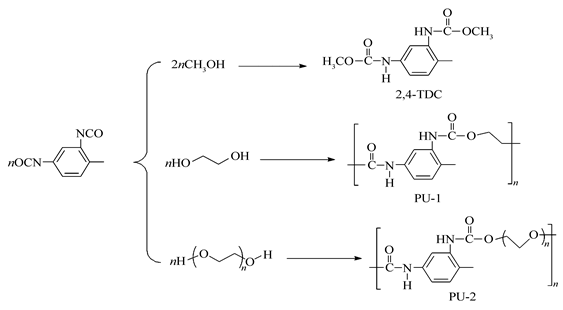
芳香聚氨酯(PU)是含有—NHCOO—与芳环共轭结构单元的高分子化合物,由于附着力强、耐磨性好和耐化学品等卓越性能而得到广泛应用。紫外光下聚氨酯中芳环及氨基甲酸酯官能团易氧化或断键,被认为是导致聚氨酯材料降解和变色的重要原因[15]。甲苯-2,4-二氨基甲酸甲酯(2,4-TDC)可以由典型芳香聚氨酯材料的单体甲苯-2,4-二异氰酸酯与甲醇反应而成,接近芳香聚氨酯材料结构单元和化学本质,应能反映聚氨酯材料的光化学性能。据此,本文提出以方便易得的2,4-TDC为分子探针,通过考察其紫外光作用下的降解动力学规律,探讨构建金红石二氧化钛颜料紫外屏蔽性能的反应评价体系,着重考察了反应条件对2,4-TDC光降解的影响和二氧化钛颜料激发产生的典型活性物种在降解过程中的作用,在此基础上评价了一系列商品二氧化钛颜料的紫外屏蔽性能。
XPA型光化学反应仪(南京胥江机电厂);Agilent 1200型高效液相色谱仪(美国Agilent公司);UV-1102II型紫外可见分光光度计(上海天美科学仪器有限公司)。
甲苯-2,4-二异氰酸酯(>99%,Aladdin公司);甲醇和四氢呋喃(色谱纯,Sigma公司);其余试剂均为分析纯,购置于国药集团化学试剂有限公司;实验室用水由密理博Milli-Q纯水系统制备;实验主要的二氧化钛颜料为氯化法金红石TRONOX®CR-826(TiO2含量93%,硅铝包覆处理),记作PP。紫外屏蔽性能对比研究中各二氧化钛颜料均来自某涂料公司国内外不同商家的通用型颜料,其中氯化法工艺生产的金红石二氧化钛颜料(标记为PA-PD),硫酸法工艺生产的金红石二氧化钛颜料(标记为PE-PI)。
向装有甲醇2.40 g(0.075 mol)和20 mL无水石油醚的三口烧瓶中缓慢滴加甲苯-2,4-二异氰酸酯6.44 g(0.037 mol),于40 ℃反应3 h后,过滤得粗产品,用95%的乙醇重结晶3次,真空干燥,得白色粉末状产品。经谱学表征证实与2,4-TDC结构相符,经液相色谱分析其纯度达到99.5%。
芳香聚氨酯合成(见Scheme 1):以 N, N-二甲基甲酰胺为溶剂,异氰酸酯和乙二醇的投料摩尔比为1∶1,向装有甲苯-2,4-二异氰酸酯5.22 g(0.030 mol)的三口烧瓶中缓慢滴加乙二醇,于70 ℃反应6 h后,除去溶剂,真空干燥,得聚氨酯(PU-1)。用聚乙二醇(PEG 400)代替乙二醇,类似地得聚氨酯(PU-2)。
采用正己烷-四氢呋喃混合溶剂模拟二氧化钛颜料在涂膜中的有机介质。紫外屏蔽性能测试在暗箱中进行,采用外置式光照。紫外灯(300 W, λmax=365 nm)置于石英管光反应管一侧,间距为20 cm。在石英管中(总体积约80 mL)先后加入35 mL浓度为1.0×10-3 mol/L的2,4-TDC有机溶液(四氢呋喃-正己烷混合溶剂) 和一定量的二氧化钛粉末,超声分散5 min后,置于暗室磁力搅拌30 min。然后开启紫外灯进行光反应,定时取反应液2 mL离心后取上清液分析。初始时和不同时刻取样2,4-TDC的浓度分别计为 c0和 ct。采用高效液相色谱分析2,4-TDC浓度,Venusil XBP C18色谱柱(4.6 mm×250 mm,5 μm),柱温25 ℃,检测器波长为232 nm,流动相为40%甲醇和60%水,流速为0.8 mL/min,进样量为10 μL,外标法定量。
为了确证2,4-TDC与芳香聚氨酯材料在光吸收上的一致性,测定了2,4-TDC、PU-1和PU-2在四氢呋喃溶液中的紫外吸收光谱(图1)。从图1可以看出,三者在245 nm附近均有最大吸收峰,具有一致的光谱吸收特征,这归因于它们具有相同的共轭结构单元。因此用小分子2,4-TDC作探针能恰当反映高分子聚氨酯材料的光化学性能,以其光降解过程的表征将更便利地认识聚氨酯的降解规律。
固定2,4-TDC初始浓度为1.0×10-3 mol/L,在不同正己烷-四氢呋喃比例的有机溶液中,加入35 mg二氧化钛颜料,紫外光照下2,4-TDC浓度随光照时间的变化曲线如图2所示。从图2可以看出,随着四氢呋喃比例的增加,2,4-TDC光降解程度相应增加。当四氢呋喃比例达到20%时,2,4-TDC光降解程度最大,4 h后降解率达到48.1%。然而继续增加四氢呋喃比例,2,4-TDC的光降解程度反而随之下降。采用一级动力学模型对2,4-TDC光降解过程进行拟合,如式(1)所示:
利用-ln ( ct/c0)对光照时间作图,结果如图2 B所示。-ln ( ct/c0)与光照时间均呈线性关系( R2>0.99),表明2,4-TDC的光降解过程均能较好地遵循一级反应动力学规律,并由斜率可方便地得到表观速率常数 kapp。四氢呋喃含量为20%时,2,4-TDC的降解速率常数最大, kapp为0.1797 h-1。为高效地对二氧化钛颜料的紫外屏蔽性能进行评价,四氢呋喃含量为20%时为最佳溶剂体系。
在浓度为1.0×10-3 mol/L的2,4-TDC有机溶液(四氢呋喃含量为20%)中,加入不同量的二氧化钛颜料,紫外光照下2,4-TDC光降解速率常数的变化曲线如图3所示。从图3可以看出,未加二氧化钛颜料的情况下,2,4-TDC光降解速率常数最大, kapp达到0.2777 h-1。2,4-TDC在紫外光照下持续转化,与聚氨酯材料在紫外光下易降解的特征相符。基于我们对2,4-TDC光降解过程的中间产物鉴定分析[16], 发现的2,4-TDC光降解的机制中可能包括侧链上C—N和C—O的断裂及苯环的氧化等降解途径,与已有报道芳香聚氨酯光降解产物一致。加入二氧化钛颜料后,2,4-TDC光降解速率大大降低,表明二氧化钛颜料具有显著的紫外屏蔽作用,这归结于:1)金红石二氧化钛颜料对紫外光的吸收作用( λ<400 nm),散射作用( λ>400 nm)和反射作用,减缓了有机物的光降解速率。2)该二氧化钛颜料并不是典型的光催化剂,其经过无机和有机包覆处理后,掩盖了表面的光活性位点,减少了活性位点与有机底物接触,光化学活性较低。
由图3数据得2,4-TDC光降解速率常数 kapp与二氧化钛颜料用量 ρ(g/L)之间的拟合曲线:
2,4-TDC光降解速率常数随二氧化钛颜料用量的增加呈现指数次幂下降趋势。体系中二氧化钛颜料用量的增加,紫外光的屏蔽效应也相应增强,2,4-TDC光降解速率降低。若二氧化钛颜料过量,体系中过量的粒子因相互碰撞团聚程度加剧,颗粒由小变大,导致体系中粒子分散程度显著降低,紫外屏蔽效应会减弱。
| 图3 TiO2颜料用量对2,4-TDC降解的影响Fig.3 Influence of titanium dioxide dosage on the photodegradation of 2,4-TDC |
尽管二氧化钛颜料经包覆处理,但仍有颗粒存在裸露的TiO2表面,其在紫外光照射下表现出的光催化活性不可忽视[11,17],因此探究二氧化钛颜料产生的光生空穴(h+)和羟基自由基(·OH)等活性物种对2,4-TDC光解的贡献具有重要意义。在反应体系中加入异丙醇和甲醇分别淬灭由二氧化钛颜料激发产生的·OH[18]及体系中的h+/·OH[19,20]做了对比研究,在浓度为1.0×10-3 mol/L的2,4-TDC有机溶液(四氢呋喃含量为20%)中,加入35 mg二氧化钛颜料,紫外光照下2,4-TDC浓度随光照时间的变化曲线如图4所示。从图4可以看出,加入甲醇和异丙醇后均对2,4-TDC的光催化降解表现出明显的抑制作用。表1给出了加入异丙醇和甲醇后2,4-TDC的降解速率常数分别为0.1441和0.1020 h-1。甲醇对2,4-TDC光降解的抑制幅度明显大于异丙醇,这是因为甲醇对h+及·OH等活性物种具有很强的淬灭作用。上述结果表明,二氧化钛颜料表面包覆后并不能完全抑制·OH和h+等活性物种的产生。二氧化钛颜料激发产生的活性物种与接触的有机材料发生氧化、断键等一系列光化学反应,会导致有机物降解。然而二氧化钛颜料能够吸收和散射部分紫外光,从而减弱因紫外光直接照射导致的降解,以达到保护有机底物的目的。因此利用2,4-TDC的光降解反应,可反映有机物在紫外光照下降解程度,同时可间接地评价二氧化钛颜料紫外屏蔽特性。
| 表1 不同活性物种对2,4-TDC光降解的影响 Table 1 Influence of different reactive species on the photodegradation of 2,4-TDC |
在浓度为1.0×10-3 mol/L的2,4-TDC有机溶液(四氢呋喃含量为20%)中,加入35 mg不同的二氧化钛颜料,在300 W紫外光照射下光降解4 h,光降解速率常数见表2。从表2可以看出,在二氧化钛颜料PA作用下2,4-TDC的光降解速率常数最小, kapp为0.1208 h-1。二氧化钛颜料PI作用下2,4-TDC的光降解速率常数最大,达到颜料PA的2倍。而在所考察的工业二氧化钛颜料中,氯化法工艺生产的颜料(PA-PD)紫外屏蔽性能普遍优于硫酸法工艺生产的颜料(PE-PI)。这可能与二氧化钛颜料粒子大小,粒径分布,所含的金属杂质及表面后处理操作有关[21],这些因素综合影响光的散射和吸收性质以及对光生电子和空穴的屏蔽作用,造成二氧化钛颜料的紫外屏蔽性能呈现差异。各二氧化钛颜料紫外屏蔽性能差异的原因还正在研究中。
| 表2 不同二氧化钛颜料作用下2,4-TDC光降解动力学常数 Table 2 The photodegradation rate constants of 2,4-TDC over different TiO2 pigments |
基于2,4-TDC光降解反应,发展了一种表征工业金红石二氧化钛颜料紫外屏蔽性能的方法。2,4-TDC光降解过程遵循一级动力学规律,金红石二氧化钛颜料光催化活性低且对紫外光具有良好的屏蔽作用。经4 h紫外光照得到的2,4-TDC降解速率常数,能反映一系列工业二氧化钛颜料的紫外屏蔽性能差异,将有助于促进高性能二氧化钛颜料的研发,这种以聚氨酯结构单元作小分子探针的研究思路,可能为其它复合材料体系中有机聚合物光化学特性及耐候性等方面的分子探针设计和高效考察或表征提供借鉴。
| [1] |
|
| [2] |
|
| [3] |
|
| [4] |
|
| [5] |
|
| [6] |
|
| [7] |
|
| [8] |
|
| [9] |
|
| [10] |
|
| [11] |
|
| [12] |
|
| [13] |
|
| [14] |
|
| [15] |
|
| [16] |
|
| [17] |
|
| [18] |
|
| [19] |
|
| [20] |
|
| [21] |
|

