采用钨酸钠/过氧化氢体系对甲基葡萄糖苷的伯羟基进行选择催化氧化制备葡萄糖醛酸及其内酯,考察了不同催化氧化工艺条件对反应收率的影响,产物用HPLC检测,同时对反应机理进行了初步探讨。 结果表明, 该体系对葡甲苷伯羟基的氧化具有较好的催化活性和反应选择性,葡萄糖醛酸及其内酯总收率可达到74.07%。 与传统的淀粉硝酸氧化法工艺相比,该方法具有资源节约、环境友好的特点。
Sodium tungstate/hydroperoxide was used for the preparation of glucuronic acid and its lactone by selective oxidation of primary hydroxyl group of methyl glucoside. The effects of different catalytic oxidative conditions on the yield were studied. The products were determined by HPLC. A reaction mechanism was proposed. The catalytic system exhibits high activity and good selectivity on the oxidation of primary hydroxyl of methyl glycoside. Combined yield of glucuronic acid and its lactone is up to 74.07%. Compared with the traditional HNO3 oxidation of starch, this process is more environmental-friendly and economical.
作为一种传统的保肝护肝良药,葡醛内酯(俗称肝泰乐)进入体后,在酶的催化下内酯环被打开转变为葡萄糖醛酸。 葡萄糖醛酸分子中同时含有高反应活性的羧基和醛基官能团,能与肝内或肠内含有酚基、羟基、羧基和氨基的代谢产物结合,形成无毒的葡萄糖醛酸结合物随尿排出,故有保肝及解毒作用,用于急慢性肝炎的辅助治疗[1]。 葡醛内酯也是构成人体结缔组织及胶原的组成成分,故可用于关节炎、风湿病等的辅助治疗。 同时,葡醛内酯还被广泛应用于食品、化妆品、减肥药和功能性饮料等领域作为主要添加剂[2]。 现行的葡醛酸及其内酯的工业生产方法主要以淀粉为原料的硝酸氧化法[3],该工艺存在氧化选择性差、产物分离困难、产品收率低、环境污染严重等缺点,因此有必要探索新的合成路线。
前期工作曾使用Pd/La0.5Pb0.5Mn0.9Sn0.1O3、Pd/La0.5Pb0.5MnO3等催化体系对葡甲苷(MGP)选择氧化制备葡醛酸及其内酯进行了研究[2,4],但多使用贵金属为活性组分、钙钛矿或掺杂钙钛矿型复合金属氧化物为氧化助剂[5]和载体,催化剂制备过程复杂,成本高,不易实现工业化生产。 以H2O2为氧源,钒、钼、钨等过渡金属化合物对伯醇羟基的氧化具有良好的催化活性,其中钨酸钠/过氧化氢(Na2WO4/H2O2)体系在一定条件下可以将醇类的伯羟基定量氧化得到相应的醛、酮或羧酸[6,7]。 本工作以葡甲苷为原料,在无卤素、无相转移催化剂、无有机溶剂的碱性条件下,以质量分数为30%的H2O2为氧化剂,采用Na2WO4·2H2O选择催化氧化葡甲苷的伯羟基制备葡萄糖醛酸及其内酯,旨在寻找一种环境友好、简单实用的催化体系,以替代传统的淀粉硝酸氧化法。 反应路线如图1所示。
Waters 100型高效色谱仪(美国Waters公司),SunFire C18型色谱柱(美国Waters公司);PHS-3C型pH计(上海仪电科学仪器股份有限公司)。
甲基葡萄糖苷(99.9%),工业级,北京杨村化工有限公司;Na2WO4·2H2O(99.5%),分析纯,阿拉丁试剂有限公司;H2O2(30%),分析纯,医药集团化学试剂有限公司;葡萄糖醛酸、葡萄糖醛酸内酯,分析纯,阿拉丁试剂有限公司。
采用高效液相色谱法对葡醛酸及其内酯进行定性及定量分析[8]。 定量分析的方法为外标法。 水解液用Waters 100高效液相色谱仪进行检测,检测色谱条件为:固定相用SunFire C18色谱柱(4.6 mm×250 mm);柱温为 30 ℃; V(流动相乙腈): V(0.1%H3PO4水溶液)=2:98;流速为1.0 mL/min;进样量为20 μL;检测波长为194 nm。
称取9.7 g葡甲苷于250 mL三口瓶中,加入100 mL蒸馏水,机械搅拌,水浴升温至70~75 ℃。 取0.5 g Na2WO4·2H2O加入13 g 30%H2O2中,搅拌溶解后以1滴/min的速度滴入三口瓶中,反应过程中通过滴加0.5 mol/L Ca(OH)2溶液维持反应液的pH值在8~10,4.5 h滴加完后持续反应30 min。 滴加稀硫酸将pH值调整至1~2,85 ℃水解反应3 h,静置冷却, 滴加Ca(OH)2溶液中和混合液中的硫酸。 过滤后将滤液减压浓缩,取样进行HPLC检测分析。
采取两种滴加方式:1)钨酸钠与双氧水混合搅拌后滴加;2)钨酸钠加入原料液中,单独滴加双氧水。 对比两种情况下葡醛酸及其内酯的总产率。 结果表明,第一种滴加方式的产率高于第二种。 出现这种结果的原因可能为:钨酸钠与双氧水在常温或低温条件下搅拌,生成过氧化物Na2[W(O2)3],这种物质是氧化反应的活性成分。 较高温度下形成的过氧化物容易分解,失去催化活性。 因此,应控制反应温度不超过75 ℃,并且控制滴加速度。
采用30%的H2O2与Na2WO4·2H2O混合搅拌后滴加方式。 实验考察了不同量的H2O2对催化氧化反应效率的影响,实验结果如表1所示。
| 表1 不同双氧水用量对反应的影响 Table 1 Effect of amount of H2O2 on the reaction |
实验发现,当H2O2的量逐渐增加时,葡醛酸及其内酯总产率随之增加;当H2O2与葡甲苷的摩尔比在2.25左右时产率达到最高;继续增大H2O2的量葡醛酸及其内酯的总产率反而降低。 原因可能有以下两个方面:一是过高浓度的H2O2在反应温度下分解速率加快;二是过量的氧化剂H2O2可能导致氧化体系对葡甲苷伯羟基的氧化选择性降低,即过量的氧化剂可能导致其它位羟基的氧化,或者是导致在后续酸性水解条件下将生成的醛基氧化,副产物增多。 因此,反应时需严格控制H2O2的量。
葡甲苷的缩醛结构中由醛基与甲醇形成的C1位苷键在酸性条件下容易水解,得到相应的醛,因此必须将氧化反应的pH值控制在中性或碱性范围。 实验考察了不同pH值对氧化反应的影响,结果如表2所示。
| 表2 不同pH值对氧化反应的影响 Table 2 Effect of different pH on the oxidative reaction |
实验发现,产物收率随着溶液pH值的增加而增加。 当pH值增大到9.7时,葡醛酸及其内酯总产率可达74.07%。继续增大pH值,产率大幅度下降,可能是因为在强碱性条件下,活性组份过氧化物Na2[W(O2)3]大量分解,导致催化活性大幅下降。
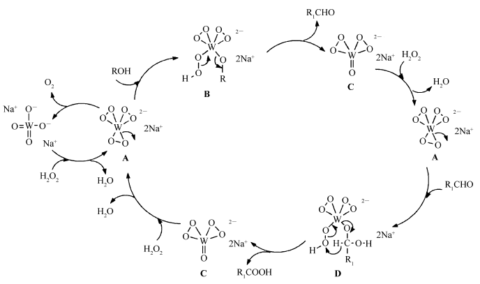
过渡金属离子/H2O2体系对于醇、烯烃、硫醚等具有较好的催化氧化活性[9,10,11]。 对于 d轨道富电子的后过渡金属络合物,如Cr(Ⅵ)、Mn(Ⅴ)、Os(Ⅷ)、Ru(Ⅵ)等倾向于催化H2O2均裂形成自由基[12],同时形成具有强氧化性的高价态中间体,不利于选择氧化反应。 因此,以H2O2为氧源的醇催化氧化所使用的催化剂多为具有 d0电子构型的前过渡金属元素[6,13,14],如W(Ⅵ)、Mo(Ⅵ)、Ti(Ⅳ)、Re(Ⅶ)等,这些过渡金属离子能快速与H2O2结合生成具有氧化活性的过渡金属过氧化物中间体,氧化性适中,能够实现对目标底物的选择氧化。 Na2WO4/H2O2体系对葡甲苷伯羟基的氧化可能经历以下几个过程: 1)催化剂前体Na2WO4迅速被H2O2氧化,形成过氧中间体A; 2)过氧中间体A与醇结合后生成B; 3)B发生消除反应得到相应的醛和C,这是整个反应的控制步骤; 4)C与一分子H2O2结合,生成A; 5)醛与A结合得到中间体D,D发生重排得到对应的羧酸和C; 6)C与一分子H2O2结合,再次生成A。 经历上述1)~ 6)的过程完成氧化还原循环反应过程[7]。 该过程如图2所示。
葡甲苷是葡萄糖的醛基与甲醇及C5位羟甲基形成的缩醛,其结构中C6位的伯羟基相对于C2~C5位的羟基而言空间位阻较小。 反应过程中,钨酸盐能快速与过氧化氢反应,生成过氧钨酸盐,这种前过渡金属过氧化物过氧化钨酸盐氧化能力适度,同时,由于钨酸盐过氧化物本身的空间位阻效应,这两个因素共同作用的结果,可以避免过氧化钨酸盐对葡甲苷结构中的仲羟基的氧化,从而实现对C6位的伯羟基的选择氧化得到相应的醛,醛继而被氧化得到对应的羧酸。
从化学计量来看,葡甲苷被选择氧化为相应的醛、醛继续被氧化成相应的羧酸各需消耗1摩尔的H2O2。 前述H2O2的加入量对催化效率的影响中,发现H2O2的加入量与原料葡甲苷的最佳投料摩尔比为2.25,这个实验结果也为Na2WO4/H2O2体系对葡甲苷伯羟基的选择氧化机理提供了例证。
采用高效液相色谱检测葡萄糖、葡醛酸及葡醛内酯标样,保留时间分别为:2.640 min为葡醛酸、2.985 min为葡萄糖、3.329 min为葡醛内酯。
葡醛酸和葡醛内酯在水溶液中能够互相转化,实验中产物收率以葡醛酸和葡醛内酯的收率计算。 在相同条件下检测氧化产物的水解液,发现产物中只有葡醛酸、葡醛内酯和葡萄糖,没有其它副产物生成。 表明Na2WO4/H2O2体系在碱性条件下对葡甲苷伯羟基的氧化具有较好的催化活性和反应选择性。
钨酸盐是一种性能优异的催化剂前体,能与过氧化氢快速反应生成具有催化氧化活性的过氧钨酸盐。 Na2WO4/H2O2体系在碱性条件下对葡甲苷伯羟基的氧化选择性较好,葡醛酸及其内酯产率可达到70%以上。 整个反应在水溶液中进行,避免使用有机溶剂,该催化体系高效、廉价,环境友好,为探索开发新的葡醛酸及其内酯合成工艺开辟了新途径。
| [1] |
|
| [2] |
|
| [3] |
|
| [4] |
|
| [5] |
|
| [6] |
|
| [7] |
|
| [8] |
|
| [9] |
|
| [10] |
|
| [11] |
|
| [12] |
|
| [13] |
|
| [14] |
|

