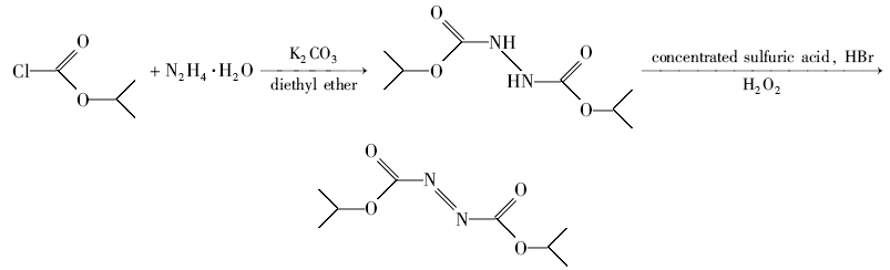
偶氮二甲酸二异丙酯的合成
张秀芹
a,
*
, 晁旭强
a,
b
, 陈强
a,
b
, 孙小强
b
Synthesis of Diisopropyl Azodicarboxylate
Xiuqin ZHANG
a
, Xuqiang CHAO
a,
b
, Qiang CHEN
a,
b
, Xiaoqiang SUN
b
双氧水氧化法合成DIAD