含氟丁烯类液晶是一类新型具有低熔点和较高清亮点的液晶材料。 本文提出了一条新的方法合成关键中间体,采用以3-氟苄氯为起始原料,经Arbuzov、Wittig-Horner、催化氢化、锂化-硼酸化4步反应制备,避免了环己烷的异构化和脱氟副反应。 经过合成优化,总收率由4.5%提高到30%,具备较高的应用价值。 物理性能测试表明,该类化合物在配方中的虚拟清亮点达到127.7 ℃、展区常数 K11值高达19.7。 光电测试表明,该类化合物能够缩短10%的液晶总响应时间,与该类化合物粘弹系数小的特点相吻合。 新型含氟丁烯液晶为开发高性能混合液晶提供了新的单体液晶材料。
3-Butenyl-based liquid crystals are a new series of liquid crystals with low melting point and high clearing point. A new synthetic method for key intermediate aryl boric acid was improved via Arbuzov, Wittig-Horner, catalytic hydrogenation and lithiation-boric acid 4-step reactions by using 3-fluorobenzyl chloride as the starting material. Isomerization of trans-cyclohexane and defluorination side reactions were avoided. After optimization the total yield was improved from 4.5% to 30%, which is valuable for industrial production. Physical properties test indicates that the new compounds have virtual clearing point of 127.7 ℃ and a large splay elastic constant K11 value of 19.7. Transmittance-voltage test shows that the compound can shorten the total response time by 10%, which coincides with its low elastic-viscosity value. The new 3-butenyl-based liquid crystals have potential applications in developing high performance liquid crystal mixtures.
新型含氟丁烯类液晶1a~1c首次由我国陕西师范大学Jiang等[1]报道,并对液晶相变规律作了详细研究。 随后含有侧向多氟取代、具有负介电各向异性的液晶材料也被合成出来[2,3]。 与饱和烷基相比,引入具有π电子的丁烯基后,分子间诱导偶极作用力加强,带来液晶相区加宽、并且还保持较低的熔点和熔融焓的优点,有利于拓展液晶工作温度范围。 尽管这类新的液晶材料有可能对液晶显示器件性能带来积极的影响,但是还存在合成收率低的问题,围绕显示应用的其他物理性能参数还未见报道。 为进一步推动该类新液晶材料在显示器件中的实际应用,我们对其中液晶化合物1a~1c的合成进行了改进,大幅度提高了反应总收率;并将其溶于母体液晶中对物理及光电性能进行了测试,探讨了该类液晶化合物对混合液晶性能参数的影响规律,为其在混合液晶配方中应用提供了基础数据。
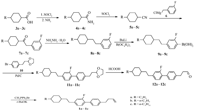
如Scheme 1所示,文献[1]中化合物1a~1c的合成经历了9步反应,总收率仅为4.5%左右。对实验数据分析发现,中间体9a~9c是合成该类化合物的关键,该步仅20%的收率是造成总收率低的主要原因。即使以纯反式构型的烷基环己烷甲酸为原料,反应过程中也会出现环己烷的构型翻转,出现约10%~20%的不需要的顺式异构体;在酮7a~7c经黄鸣龙还原反应制备8a~8c的过程中,在强碱性和高温条件下,出现~10%的脱氟副产物,使得产物8a~8c的有效含量降低。这些异构体和副产物的存在,导致硼酸化反应收率降低,最终产物分离提纯的难度加大。
| Scheme 1 Synthesis of 3-butenyl-based fluorinated liquid crystals in lit.[1] |
针对以上存在的问题,我们对关键中间体9a~9c的合成方法进行了改进,提出了一条新的合成方法,避免了环己烷的顺反异构化且无脱氟副产物的产生。 并对Suzuki偶联等步骤进行了工艺优化,最终产物总收率大幅提高,达到30%左右;产物的色谱纯度也提高到99.8%~99.9%,具备实际应用价值。 中间体9a~9c反应合成路线如Scheme 2所示。
反式-4-乙基环己烷甲醛、反式-4-正丙基环己烷甲醛、反式-4-正戊基环己烷甲醛购自西安彩晶光电科技股份有限公司,其它均为化学纯试剂。 AV500型核磁共振仪(瑞士Bruker公司),溶剂为CDCl3,TMS为内标;GC-14C型气相色谱仪(日本岛津色谱仪器有限公司),DB-1毛细管柱,氢火焰检测器;DSQ型气相色谱质谱联用仪(美国热电公司);WRX-1S型显微热分析仪(上海精密仪器有限公司);IV-cust型液晶参数测试仪(美国Instec公司);NAR-4T型阿贝折光仪(日本ATAGO公司)。 10 μm反平行液晶测试盒、5 μm 90度扭曲TN液晶测试盒购自广东信利半导体有限公司。
以R= n-C3H7的化合物1b为例,典型制备方法如下:
1.2.1 (3-氟苄基)膦酸二乙酯(14)的制备 向1000 mL三口瓶中加入498 g(3 mol)亚磷酸三乙酯及290 g(2 mol)间氟氯苄,搅拌加热至157 ℃,回流反应7 h。 然后蒸去过量的亚磷酸三乙酯,得无色透明液体472 g,收率95.9%,气相色谱分析产物含量为99.7%。1H NMR(CDCl3,500 MHz), δ:1.26(t,6H, J=7 Hz),3.14(d,2H, J=11 Hz),4.00~4.07(m,4H),6.95(t,1H, J=8 Hz),7.03(dd,1H, J=5 Hz),7.08(d,1H, J=4 Hz),7.27(q,1H);MS m/z(RI,%):246(M+,19),190(26),136(27),109(100)。
1.2.2 1-氟-3-[2-(反式-4-正丙基环己基)乙烯基]苯(16b)的制备 N2气保护下,向1000 mL的三口烧瓶中加入185.6 g(0.8 mol)(3-氟苄基)膦酸二乙酯及200 mL四氢呋喃,搅拌下分批加入134.4 g(1.2 mol)叔丁醇钾,加完后于室温反应1 h。 滴加61.6 g(0.4mol)反式-4-正丙基环己基甲醛及100 mL四氢呋喃的混合溶液,滴加完后室温下反应2 h。 反应完毕后,向体系中加入200 mL冰水及200 mL石油醚,搅拌水解20 min 。分层,水层用200 mL石油醚萃取一次,合并有机相,水洗至中性,减压蒸去溶剂,得无色透明液体88.3 g,收率89.7%。 产物为 E式与 Z式混合物,直接用于下步反应。 MS m/z(RI,%):246(M+,77),146(39),122(100),109(42),81(53)。1H NMR(CDCl3,500 MHz), δ:0.89(t, J=7.3 Hz,3H),0.91~1.26(m,7H),1.27~1.37(m,2H),1.75~1.85(m,4H),2.01~2.11(m,1H),5.49(dd, J=8 Hz, J=3.5 Hz, 



同样方法制备出R为乙基的化合物16a,收率91.5%,MS m/z(RI,%):232(M+,82),146(33),122(100),109(35),81(61);1H NMR(CDCl3,500 MHz), δ:0.89(t, J= 7.3 Hz,3H),0.91~1.26(m,5H),1.27~1.37(m,2H),1.75~1.85(m,4H),2.01~2.11(m,1H),5.49(dd, J=8 Hz, J=3.5 Hz, 



R为正戊基的化合物16c,收率88.4%,MS m/z(RI,%):274(M+,65),146(28),122(100),109(44),81(46);1H NMR(CDCl3,500 MHz), δ:0.89(t, J=7.3 Hz,3H),0.91~1.39(m,13H),1.75~1.85(m,4H),2.01~2.11(m,1H),5.49(dd, J=8 Hz, J=3.5 Hz, 



1.2.3 1-氟-3-[2-(反式-4-正丙基环己基)乙基]苯(17b)的制备 上步骤所得的1-氟-3-[2-(反式-4-正丙基环己基)乙烯基]苯73.8 g(0.3 mol),200 mL无水乙醇及2.2 g含量为5%的Pd/C,常温常压下催化加氢反应8 h。 滤去催化剂,滤液减压浓缩至干,得无色透明液体69.3 g,收率93.1%,气相色谱分析其含量为96.5%。 MS m/z(RI,%):248(M+,8),110(100)。
1.2.4 芳基硼酸9b的制备 与文献[1]的方法相同,分离收率为55%。
1.2.5 缩醛11b的制备 N2气保护下,在500 mL反应瓶中依次加入25.7 g(0.10 mol)化合物10、29.2 g(0.10 mol)芳基硼酸9b、乙醇100 mL、甲苯100 mL、水100 mL,41.4 g(0.30 mol)碳酸钾、3.2 g(0.01 mol)四丁基溴化铵、1.16 g(1mmol)Pd(PPh3)4,回流反应8 h。 分出有机层,水层用甲苯500 mL萃取1次,合并有机相旋蒸去除溶剂,用无水乙醇重结晶得到白色晶体36.5 g,收率86%,气相色谱分析其含量为99.5%。 MS m/z(RI,%):424(M+,30),362(56),100(100),73(69)。
1.2.6 醛12b的制备 醛12b由文献[1]相同的方法制得,收率95%,气相色谱分析其含量为99.8%。
1.2.7 目标化合物1b的制备 与文献[1]相同的方法制得1b,收率82%,气相色谱分析其含量为99.9%。1H NMR(CDCl3,500 MHz), δ:0.85~0.96(m,7H),1.13~1.16(m,4H),1.27~1.32(m,2H),1.48~1.53(m,2H),1.72~1.76(m,4H),2.39~2.42(m,2H),2.61~2.66(m,2H),2.72~2.77(m,2H),4.98~5.10(t, J=20.9 Hz, J=14.2 Hz,2H),5.82~5.91(m,1H),6.93~7.01(m,2H),7.23~7.34(m,3H),7.44~7.47(d, J=7.8 Hz,2H);MS m/z(RI,%):378(M+,28),337(100),98(36)。1H NMR与MS数据与文献[1]报道一致。
同样的方法分别合成出化合物1a,总收率32%,气相色谱分析其含量为99.9%;化合物1c,总收率29%,气相色谱分析其含量为99.8%。
文献[1]中采用的方法,即使采用100%纯反式的4-烷基环己烷甲酸为原料,经过多步反应后也会产生大量不需要的顺式异构体,这可能来源于羰基与其烯醇式之间的互变异构(Scheme 3)。
中间体7a~7c羰基与环己烷相连,在酸或碱催化下,易于发生烯醇互变;反应达到平衡后,最终产物是一定比例的顺-反式异构体混合物。 在接下来的黄鸣龙还原过程中,在高温及强碱性条件下,苯环上通常很难以发生反应的氟原子,也易于进行亲核取代[4],这是导致收率降低的原因。
针对以上分子骨架构建过程中的问题,在路线设计方面我们采取了避开酮中间体7a~7c的方案,采用Wittig-Horner反应建立起分子骨架,来解决顺反异构化和脱氟副反应的问题。 实验结果表明环己烷中间体的异构现象也显著减少,合成过程中仅出现微量的环己烷顺式异构产物,气相色谱分析含量≤3%。 虽然反式4-烷基环己烷甲醛在碱性条件下也易于发生环的异构化,但是我们在反应过程中采取滴加醛的方式,生成 
反应得到的具有乙烯基中间体16b,是 E式与 Z式乙烯基异构体的混合物,其中 E和 Z含量比约为80∶20,以 E式为主。 对于不同烷基的反应物,反应产物的 E∶ Z比例基本不变。 反应产物不经分离,直接进行催化氢化, E、 Z式异构体均转化为含有乙撑基的目标中间体17b。 由于反应是在常温常压下进行,反应条件温和,气相色谱分析未发现有脱氟副产物。 采用这种方法,中间体9b以醛计算收率达到44%,较文献[1]收率11.7%(以酸计算)大幅度提高。
在中间体11b的Suzuki偶联反应过程中,采用Pd(PPh3)4作为催化剂,与文献[1]中Pd/C非均相催化剂相比,反应分离收率由62%提升到86%。 我们认为,均相催化剂有利于提高主反应速度,从而抑制副反应。 反应路线优化后,目标化合物总收率达到30%左右,较文献[1]4.5%的总收率有大幅度提高,产物易于提纯,色谱纯度可以达到99.8%~99.9%,可满足液晶显示应用的需要。
为评价新合成出的液晶化合物物理性能,将化合物1b分别与母体混合液晶配方(Host)按照的质量比20∶80加热混合均匀后,测试混合液晶清亮点;用阿贝折光仪在25 ℃,589 nm条件下,分别测试寻常光( no)和非寻常光( ne)的折光率,双折射率Δ n=ne- no;将液晶灌入10 μm反平行测试盒中,测试其介电各向异性值Δ ε(1 kHz,25 ℃)和展区、弯曲弹性常数值( K11、 K33)和旋转粘度( γ1)。 混合液晶母体配方由反式-4-乙基双环己基-3,4-二氟苯、反式-4-丙基双环己基-3,4-二氟苯、反式-4-戊基双环己基-3,4-二氟苯3种液晶化合物按照质量比1∶1∶1配成。
| 表1 目标化合物的物理性能测试 Table 1 Physical properties of compound 1b |
由于单体液晶的物理性能具有近似线性加和规律,因此可以按照式(1)外推得到单体液晶的物理性能参数( X=Tcl,Δ ε,Δ n, K11, K33):
添加新型丁烯液晶的配方较Host清亮点提高3 ℃,外推得虚拟清亮点为127.7 ℃,由此可见该单体有利于拓展液晶温度区间。 分子中仅含有1个侧向取代氟原子,因此极性较小,导致配方Δ ε下降。 配方的Δ n值显著上升,外推得到单体液晶Δ n为0.160,这是由于分子中两个苯环共轭,增加了π电子密度,整体极化率提高所致。
添加液晶后的配方展曲弹性常数( K11)与母体液晶Host相比呈现的增大趋势,增加约18.6%,外推得单体 K11为19.7。 显示中使用的常规液晶化合物的 K11值一般在10左右,因此这类丁烯液晶分子具有非常大的展曲弹性常数。 对于弯曲弹性常数 K33,添加后与Host相比出现下降趋势。 添加液晶后旋转粘度 γ1呈现增大趋势,外推得单体 γ1为221.5 mPa·s。 对于决定液晶响应时间的粘弹比值 γ1/ K11有所下降,这意味能获得快速响应。
将混合液晶分别灌入5 μm 90°扭曲TN测试盒中,25 ℃下测试其阈值电压( Vth)、饱和电压( Vsat)。 施加5 V方波驱动电压测试上升响应时间( ton)和下降响应时间( toff),结果见表2。
| 表2 目标化合物的光电性能测试 Table 2 The transmittence-voltage test of compound 1b |
从表2可以看出,加入化合物1b后阈值电压、饱和电压均呈上升趋势,这与化合物1b介电常数小的特点相一致;TN型液晶显示的上升及下降响应时间近似由式(2)、式(3)决定[5],据此可知上升时间增加1.64 ms,下降时间缩短5.72 ms,总响应时间缩短4.08 ms,响应速度提升约10%。
![]() |
![]() |
为了提高响应速度,通常的做法是尽可能采用低旋转粘度的液晶材料[6],而对液晶分子弹性常数的有效调控却报道较少,直到最近才引起人们的关注[7]。 通过合成出具有大 K11的液晶化合物1b,同样可以有效降低液晶材料的粘弹常数比( γ1/ K11),从而实现缩短响应时间的目的,这给我们设计开发高性能单体液晶和混合液晶提供了新的思路。
通过采用新的方法对关键中间体合成进行改进,并对合成路线进行优化,总收率得到大幅提高,具备实际应用价值。 物理性能测试表明,该类化合物具有清亮点较高、展曲常数 K11值大、粘弹系数小的优点。 光电测试表明,该类化合物能够显著缩短液晶响应时间,与该类化合物粘弹系数小的特点相吻合。 目前中高端液晶材料基本由国外少数几家企业所垄断,由于专利的限制导致我国自主知识产权液晶材料发展缓慢,仍以模仿为主。 新型丁烯液晶材料为我国突破国外专利封锁,开发自主知识产权的混合液晶提供了新的选择。
| [1] |
|
| [2] |
|
| [3] |
|
| [4] |
|
| [5] |
|
| [6] |
|
| [7] |
|



